Siste oppdatering :
18/03/2026
Antibiotika   Ampicillin sodium - sulbactam sodium  
Injeksjon
Oppløsningsstabilitet Stabilitet i blandinger Faktorer som påvirker stabiliteten Kompatibilitet Administrasjonsmåte Referanser pdf
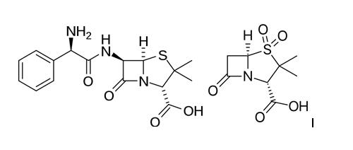
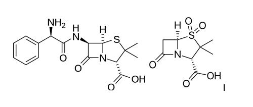
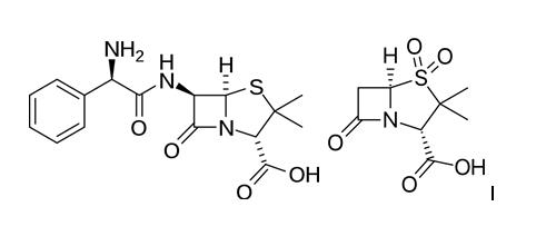
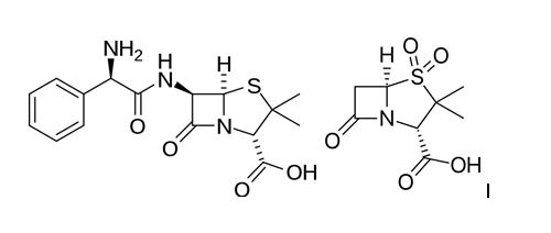
   Kjemisk struktur  

Handelsnavn   Handelsnavn     

Handelsnavn er veiledende og sammensetning av hjelpestoffer kan være forskjellig avhengig av land og produsent

Alfasid Tyrkia
Ampibac Colombia
Ampibactam Venezuela
Ampicillin sulbactam Australia
Ampicillina sodica - sulbactam Brasil, Ecuador
Ampictam Egypt
Ampiplus Romania, Saudi-Arabia
Ampisid Tyrkia
Ampixim Venezuela
Bacimex Spania
Begalin Hellas
Bethacil Italia
Cinclox India
Combicid Tyrkia
Darzitil Argentina
Duobaktam Tyrkia
Duocid Tyrkia
Galotam Spania
Libractam Chile
Loricin Italia
Prixin Argentina
Ranpisul Mexico
Retarpen Spania
Sabect Egypt
Sulamp Colombia
Sulbacter Venezuela
Sulbaksit Tyrkia
Sulbin Egypt
Sulcid Tyrkia
Sumitan Colombia, Venezuela
Synerpen Egypt
Ultracillin Egypt
Unacid Tyskland
Unacim Frankrike
Unasyn Brasil, Chile, Colombia, Ecuador, Egypt, Italia, Japan, Malaysia, Marokko, Mexico, Peru, Polen, Saudi-Arabia, Spania, Tyskland, Ungarn, USA, Østerrike
Unictam Egypt
Xilbac Peru
Kompatibilitet   Injeksjon   Kompatibilitet : Ampicillin sodium - sulbactam sodium              
Dette skjermbildet viser kompatibilitet eller inkompatibilitet med, i dette tilfellet, typen inkompatibilitet (nedbør, fargeendring, modifisering av en emulsjon, etc.). Kompatibilitetene som er vist her, er for det meste bare fysiske, og den kjemiske stabiliteten til hvert molekyl blir sjelden vurdert. Evalueringen av disse blandingene ble studert for å vurdere muligheten for Y-stedadministrasjon til pasienten. Disse dataene kan ikke brukes til å lage blandinger på forhånd i poser eller sprøyter. Denne typen informasjon er tilgjengelig på skjermen "Stabilitet i blanding".
Legemiddel Oppløsningsmiddel Referanser
Kompatibel
Injeksjon Ampicillin sodium - sulbactam sodium 20/10 mg/ml
Injeksjon Amifostine 10 mg/ml
Glukose 5 % 3
Kjemisk ustabilitet Uforenlig
Injeksjon Ampicillin sodium - sulbactam sodium
Injeksjon Amikacin sulfate
3549
Umiddelbar nedbør Uforenlig
Injeksjon Ampicillin sodium - sulbactam sodium 30 mg/ml
Injeksjon Amiodarone hydrochloride 6 mg/ml
Natriumklorid 0,9 % 1611
Umiddelbar nedbør Uforenlig
Injeksjon Ampicillin sodium - sulbactam sodium 30 mg/ml
Injeksjon Amiodarone hydrochloride 6 mg/ml
Glukose 5 % 1611
Umiddelbar nedbør Uforenlig
Injeksjon Ampicillin sodium - sulbactam sodium 20/10 mg/ml
Injeksjon Amphotericin B cholesteryl sulfate complex 0.83 mg/ml
Glukose 5 % 921
Kompatibel
Injeksjon Ampicillin sodium - sulbactam sodium 20/10 mg/ml
Injeksjon Anidulafungin 0.5 mg/ml
Glukose 5 % 1982
Kompatibel
Injeksjon Ampicillin sodium - sulbactam sodium 20/10 mg/ml
Injeksjon Aztreonam 40 mg/ml
Glukose 5 % 99
Kompatibel
Injeksjon Ampicillin sodium - sulbactam sodium 20/10 mg/ml
Injeksjon Bivalirudin 5 mg/ml
Glukose 5 % 1713
Kompatibel
Injeksjon Ampicillin sodium - sulbactam sodium 20/10 mg/ml
Injeksjon Ceftolozane / tazobactam 10/5 mg/ml
Natriumklorid 0,9 % 3828
Kompatibel
Injeksjon Ampicillin sodium - sulbactam sodium 20/10 mg/ml
Injeksjon Ceftolozane / tazobactam 10/5 mg/ml
Glukose 5 % 3828
Umiddelbar nedbør Uforenlig
Injeksjon Ampicillin sodium - sulbactam sodium
Injeksjon Ciprofloxacin lactate
Glukose 5 % 1500
Umiddelbar nedbør Uforenlig
Injeksjon Ampicillin sodium - sulbactam sodium 30 mg/ml
Injeksjon Ciprofloxacin lactate 2 mg/ml
Glukose 5 % 285
Umiddelbar nedbør Uforenlig
Injeksjon Ampicillin sodium - sulbactam sodium
Injeksjon Ciprofloxacin lactate
Natriumklorid 0,9 % 1500
Uspesifisert inkompatibilitet Uforenlig
Injeksjon Ampicillin sodium - sulbactam sodium
Injeksjon Ciprofloxacin lactate
3529
Umiddelbar turbiditet Uforenlig
Injeksjon Ampicillin sodium - sulbactam sodium 20/10 mg/ml
Injeksjon Cisatracurium besylate 5 mg/ml
Glukose 5 % 299
Kompatibel
Injeksjon Ampicillin sodium - sulbactam sodium 20/10 mg/ml
Injeksjon Dexmedetomidine 4 µg/ml
Natriumklorid 0,9 % 1712
Kompatibel
Injeksjon Ampicillin sodium - sulbactam sodium 20/10 mg/ml
Injeksjon Docetaxel 0.9 mg/ml
Glukose 5 % 1754
Uspesifisert inkompatibilitet Uforenlig
Injeksjon Ampicillin sodium - sulbactam sodium
Parenteral ernæring(lipid-free) 5067
Kompatibel
Injeksjon Ampicillin sodium - sulbactam sodium 20/10 mg/ml
Parenteral ernæring(lipid-free) 301
Uspesifisert inkompatibilitet Uforenlig
Injeksjon Ampicillin sodium - sulbactam sodium
Parenteral ernæring (med lipider) 5067
Kompatibel
Injeksjon Ampicillin sodium - sulbactam sodium 20/10 mg/ml
Injeksjon Cisatracurium besylate 0.1 & 2 mg/ml
Glukose 5 % 299
Umiddelbar turbiditet Uforenlig
Injeksjon Ampicillin sodium - sulbactam sodium 20/10 mg/ml
Injeksjon Cisatracurium besylate 5 mg/ml
Natriumklorid 0,9 % 299
Kompatibel
Injeksjon Ampicillin sodium - sulbactam sodium 2 & 15 mg/ml
Injeksjon Diltiazem hydrochloride 5 mg/ml
Natriumklorid 0,9 % 198
Kompatibel
Injeksjon Ampicillin sodium - sulbactam sodium 45 mg/ml
Injeksjon Diltiazem hydrochloride 1 mg/ml
Natriumklorid 0,9 % 198
Kompatibel
Injeksjon Ampicillin sodium - sulbactam sodium 20 mg/ml
Parenteral ernæring (med lipider) 4507
Umiddelbar turbiditet Uforenlig
Injeksjon Ampicillin sodium - sulbactam sodium 45 mg/ml
Injeksjon Diltiazem hydrochloride 5 mg/ml
Natriumklorid 0,9 % 198
Kompatibel
Injeksjon Ampicillin sodium - sulbactam sodium 15 mg/ml
Injeksjon Enalaprilate 0.05 mg/ml
Natriumklorid 0,9 % 1315
Kompatibel
Injeksjon Ampicillin sodium - sulbactam sodium 20/10 mg/ml
Parenteral ernæring (med lipider) 1415
Uspesifisert inkompatibilitet Uforenlig
Injeksjon Ampicillin sodium - sulbactam sodium
Injeksjon Erythromycin lactobionate
3674
Kompatibel
Injeksjon Ampicillin sodium - sulbactam sodium 30 mg/ml
Injeksjon Famotidine
Glukose 5 % 397
Kompatibel
Injeksjon Ampicillin sodium - sulbactam sodium 60 mg/ml
Injeksjon Fluconazole 2 mg/ml
Natriumklorid 0,9 % 496
Kompatibel
Injeksjon Ampicillin sodium - sulbactam sodium 15 mg/ml
Parenteral ernæring (med lipider) 4440
Kompatibel
Injeksjon Ampicillin sodium - sulbactam sodium 20/10 mg/ml
Injeksjon Etoposide phosphate 5 mg/ml
Glukose 5 % 1410
Kompatibel
Injeksjon Ampicillin sodium - sulbactam sodium 20/10 mg/ml
Injeksjon Fenoldopam mesylate 80 µg/ml
Natriumklorid 0,9 % 1803
Kompatibel
Injeksjon Ampicillin sodium - sulbactam sodium 20/10 mg/ml
Injeksjon Filgrastim 30 µg/ml
Glukose 5 % 244
Kompatibel
Injeksjon Ampicillin sodium - sulbactam sodium 20/10 mg/ml
Injeksjon Fludarabine phosphate 1 mg/ml
Glukose 5 % 492
Kompatibel
Injeksjon Ampicillin sodium - sulbactam sodium 20/10 mg/ml
Injeksjon Fosfomycin 30 mg/ml
Glukose 5 % 4055
Kompatibel
Injeksjon Ampicillin sodium - sulbactam sodium 20/10 mg/ml
Injeksjon Fosfomycin 30 mg/ml
Natriumklorid 0,9 % 4055
Kompatibel
Injeksjon Ampicillin sodium - sulbactam sodium 45/22.4 mg/ml
Injeksjon Gallium nitrate 1 mg/ml
Natriumklorid 0,9 % 91
Kompatibel
Injeksjon Ampicillin sodium - sulbactam sodium 20/10 mg/ml
Injeksjon Gemcitabine hydrochloride 10 mg/ml
Natriumklorid 0,9 % 1423
Uspesifisert inkompatibilitet Uforenlig
Injeksjon Ampicillin sodium - sulbactam sodium
Injeksjon Gentamicin sulfate
3520
Uspesifisert inkompatibilitet Uforenlig
Injeksjon Ampicillin sodium - sulbactam sodium
Injeksjon Gentamicin sulfate
3643
Kompatibel
Injeksjon Ampicillin sodium - sulbactam sodium 20/10 mg/ml
Injeksjon Granisetron hydrochloride 0.05 mg/ml
Natriumklorid 0,9 % 182
Kompatibel
Injeksjon Ampicillin sodium - sulbactam sodium 30 mg/ml
Injeksjon Heparin sodium 50 UI/ml
Ingen 317
Kompatibel
Injeksjon Ampicillin sodium - sulbactam sodium 20/10 mg/ml
Injeksjon Hetastarch 60 mg/ml
spesifikk løsemiddel 1721
Umiddelbar turbiditet Uforenlig
Injeksjon Ampicillin sodium - sulbactam sodium 30 mg/ml
Injeksjon Idarubicin hydrochloride 1 mg/ml
Natriumklorid 0,9 % 491
Kompatibel
Injeksjon Ampicillin sodium - sulbactam sodium 30 mg/ml
Injeksjon Insulin 0.2 UI/ml
Natriumklorid 0,9 % 129
Umiddelbar turbiditet Uforenlig
Injeksjon Ampicillin sodium - sulbactam sodium 20/10 mg/ml
Injeksjon Isavuconazonium sulfate 1.5 mg/ml
Natriumklorid 0,9 % 3829
Kompatibel
Injeksjon Ampicillin sodium - sulbactam sodium
Natriumklorid 0,9 % 5067
Umiddelbar turbiditet Uforenlig
Injeksjon Ampicillin sodium - sulbactam sodium 20/10 mg/ml
Injeksjon Isavuconazonium sulfate 1.5 mg/ml
Glukose 5 % 3829
Kompatibel
Injeksjon Ampicillin sodium - sulbactam sodium 20/10 mg/ml
Injeksjon Ketoprofene 3.2 mg/ml
Natriumklorid 0,9 % 1847
Umiddelbar nedbør Uforenlig
Injeksjon Ampicillin sodium - sulbactam sodium 20/10 mg/ml
Injeksjon Lansoprazole 0.55 mg/ml
Natriumklorid 0,9 % 1625
Kompatibel
Injeksjon Ampicillin sodium - sulbactam sodium 20/10 mg/ml
Injeksjon Linezolid 2 mg/ml
Ingen 1925
Kompatibel
Injeksjon Ampicillin sodium - sulbactam sodium 30 mg/ml
Injeksjon Morphine sulfate 1 mg/ml
Natriumklorid 0,9 % 406
Umiddelbar turbiditet Uforenlig
Injeksjon Ampicillin sodium - sulbactam sodium 15 mg/ml
Injeksjon Nicardipine hydrochloride 0.1 mg/ml
Natriumklorid 0,9 % 1490
Umiddelbar turbiditet Uforenlig
Injeksjon Ampicillin sodium - sulbactam sodium 15 mg/ml
Injeksjon Nicardipine hydrochloride 0.1 mg/ml
Glukose 5 % 1490
Umiddelbar nedbør Uforenlig
Injeksjon Ampicillin sodium - sulbactam sodium 20/10 mg/ml
Injeksjon Ondansetron hydrochloride 1 mg/ml
Natriumklorid 0,9 % 334
Kompatibel
Injeksjon Ampicillin sodium - sulbactam sodium 20/10 mg/ml
Injeksjon Paclitaxel 1.2 mg/ml
Glukose 5 % 248
Kompatibel
Injeksjon Ampicillin sodium - sulbactam sodium 20/10 mg/ml
Injeksjon Palonosetron hydrochloride 50 µg/ml
Natriumklorid 0,9 % 2214
Kompatibel
Injeksjon Ampicillin sodium - sulbactam sodium 20/10 mg/ml
Injeksjon Pemetrexed disodium 20 mg/ml
Natriumklorid 0,9 % 1953
Kompatibel
Injeksjon Ampicillin sodium - sulbactam sodium 30 mg/ml
Injeksjon Pethidine hydrochloride 10 mg/ml
Natriumklorid 0,9 % 406
Kompatibel
Injeksjon Ampicillin sodium - sulbactam sodium 20/10 mg/ml
Injeksjon Plazomicin sulfate 24 mg/ml
Natriumklorid 0,9 % 4145
Kompatibel
Injeksjon Ampicillin sodium - sulbactam sodium 20/10 mg/ml
Injeksjon Remifentanil hydrochloride 25 & 250 µg/ml
Natriumklorid 0,9 % 59
Nedbør etter 4 timer Uforenlig
Injeksjon Ampicillin sodium - sulbactam sodium 20/10 mg/ml
Injeksjon Sargramostim 10 µg/ml
Natriumklorid 0,9 % 335
Kompatibel
Injeksjon Ampicillin sodium - sulbactam sodium 200 mg/ml
Injeksjon Sugammadex 100 mg/ml
Ingen 3372
Kompatibel
Injeksjon Ampicillin sodium - sulbactam sodium 50 mg/ml
Injeksjon Tacrolimus 1000 µg/ml
Natriumklorid 0,9 % 479
Kompatibel
Injeksjon Ampicillin sodium - sulbactam sodium 20/10 mg/ml
Injeksjon Tedizolid phosphate 0.8 mg/ml
Natriumklorid 0,9 % 3827
Kompatibel
Injeksjon Ampicillin sodium - sulbactam sodium 20/10 mg/ml
Injeksjon Telavancin hydrochloride 7.5 mg/ml
Glukose 5 % 3254
Kompatibel
Injeksjon Ampicillin sodium - sulbactam sodium 20/10 mg/ml
Injeksjon Telavancin hydrochloride 7.5 mg/ml
Natriumklorid 0,9 % 3254
Kompatibel
Injeksjon Ampicillin sodium - sulbactam sodium 20/10 mg/ml
Injeksjon Telavancin hydrochloride 7.5 mg/ml
Ringers laktatoppløsning 3254
Kompatibel
Injeksjon Ampicillin sodium - sulbactam sodium 20/10 mg/ml
Injeksjon Teniposide 0.1 mg/ml
Glukose 5 % 905
Kompatibel
Injeksjon Ampicillin sodium - sulbactam sodium 30 mg/ml
Injeksjon Theophylline 4 mg/ml
Ingen 317
Kompatibel
Injeksjon Ampicillin sodium - sulbactam sodium 20/10 mg/ml
Injeksjon Thiotepa 1 mg/ml
Glukose 5 % 249
Kompatibel
Injeksjon Ampicillin sodium - sulbactam sodium 10/20 mg/ml
Injeksjon Tramadol hydrochloride 0,4 mg/ml
Natriumklorid 0,9 % 2002
Kompatibel
Injeksjon Ampicillin sodium - sulbactam sodium 1/0.5 >> 250/125 mg/ml
Injeksjon Vancomycin hydrochloride 2 mg/ml
Glukose 5 % 1674
Kompatibel
Injeksjon Ampicillin sodium - sulbactam sodium 1/0.5 >> 50/25 mg/ml
Injeksjon Vancomycin hydrochloride 20 mg/ml
Glukose 5 % 1674
Umiddelbar nedbør Uforenlig
Injeksjon Ampicillin sodium - sulbactam sodium 250-125 mg/ml
Injeksjon Vancomycin hydrochloride 20 mg/ml
Glukose 5 % 1674

  Mentions Légales