Zadnji put ažurirano :
18/03/2026
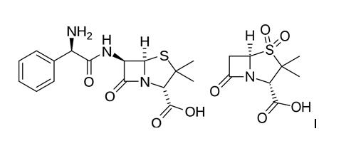
antibiotik   Ampicillin sodium - sulbactam sodium  
injekcija
Stabilizacija rješenja Stabilnost mješavine Stabilizacijski faktor Kompatibilnosti način davanja lijeka Bibliografija pdf
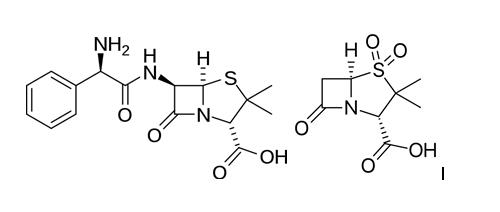
   Kemijska struktura  

Nekomercijalni   Nekomercijalni     

Zaštićeni nazivi su indikativni i sastav ekscipijensa može biti različit ovisno o državi i laboratorijima

Alfasid Turska
Ampibac Kolumbija
Ampibactam Venecuela
Ampicillin sulbactam Australija
Ampicillina sodica - sulbactam Brazil, Ekvador
Ampictam Egipat
Ampiplus Rumunjska, Saudijska Arabija
Ampisid Turska
Ampixim Venecuela
Bacimex Španjolska
Begalin Grčka
Bethacil Italija
Cinclox Indija
Combicid Turska
Darzitil Argentina
Duobaktam Turska
Duocid Turska
Galotam Španjolska
Libractam Čile
Loricin Italija
Prixin Argentina
Ranpisul Meksiko
Retarpen Španjolska
Sabect Egipat
Sulamp Kolumbija
Sulbacter Venecuela
Sulbaksit Turska
Sulbin Egipat
Sulcid Turska
Sumitan Kolumbija, Venecuela
Synerpen Egipat
Ultracillin Egipat
Unacid Njemačka
Unacim Francuska
Unasyn Austrija, Brazil, Čile, Egipat, Ekvador, Italija, Japan, Kolumbija, Madžarska, Malezija, Maroko, Meksiko, Njemačka, Peru, Poljska, S A D, Saudijska Arabija, Španjolska
Unictam Egipat
Xilbac Peru
Kompatibilnosti   injekcija   Kompatibilnosti : Ampicillin sodium - sulbactam sodium              
Ovdje su prikazane kompatibilnosti ili nekompatibilnosti s tipom nekompatibilnosti (taloženje, promjena boje, modifikacija emulzije itd.) u ovom slučaju. Kompatibilnosti prikazane ovdje najčešće su fizikalne dok se kemijska stabilnost molekule rijetko procjenjuje. Procjena ovih mikstura je proučavana kako bi se razmotrila mogućnost primjene lijeka putem Y-mjesta. Ovi se podaci ne smiju koristiti za pripremu mikstura unaprijed u vrećicama ili štrcaljkama. Ova vrsta informacije se može pronaći u odjeljku « stabilnost u miksturama ».
molekula sredstvo za rastapanje Bibliografija
Kompatibilan
injekcija Ampicillin sodium - sulbactam sodium 20/10 mg/ml
injekcija Amifostine 10 mg/ml
glukoza 5% 3
Kemijska nestabilnost inkompatibilan
injekcija Ampicillin sodium - sulbactam sodium
injekcija Amikacin sulfate
3549
Neposredne oborine inkompatibilan
injekcija Ampicillin sodium - sulbactam sodium 30 mg/ml
injekcija Amiodarone hydrochloride 6 mg/ml
natrijumkorid 0,9% 1611
Neposredne oborine inkompatibilan
injekcija Ampicillin sodium - sulbactam sodium 30 mg/ml
injekcija Amiodarone hydrochloride 6 mg/ml
glukoza 5% 1611
Neposredne oborine inkompatibilan
injekcija Ampicillin sodium - sulbactam sodium 20/10 mg/ml
injekcija Amphotericin B cholesteryl sulfate complex 0.83 mg/ml
glukoza 5% 921
Kompatibilan
injekcija Ampicillin sodium - sulbactam sodium 20/10 mg/ml
injekcija Anidulafungin 0.5 mg/ml
glukoza 5% 1982
Kompatibilan
injekcija Ampicillin sodium - sulbactam sodium 20/10 mg/ml
injekcija Aztreonam 40 mg/ml
glukoza 5% 99
Kompatibilan
injekcija Ampicillin sodium - sulbactam sodium 20/10 mg/ml
injekcija Bivalirudin 5 mg/ml
glukoza 5% 1713
Kompatibilan
injekcija Ampicillin sodium - sulbactam sodium 20/10 mg/ml
injekcija Ceftolozane / tazobactam 10/5 mg/ml
natrijumkorid 0,9% 3828
Kompatibilan
injekcija Ampicillin sodium - sulbactam sodium 20/10 mg/ml
injekcija Ceftolozane / tazobactam 10/5 mg/ml
glukoza 5% 3828
Neposredne oborine inkompatibilan
injekcija Ampicillin sodium - sulbactam sodium
injekcija Ciprofloxacin lactate
glukoza 5% 1500
Neposredne oborine inkompatibilan
injekcija Ampicillin sodium - sulbactam sodium 30 mg/ml
injekcija Ciprofloxacin lactate 2 mg/ml
glukoza 5% 285
Neposredne oborine inkompatibilan
injekcija Ampicillin sodium - sulbactam sodium
injekcija Ciprofloxacin lactate
natrijumkorid 0,9% 1500
Neodređena nespojivost inkompatibilan
injekcija Ampicillin sodium - sulbactam sodium
injekcija Ciprofloxacin lactate
3529
Neposredna zamućenost inkompatibilan
injekcija Ampicillin sodium - sulbactam sodium 20/10 mg/ml
injekcija Cisatracurium besylate 5 mg/ml
glukoza 5% 299
Kompatibilan
injekcija Ampicillin sodium - sulbactam sodium 20/10 mg/ml
injekcija Dexmedetomidine 4 µg/ml
natrijumkorid 0,9% 1712
Kompatibilan
injekcija Ampicillin sodium - sulbactam sodium 20/10 mg/ml
injekcija Docetaxel 0.9 mg/ml
glukoza 5% 1754
Neodređena nespojivost inkompatibilan
injekcija Ampicillin sodium - sulbactam sodium
Parenteralna prehrana (bezlipidna) 5067
Kompatibilan
injekcija Ampicillin sodium - sulbactam sodium 20/10 mg/ml
Parenteralna prehrana (bezlipidna) 301
Neodređena nespojivost inkompatibilan
injekcija Ampicillin sodium - sulbactam sodium
Parenteralna prehrana (lipidima) 5067
Kompatibilan
injekcija Ampicillin sodium - sulbactam sodium 20/10 mg/ml
injekcija Cisatracurium besylate 0.1 & 2 mg/ml
glukoza 5% 299
Neposredna zamućenost inkompatibilan
injekcija Ampicillin sodium - sulbactam sodium 20/10 mg/ml
injekcija Cisatracurium besylate 5 mg/ml
natrijumkorid 0,9% 299
Kompatibilan
injekcija Ampicillin sodium - sulbactam sodium 2 & 15 mg/ml
injekcija Diltiazem hydrochloride 5 mg/ml
natrijumkorid 0,9% 198
Kompatibilan
injekcija Ampicillin sodium - sulbactam sodium 45 mg/ml
injekcija Diltiazem hydrochloride 1 mg/ml
natrijumkorid 0,9% 198
Kompatibilan
injekcija Ampicillin sodium - sulbactam sodium 20 mg/ml
Parenteralna prehrana (lipidima) 4507
Neposredna zamućenost inkompatibilan
injekcija Ampicillin sodium - sulbactam sodium 45 mg/ml
injekcija Diltiazem hydrochloride 5 mg/ml
natrijumkorid 0,9% 198
Kompatibilan
injekcija Ampicillin sodium - sulbactam sodium 15 mg/ml
injekcija Enalaprilate 0.05 mg/ml
natrijumkorid 0,9% 1315
Kompatibilan
injekcija Ampicillin sodium - sulbactam sodium 20/10 mg/ml
Parenteralna prehrana (lipidima) 1415
Neodređena nespojivost inkompatibilan
injekcija Ampicillin sodium - sulbactam sodium
injekcija Erythromycin lactobionate
3674
Kompatibilan
injekcija Ampicillin sodium - sulbactam sodium 30 mg/ml
injekcija Famotidine
glukoza 5% 397
Kompatibilan
injekcija Ampicillin sodium - sulbactam sodium 60 mg/ml
injekcija Fluconazole 2 mg/ml
natrijumkorid 0,9% 496
Kompatibilan
injekcija Ampicillin sodium - sulbactam sodium 15 mg/ml
Parenteralna prehrana (lipidima) 4440
Kompatibilan
injekcija Ampicillin sodium - sulbactam sodium 20/10 mg/ml
injekcija Etoposide phosphate 5 mg/ml
glukoza 5% 1410
Kompatibilan
injekcija Ampicillin sodium - sulbactam sodium 20/10 mg/ml
injekcija Fenoldopam mesylate 80 µg/ml
natrijumkorid 0,9% 1803
Kompatibilan
injekcija Ampicillin sodium - sulbactam sodium 20/10 mg/ml
injekcija Filgrastim 30 µg/ml
glukoza 5% 244
Kompatibilan
injekcija Ampicillin sodium - sulbactam sodium 20/10 mg/ml
injekcija Fludarabine phosphate 1 mg/ml
glukoza 5% 492
Kompatibilan
injekcija Ampicillin sodium - sulbactam sodium 20/10 mg/ml
injekcija Fosfomycin 30 mg/ml
glukoza 5% 4055
Kompatibilan
injekcija Ampicillin sodium - sulbactam sodium 20/10 mg/ml
injekcija Fosfomycin 30 mg/ml
natrijumkorid 0,9% 4055
Kompatibilan
injekcija Ampicillin sodium - sulbactam sodium 45/22.4 mg/ml
injekcija Gallium nitrate 1 mg/ml
natrijumkorid 0,9% 91
Kompatibilan
injekcija Ampicillin sodium - sulbactam sodium 20/10 mg/ml
injekcija Gemcitabine hydrochloride 10 mg/ml
natrijumkorid 0,9% 1423
Neodređena nespojivost inkompatibilan
injekcija Ampicillin sodium - sulbactam sodium
injekcija Gentamicin sulfate
3520
Neodređena nespojivost inkompatibilan
injekcija Ampicillin sodium - sulbactam sodium
injekcija Gentamicin sulfate
3643
Kompatibilan
injekcija Ampicillin sodium - sulbactam sodium 20/10 mg/ml
injekcija Granisetron hydrochloride 0.05 mg/ml
natrijumkorid 0,9% 182
Kompatibilan
injekcija Ampicillin sodium - sulbactam sodium 30 mg/ml
injekcija Heparin sodium 50 UI/ml
nijedan 317
Kompatibilan
injekcija Ampicillin sodium - sulbactam sodium 20/10 mg/ml
injekcija Hetastarch 60 mg/ml
Specifična otapala 1721
Neposredna zamućenost inkompatibilan
injekcija Ampicillin sodium - sulbactam sodium 30 mg/ml
injekcija Idarubicin hydrochloride 1 mg/ml
natrijumkorid 0,9% 491
Kompatibilan
injekcija Ampicillin sodium - sulbactam sodium 30 mg/ml
injekcija Insulin 0.2 UI/ml
natrijumkorid 0,9% 129
Neposredna zamućenost inkompatibilan
injekcija Ampicillin sodium - sulbactam sodium 20/10 mg/ml
injekcija Isavuconazonium sulfate 1.5 mg/ml
natrijumkorid 0,9% 3829
Kompatibilan
injekcija Ampicillin sodium - sulbactam sodium
natrijumkorid 0,9% 5067
Neposredna zamućenost inkompatibilan
injekcija Ampicillin sodium - sulbactam sodium 20/10 mg/ml
injekcija Isavuconazonium sulfate 1.5 mg/ml
glukoza 5% 3829
Kompatibilan
injekcija Ampicillin sodium - sulbactam sodium 20/10 mg/ml
injekcija Ketoprofene 3.2 mg/ml
natrijumkorid 0,9% 1847
Neposredne oborine inkompatibilan
injekcija Ampicillin sodium - sulbactam sodium 20/10 mg/ml
injekcija Lansoprazole 0.55 mg/ml
natrijumkorid 0,9% 1625
Kompatibilan
injekcija Ampicillin sodium - sulbactam sodium 20/10 mg/ml
injekcija Linezolid 2 mg/ml
nijedan 1925
Kompatibilan
injekcija Ampicillin sodium - sulbactam sodium 30 mg/ml
injekcija Morphine sulfate 1 mg/ml
natrijumkorid 0,9% 406
Neposredna zamućenost inkompatibilan
injekcija Ampicillin sodium - sulbactam sodium 15 mg/ml
injekcija Nicardipine hydrochloride 0.1 mg/ml
natrijumkorid 0,9% 1490
Neposredna zamućenost inkompatibilan
injekcija Ampicillin sodium - sulbactam sodium 15 mg/ml
injekcija Nicardipine hydrochloride 0.1 mg/ml
glukoza 5% 1490
Neposredne oborine inkompatibilan
injekcija Ampicillin sodium - sulbactam sodium 20/10 mg/ml
injekcija Ondansetron hydrochloride 1 mg/ml
natrijumkorid 0,9% 334
Kompatibilan
injekcija Ampicillin sodium - sulbactam sodium 20/10 mg/ml
injekcija Paclitaxel 1.2 mg/ml
glukoza 5% 248
Kompatibilan
injekcija Ampicillin sodium - sulbactam sodium 20/10 mg/ml
injekcija Palonosetron hydrochloride 50 µg/ml
natrijumkorid 0,9% 2214
Kompatibilan
injekcija Ampicillin sodium - sulbactam sodium 20/10 mg/ml
injekcija Pemetrexed disodium 20 mg/ml
natrijumkorid 0,9% 1953
Kompatibilan
injekcija Ampicillin sodium - sulbactam sodium 30 mg/ml
injekcija Pethidine hydrochloride 10 mg/ml
natrijumkorid 0,9% 406
Kompatibilan
injekcija Ampicillin sodium - sulbactam sodium 20/10 mg/ml
injekcija Plazomicin sulfate 24 mg/ml
natrijumkorid 0,9% 4145
Kompatibilan
injekcija Ampicillin sodium - sulbactam sodium 20/10 mg/ml
injekcija Remifentanil hydrochloride 25 & 250 µg/ml
natrijumkorid 0,9% 59
Padavine nakon 4 sata inkompatibilan
injekcija Ampicillin sodium - sulbactam sodium 20/10 mg/ml
injekcija Sargramostim 10 µg/ml
natrijumkorid 0,9% 335
Kompatibilan
injekcija Ampicillin sodium - sulbactam sodium 200 mg/ml
injekcija Sugammadex 100 mg/ml
nijedan 3372
Kompatibilan
injekcija Ampicillin sodium - sulbactam sodium 50 mg/ml
injekcija Tacrolimus 1000 µg/ml
natrijumkorid 0,9% 479
Kompatibilan
injekcija Ampicillin sodium - sulbactam sodium 20/10 mg/ml
injekcija Tedizolid phosphate 0.8 mg/ml
natrijumkorid 0,9% 3827
Kompatibilan
injekcija Ampicillin sodium - sulbactam sodium 20/10 mg/ml
injekcija Telavancin hydrochloride 7.5 mg/ml
glukoza 5% 3254
Kompatibilan
injekcija Ampicillin sodium - sulbactam sodium 20/10 mg/ml
injekcija Telavancin hydrochloride 7.5 mg/ml
natrijumkorid 0,9% 3254
Kompatibilan
injekcija Ampicillin sodium - sulbactam sodium 20/10 mg/ml
injekcija Telavancin hydrochloride 7.5 mg/ml
Ringer laktat 3254
Kompatibilan
injekcija Ampicillin sodium - sulbactam sodium 20/10 mg/ml
injekcija Teniposide 0.1 mg/ml
glukoza 5% 905
Kompatibilan
injekcija Ampicillin sodium - sulbactam sodium 30 mg/ml
injekcija Theophylline 4 mg/ml
nijedan 317
Kompatibilan
injekcija Ampicillin sodium - sulbactam sodium 20/10 mg/ml
injekcija Thiotepa 1 mg/ml
glukoza 5% 249
Kompatibilan
injekcija Ampicillin sodium - sulbactam sodium 10/20 mg/ml
injekcija Tramadol hydrochloride 0,4 mg/ml
natrijumkorid 0,9% 2002
Kompatibilan
injekcija Ampicillin sodium - sulbactam sodium 1/0.5 >> 250/125 mg/ml
injekcija Vancomycin hydrochloride 2 mg/ml
glukoza 5% 1674
Kompatibilan
injekcija Ampicillin sodium - sulbactam sodium 1/0.5 >> 50/25 mg/ml
injekcija Vancomycin hydrochloride 20 mg/ml
glukoza 5% 1674
Neposredne oborine inkompatibilan
injekcija Ampicillin sodium - sulbactam sodium 250-125 mg/ml
injekcija Vancomycin hydrochloride 20 mg/ml
glukoza 5% 1674

  Mentions Légales