Seneste opdatering :
18/03/2026
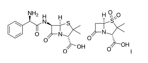
Antibiotisk   Ampicillin sodium - sulbactam sodium  
Injektion
Stabilitet i (vandige) opløsninger Stabilitet i blandinger Faktorer der påvirker stabiliteten Kompatibilitet Administrationsvej Bibliografi pdf
   Kemisk struktur  

Handelsnavn   Handelsnavn     

Handel navne er vejledende og hjælpestoffer sammensætning kan være forskellig afhængigt af landet og laboratorier

Alfasid Tyrkiet
Ampibac Colombia
Ampibactam Venezuela
Ampicillin sulbactam Australien
Ampicillina sodica - sulbactam Brasilien, Ecuador
Ampictam Ægypten
Ampiplus Rumænien, Saudi-Arabien
Ampisid Tyrkiet
Ampixim Venezuela
Bacimex Spanien
Begalin Grækenland
Bethacil Italien
Cinclox Indien
Combicid Tyrkiet
Darzitil Argentina
Duobaktam Tyrkiet
Duocid Tyrkiet
Galotam Spanien
Libractam Chile
Loricin Italien
Prixin Argentina
Ranpisul Mexico
Retarpen Spanien
Sabect Ægypten
Sulamp Colombia
Sulbacter Venezuela
Sulbaksit Tyrkiet
Sulbin Ægypten
Sulcid Tyrkiet
Sumitan Colombia, Venezuela
Synerpen Ægypten
Ultracillin Ægypten
Unacid Tyskland
Unacim Frankrig
Unasyn Brasilien, Chile, Colombia, Ecuador, Italien, Japan, Malaysia, Marokko, Marokko, Mexico, Polen, Saudi-Arabien, Spanien, Tyskland, Ungarn, USA, Ægypten, Østrig
Unictam Ægypten
Xilbac Marokko
Kompatibilitet   Injektion   Kompatibilitet : Ampicillin sodium - sulbactam sodium              
Denne skærm viser kompatibilitet eller uforenelighed med, i dette tilfælde typen af inkompatibilitet (udfældning, farveændring, ændring af en emulsion osv.). Kompatibiliteterne vist her er for det meste kun fysiske, idet den kemiske stabilitet af hvert molekyle sjældent vurderes. Evalueringen af disse blandinger blev undersøgt for at overveje muligheden for Y-sted-administration til patienten. Disse data kan ikke bruges til at fremstille blandinger på forhånd i poser eller sprøjter. Denne type information findes på skærmen "Stabilitet i blanding".
Molekyle Opløsningsmiddel Bibliografi
Kompatibel
Injektion Ampicillin sodium - sulbactam sodium 20/10 mg/ml
Injektion Amifostine 10 mg/ml
5 % Glukose 3
Kemisk ustabilitet Uforenelig
Injektion Ampicillin sodium - sulbactam sodium
Injektion Amikacin sulfate
3549
Umiddelbar nedbør Uforenelig
Injektion Ampicillin sodium - sulbactam sodium 30 mg/ml
Injektion Amiodarone hydrochloride 6 mg/ml
0,9 % Natriumklorid 1611
Umiddelbar nedbør Uforenelig
Injektion Ampicillin sodium - sulbactam sodium 30 mg/ml
Injektion Amiodarone hydrochloride 6 mg/ml
5 % Glukose 1611
Umiddelbar nedbør Uforenelig
Injektion Ampicillin sodium - sulbactam sodium 20/10 mg/ml
Injektion Amphotericin B cholesteryl sulfate complex 0.83 mg/ml
5 % Glukose 921
Kompatibel
Injektion Ampicillin sodium - sulbactam sodium 20/10 mg/ml
Injektion Anidulafungin 0.5 mg/ml
5 % Glukose 1982
Kompatibel
Injektion Ampicillin sodium - sulbactam sodium 20/10 mg/ml
Injektion Aztreonam 40 mg/ml
5 % Glukose 99
Kompatibel
Injektion Ampicillin sodium - sulbactam sodium 20/10 mg/ml
Injektion Bivalirudin 5 mg/ml
5 % Glukose 1713
Kompatibel
Injektion Ampicillin sodium - sulbactam sodium 20/10 mg/ml
Injektion Ceftolozane / tazobactam 10/5 mg/ml
0,9 % Natriumklorid 3828
Kompatibel
Injektion Ampicillin sodium - sulbactam sodium 20/10 mg/ml
Injektion Ceftolozane / tazobactam 10/5 mg/ml
5 % Glukose 3828
Umiddelbar nedbør Uforenelig
Injektion Ampicillin sodium - sulbactam sodium
Injektion Ciprofloxacin lactate
5 % Glukose 1500
Umiddelbar nedbør Uforenelig
Injektion Ampicillin sodium - sulbactam sodium 30 mg/ml
Injektion Ciprofloxacin lactate 2 mg/ml
5 % Glukose 285
Umiddelbar nedbør Uforenelig
Injektion Ampicillin sodium - sulbactam sodium
Injektion Ciprofloxacin lactate
0,9 % Natriumklorid 1500
Uspecificeret inkompatibilitet Uforenelig
Injektion Ampicillin sodium - sulbactam sodium
Injektion Ciprofloxacin lactate
3529
Umiddelbar turbiditet Uforenelig
Injektion Ampicillin sodium - sulbactam sodium 20/10 mg/ml
Injektion Cisatracurium besylate 5 mg/ml
5 % Glukose 299
Kompatibel
Injektion Ampicillin sodium - sulbactam sodium 20/10 mg/ml
Injektion Dexmedetomidine 4 µg/ml
0,9 % Natriumklorid 1712
Kompatibel
Injektion Ampicillin sodium - sulbactam sodium 20/10 mg/ml
Injektion Docetaxel 0.9 mg/ml
5 % Glukose 1754
Uspecificeret inkompatibilitet Uforenelig
Injektion Ampicillin sodium - sulbactam sodium
Parenteral ernæring (lipid-fri) 5067
Kompatibel
Injektion Ampicillin sodium - sulbactam sodium 20/10 mg/ml
Parenteral ernæring (lipid-fri) 301
Uspecificeret inkompatibilitet Uforenelig
Injektion Ampicillin sodium - sulbactam sodium
Parenteral ernæring (lipider) 5067
Kompatibel
Injektion Ampicillin sodium - sulbactam sodium 20/10 mg/ml
Injektion Cisatracurium besylate 0.1 & 2 mg/ml
5 % Glukose 299
Umiddelbar turbiditet Uforenelig
Injektion Ampicillin sodium - sulbactam sodium 20/10 mg/ml
Injektion Cisatracurium besylate 5 mg/ml
0,9 % Natriumklorid 299
Kompatibel
Injektion Ampicillin sodium - sulbactam sodium 2 & 15 mg/ml
Injektion Diltiazem hydrochloride 5 mg/ml
0,9 % Natriumklorid 198
Kompatibel
Injektion Ampicillin sodium - sulbactam sodium 45 mg/ml
Injektion Diltiazem hydrochloride 1 mg/ml
0,9 % Natriumklorid 198
Kompatibel
Injektion Ampicillin sodium - sulbactam sodium 20 mg/ml
Parenteral ernæring (lipider) 4507
Umiddelbar turbiditet Uforenelig
Injektion Ampicillin sodium - sulbactam sodium 45 mg/ml
Injektion Diltiazem hydrochloride 5 mg/ml
0,9 % Natriumklorid 198
Kompatibel
Injektion Ampicillin sodium - sulbactam sodium 15 mg/ml
Injektion Enalaprilate 0.05 mg/ml
0,9 % Natriumklorid 1315
Kompatibel
Injektion Ampicillin sodium - sulbactam sodium 20/10 mg/ml
Parenteral ernæring (lipider) 1415
Uspecificeret inkompatibilitet Uforenelig
Injektion Ampicillin sodium - sulbactam sodium
Injektion Erythromycin lactobionate
3674
Kompatibel
Injektion Ampicillin sodium - sulbactam sodium 30 mg/ml
Injektion Famotidine
5 % Glukose 397
Kompatibel
Injektion Ampicillin sodium - sulbactam sodium 60 mg/ml
Injektion Fluconazole 2 mg/ml
0,9 % Natriumklorid 496
Kompatibel
Injektion Ampicillin sodium - sulbactam sodium 15 mg/ml
Parenteral ernæring (lipider) 4440
Kompatibel
Injektion Ampicillin sodium - sulbactam sodium 20/10 mg/ml
Injektion Etoposide phosphate 5 mg/ml
5 % Glukose 1410
Kompatibel
Injektion Ampicillin sodium - sulbactam sodium 20/10 mg/ml
Injektion Fenoldopam mesylate 80 µg/ml
0,9 % Natriumklorid 1803
Kompatibel
Injektion Ampicillin sodium - sulbactam sodium 20/10 mg/ml
Injektion Filgrastim 30 µg/ml
5 % Glukose 244
Kompatibel
Injektion Ampicillin sodium - sulbactam sodium 20/10 mg/ml
Injektion Fludarabine phosphate 1 mg/ml
5 % Glukose 492
Kompatibel
Injektion Ampicillin sodium - sulbactam sodium 20/10 mg/ml
Injektion Fosfomycin 30 mg/ml
5 % Glukose 4055
Kompatibel
Injektion Ampicillin sodium - sulbactam sodium 20/10 mg/ml
Injektion Fosfomycin 30 mg/ml
0,9 % Natriumklorid 4055
Kompatibel
Injektion Ampicillin sodium - sulbactam sodium 45/22.4 mg/ml
Injektion Gallium nitrate 1 mg/ml
0,9 % Natriumklorid 91
Kompatibel
Injektion Ampicillin sodium - sulbactam sodium 20/10 mg/ml
Injektion Gemcitabine hydrochloride 10 mg/ml
0,9 % Natriumklorid 1423
Uspecificeret inkompatibilitet Uforenelig
Injektion Ampicillin sodium - sulbactam sodium
Injektion Gentamicin sulfate
3520
Uspecificeret inkompatibilitet Uforenelig
Injektion Ampicillin sodium - sulbactam sodium
Injektion Gentamicin sulfate
3643
Kompatibel
Injektion Ampicillin sodium - sulbactam sodium 20/10 mg/ml
Injektion Granisetron hydrochloride 0.05 mg/ml
0,9 % Natriumklorid 182
Kompatibel
Injektion Ampicillin sodium - sulbactam sodium 30 mg/ml
Injektion Heparin sodium 50 UI/ml
Ingen 317
Kompatibel
Injektion Ampicillin sodium - sulbactam sodium 20/10 mg/ml
Injektion Hetastarch 60 mg/ml
specifikt opløsningsmiddel 1721
Umiddelbar turbiditet Uforenelig
Injektion Ampicillin sodium - sulbactam sodium 30 mg/ml
Injektion Idarubicin hydrochloride 1 mg/ml
0,9 % Natriumklorid 491
Kompatibel
Injektion Ampicillin sodium - sulbactam sodium 30 mg/ml
Injektion Insulin 0.2 UI/ml
0,9 % Natriumklorid 129
Umiddelbar turbiditet Uforenelig
Injektion Ampicillin sodium - sulbactam sodium 20/10 mg/ml
Injektion Isavuconazonium sulfate 1.5 mg/ml
0,9 % Natriumklorid 3829
Kompatibel
Injektion Ampicillin sodium - sulbactam sodium
0,9 % Natriumklorid 5067
Umiddelbar turbiditet Uforenelig
Injektion Ampicillin sodium - sulbactam sodium 20/10 mg/ml
Injektion Isavuconazonium sulfate 1.5 mg/ml
5 % Glukose 3829
Kompatibel
Injektion Ampicillin sodium - sulbactam sodium 20/10 mg/ml
Injektion Ketoprofene 3.2 mg/ml
0,9 % Natriumklorid 1847
Umiddelbar nedbør Uforenelig
Injektion Ampicillin sodium - sulbactam sodium 20/10 mg/ml
Injektion Lansoprazole 0.55 mg/ml
0,9 % Natriumklorid 1625
Kompatibel
Injektion Ampicillin sodium - sulbactam sodium 20/10 mg/ml
Injektion Linezolid 2 mg/ml
Ingen 1925
Kompatibel
Injektion Ampicillin sodium - sulbactam sodium 30 mg/ml
Injektion Morphine sulfate 1 mg/ml
0,9 % Natriumklorid 406
Umiddelbar turbiditet Uforenelig
Injektion Ampicillin sodium - sulbactam sodium 15 mg/ml
Injektion Nicardipine hydrochloride 0.1 mg/ml
0,9 % Natriumklorid 1490
Umiddelbar turbiditet Uforenelig
Injektion Ampicillin sodium - sulbactam sodium 15 mg/ml
Injektion Nicardipine hydrochloride 0.1 mg/ml
5 % Glukose 1490
Umiddelbar nedbør Uforenelig
Injektion Ampicillin sodium - sulbactam sodium 20/10 mg/ml
Injektion Ondansetron hydrochloride 1 mg/ml
0,9 % Natriumklorid 334
Kompatibel
Injektion Ampicillin sodium - sulbactam sodium 20/10 mg/ml
Injektion Paclitaxel 1.2 mg/ml
5 % Glukose 248
Kompatibel
Injektion Ampicillin sodium - sulbactam sodium 20/10 mg/ml
Injektion Palonosetron hydrochloride 50 µg/ml
0,9 % Natriumklorid 2214
Kompatibel
Injektion Ampicillin sodium - sulbactam sodium 20/10 mg/ml
Injektion Pemetrexed disodium 20 mg/ml
0,9 % Natriumklorid 1953
Kompatibel
Injektion Ampicillin sodium - sulbactam sodium 30 mg/ml
Injektion Pethidine hydrochloride 10 mg/ml
0,9 % Natriumklorid 406
Kompatibel
Injektion Ampicillin sodium - sulbactam sodium 20/10 mg/ml
Injektion Plazomicin sulfate 24 mg/ml
0,9 % Natriumklorid 4145
Kompatibel
Injektion Ampicillin sodium - sulbactam sodium 20/10 mg/ml
Injektion Remifentanil hydrochloride 25 & 250 µg/ml
0,9 % Natriumklorid 59
Nedbør efter 4 timer Uforenelig
Injektion Ampicillin sodium - sulbactam sodium 20/10 mg/ml
Injektion Sargramostim 10 µg/ml
0,9 % Natriumklorid 335
Kompatibel
Injektion Ampicillin sodium - sulbactam sodium 200 mg/ml
Injektion Sugammadex 100 mg/ml
Ingen 3372
Kompatibel
Injektion Ampicillin sodium - sulbactam sodium 50 mg/ml
Injektion Tacrolimus 1000 µg/ml
0,9 % Natriumklorid 479
Kompatibel
Injektion Ampicillin sodium - sulbactam sodium 20/10 mg/ml
Injektion Tedizolid phosphate 0.8 mg/ml
0,9 % Natriumklorid 3827
Kompatibel
Injektion Ampicillin sodium - sulbactam sodium 20/10 mg/ml
Injektion Telavancin hydrochloride 7.5 mg/ml
5 % Glukose 3254
Kompatibel
Injektion Ampicillin sodium - sulbactam sodium 20/10 mg/ml
Injektion Telavancin hydrochloride 7.5 mg/ml
0,9 % Natriumklorid 3254
Kompatibel
Injektion Ampicillin sodium - sulbactam sodium 20/10 mg/ml
Injektion Telavancin hydrochloride 7.5 mg/ml
Ringer laktat 3254
Kompatibel
Injektion Ampicillin sodium - sulbactam sodium 20/10 mg/ml
Injektion Teniposide 0.1 mg/ml
5 % Glukose 905
Kompatibel
Injektion Ampicillin sodium - sulbactam sodium 30 mg/ml
Injektion Theophylline 4 mg/ml
Ingen 317
Kompatibel
Injektion Ampicillin sodium - sulbactam sodium 20/10 mg/ml
Injektion Thiotepa 1 mg/ml
5 % Glukose 249
Kompatibel
Injektion Ampicillin sodium - sulbactam sodium 10/20 mg/ml
Injektion Tramadol hydrochloride 0,4 mg/ml
0,9 % Natriumklorid 2002
Kompatibel
Injektion Ampicillin sodium - sulbactam sodium 1/0.5 >> 250/125 mg/ml
Injektion Vancomycin hydrochloride 2 mg/ml
5 % Glukose 1674
Kompatibel
Injektion Ampicillin sodium - sulbactam sodium 1/0.5 >> 50/25 mg/ml
Injektion Vancomycin hydrochloride 20 mg/ml
5 % Glukose 1674
Umiddelbar nedbør Uforenelig
Injektion Ampicillin sodium - sulbactam sodium 250-125 mg/ml
Injektion Vancomycin hydrochloride 20 mg/ml
5 % Glukose 1674

  Mentions Légales