Son güncelleme :
18/03/2026
Antikoagülan   Bivalirudin  
Enjeksiyon
Çözeltilerin stabilitesi Karışımlardaki stabilitesi Stabiliteyi etkileyen faktörler Uyumluluk Uygulama yöntemi Kaynaklar pdf
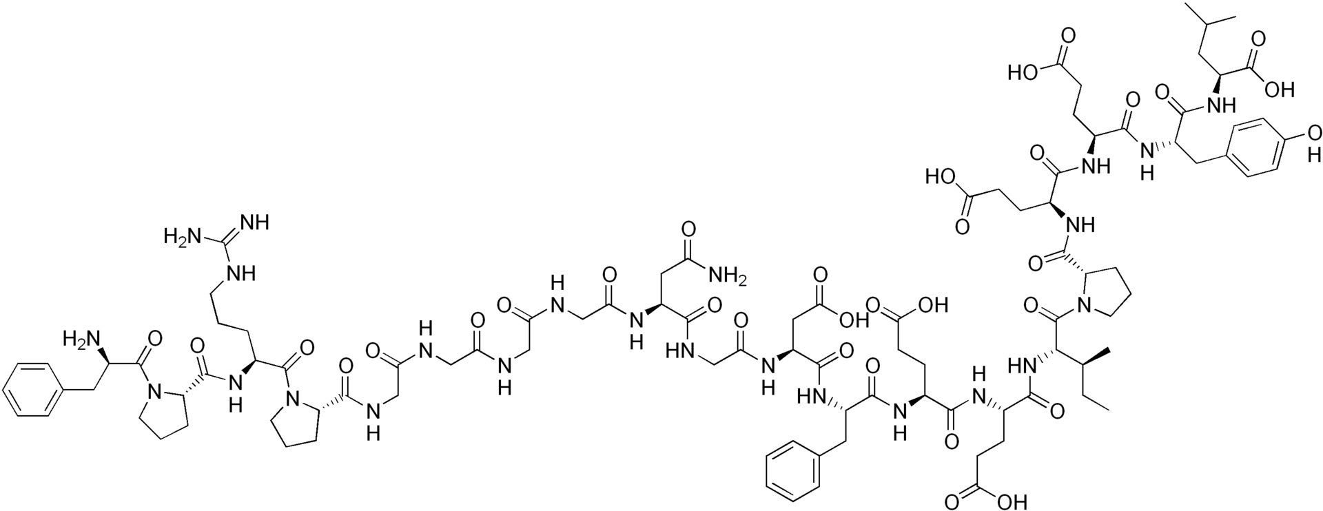
   Kimyasal yapı   

Ticari isim   Ticari isim     

Trade names are indicative and excipients composition can be different depending on the country and manufacturers

Amuprux Arjantin
Angiomax Amerika Birleşik Devletleri, Avustralya, Kanada, Peru, Şili, Venezuela, yeni Zelanda
Angiox Amerika Birleşik Devletleri, Avusturya, Büyük Britanya, Danimarka, Finlandiya, Hollanda, İspanya, İtalya, İzlanda, Macaristan, Norveç, Polonya, Romanya, Slovenya, Yunanistan
Bivalirudin Almanya, Belçika, Büyük Britanya, Danimarka, Finlandiya, İsveç, Slovenya
Bivalirudina İspanya, İtalya
Uyumluluk   Enjeksiyon    Uyumluluk : Bivalirudin              
Bu ekran, bu durumda uyumsuzluk tipiyle (çökelme, renk değişimi, bir emülsiyonun modifikasyonu, vb.) Uyumlulukları veya uyumsuzlukları gösterir. Burada gösterilen uyumluluklar çoğunlukla yalnızca fizikseldir ve her molekülün kimyasal stabilitesi nadiren değerlendirilir. Bu karışımların değerlendirilmesi, hastaya Y bölgesi uygulama olasılığını göz önünde bulundurmak için çalışıldı. Bu veriler önceden torba veya şırıngalarda karışım yapmak için kullanılamaz. Bu tür bilgiler "Karışımda stabilite" ekranında mevcuttur.
Bileşik Çözücü Kaynaklar
Uyumlu
Enjeksiyon Bivalirudin 5 mg/ml
Enjeksiyon Alfentanil hydrochloride 125 µg/ml
Glukoz %5 1713
Acil yağış uyumsuz
Enjeksiyon Bivalirudin 5 mg/ml
Enjeksiyon Alteplase 1 mg/ml
Glukoz %5 1713
Acil yağış uyumsuz
Enjeksiyon Bivalirudin
Enjeksiyon Alteplase
3539
Uyumlu
Enjeksiyon Bivalirudin 5 mg/ml
Enjeksiyon Amikacin sulfate 5 mg/ml
Glukoz %5 1713
Uyumlu
Enjeksiyon Bivalirudin 5 mg/ml
Enjeksiyon Aminophylline 2.5 mg/ml
Glukoz %5 1713
Acil yağış uyumsuz
Enjeksiyon Bivalirudin
Enjeksiyon Amiodarone hydrochloride
3539
Anında bulanıklık uyumsuz
Enjeksiyon Bivalirudin 5 mg/ml
Enjeksiyon Amiodarone hydrochloride 4 mg/ml
Glukoz %5 1713
Acil yağış uyumsuz
Enjeksiyon Bivalirudin
Enjeksiyon Amphotericin B
3539
Acil yağış uyumsuz
Enjeksiyon Bivalirudin 5 mg/ml
Enjeksiyon Amphotericin B 0.6 mg/ml
Glukoz %5 1713
Uyumlu
Enjeksiyon Bivalirudin 5 mg/ml
Enjeksiyon Ampicillin sodium 20 mg/ml
Glukoz %5 1713
Uyumlu
Enjeksiyon Bivalirudin 5 mg/ml
Enjeksiyon Ampicillin sodium - sulbactam sodium 20/10 mg/ml
Glukoz %5 1713
Uyumlu
Enjeksiyon Bivalirudin 5 mg/ml
Enjeksiyon Atropine sulfate 0,4 mg/ml
Glukoz %5 1944
Uyumlu
Enjeksiyon Bivalirudin 5 mg/ml
Enjeksiyon Atropine sulfate 0,4 mg/ml
Sodyum klorür % 0,9 1944
Uyumlu
Enjeksiyon Bivalirudin 5 mg/ml
Enjeksiyon Azithromycine 2 mg/ml
Glukoz %5 1713
Uyumlu
Enjeksiyon Bivalirudin 5 mg/ml
Enjeksiyon Aztreonam 40 mg/ml
Glukoz %5 1713
Uyumlu
Enjeksiyon Bivalirudin 5 mg/ml
Enjeksiyon Bretylium tosilate 50 mg/ml
Glukoz %5 1713
Uyumlu
Enjeksiyon Bivalirudin 5 mg/ml
Enjeksiyon Bumetanide 0.04 mg/ml
Glukoz %5 1713
Uyumlu
Enjeksiyon Bivalirudin 5 mg/ml
Enjeksiyon Butorphanol tartrate 0.04 mg/ml
Glukoz %5 1713
Uyumlu
Enjeksiyon Bivalirudin 5 mg/ml
Enjeksiyon Calcium gluconate 40 mg/ml
Glukoz %5 1713
Uyumlu
Enjeksiyon Bivalirudin 5 mg/ml
Enjeksiyon Cefazolin sodium 20 mg/ml
Glukoz %5 1713
Uyumlu
Enjeksiyon Bivalirudin 5 mg/ml
Enjeksiyon Cefepime dihydrochloride 20 mg/ml
Glukoz %5 1713
Uyumlu
Enjeksiyon Bivalirudin 5 mg/ml
Enjeksiyon Cefoperazone sodium 40 mg/ml
Glukoz %5 1713
Uyumlu
Enjeksiyon Bivalirudin 5 mg/ml
Enjeksiyon Cefotaxime sodium 20 mg/ml
Glukoz %5 1713
Uyumlu
Enjeksiyon Bivalirudin 5 mg/ml
Enjeksiyon Ceftazidime 40 mg/ml
Glukoz %5 1713
Acil yağış uyumsuz
Enjeksiyon Bivalirudin
Enjeksiyon Chlorpromazine hydrochloride
3539
Uyumlu
Enjeksiyon Bivalirudin
Glukoz %5 3539
Uyumlu
Enjeksiyon Bivalirudin 5 mg/ml
Enjeksiyon Cefoxitin sodium 20 mg/ml
Glukoz %5 1713
Uyumlu
Enjeksiyon Bivalirudin 5 mg/ml
Enjeksiyon Ceftizoxime sodium 20 mg/ml
Glukoz %5 1713
Uyumlu
Enjeksiyon Bivalirudin 5 mg/ml
Enjeksiyon Ceftriaxone disodium 20 mg/ml
Glukoz %5 1713
Uyumlu
Enjeksiyon Bivalirudin 5 mg/ml
Enjeksiyon Cefuroxime sodium 30 mg/ml
Glukoz %5 1713
Acil yağış uyumsuz
Enjeksiyon Bivalirudin 5 mg/ml
Enjeksiyon Chlorpromazine hydrochloride 2 mg/ml
Glukoz %5 1713
Uyumlu
Enjeksiyon Bivalirudin 5 mg/ml
Enjeksiyon Cimetidine hydrochloride 12 mg/ml
Glukoz %5 1713
Uyumlu
Enjeksiyon Bivalirudin 5 mg/ml
Enjeksiyon Ciprofloxacin lactate 2 mg/ml
Glukoz %5 1713
Uyumlu
Enjeksiyon Bivalirudin 5 mg/ml
Enjeksiyon Clindamycin phosphate 10 mg/ml
Glukoz %5 1713
Uyumlu
Enjeksiyon Bivalirudin 5 mg/ml
Enjeksiyon Co-trimoxazole 4/0.8 mg/ml
Glukoz %5 1713
Uyumlu
Enjeksiyon Bivalirudin 5 mg/ml
Enjeksiyon Dexamethasone sodium phosphate 1 mg/ml
Glukoz %5 1713
Acil yağış uyumsuz
Enjeksiyon Bivalirudin 5 mg/ml
Enjeksiyon Diazepam 5 mg/ml
Glukoz %5 1713
Acil yağış uyumsuz
Enjeksiyon Bivalirudin
Enjeksiyon Diazepam
3539
Uyumlu
Enjeksiyon Bivalirudin 5 mg/ml
Enjeksiyon Digoxin 250 µg/ml
Glukoz %5 1713
Uyumlu
Enjeksiyon Bivalirudin 5 mg/ml
Enjeksiyon Diltiazem hydrochloride 5 mg/ml
Sodyum klorür % 0,9 1944
Uyumlu
Enjeksiyon Bivalirudin 5 mg/ml
Enjeksiyon Diltiazem hydrochloride 5 mg/ml
Glukoz %5 1713
Uyumlu
Enjeksiyon Bivalirudin 5 mg/ml
Enjeksiyon Diltiazem hydrochloride 5 mg/ml
Glukoz %5 1944
Uyumlu
Enjeksiyon Bivalirudin 5 mg/ml
Enjeksiyon Diphenhydramine hydrochloride 2 mg/ml
Glukoz %5 1713
Uyumlu
Enjeksiyon Bivalirudin 5 mg/ml
Enjeksiyon Dobutamine hydrochloride 4 mg/ml
Glukoz %5 1713
Uyumlu
Enjeksiyon Bivalirudin
Enjeksiyon Dobutamine hydrochloride 4 mg/ml
3539
Acil yağış uyumsuz
Enjeksiyon Bivalirudin 5 mg/ml
Enjeksiyon Dobutamine hydrochloride 12,5 mg/ml
Glukoz %5 1944
Belirtilmemiş uyumsuzluk uyumsuz
Enjeksiyon Bivalirudin
Enjeksiyon Dobutamine hydrochloride 12.5 mg/ml
3539
Acil yağış uyumsuz
Enjeksiyon Bivalirudin 5 mg/ml
Enjeksiyon Dobutamine hydrochloride 12,5 mg/ml
Sodyum klorür % 0,9 1944
Uyumlu
Enjeksiyon Bivalirudin 5 mg/ml
Enjeksiyon Dopamine hydrochloride 80 mg/ml
Sodyum klorür % 0,9 1944
Uyumlu
Enjeksiyon Bivalirudin 5 mg/ml
Enjeksiyon Dopamine hydrochloride 80 mg/ml
Glukoz %5 1944
Uyumlu
Enjeksiyon Bivalirudin 5 mg/ml
Enjeksiyon Dopamine hydrochloride 3.2 mg/ml
Glukoz %5 1713
Uyumlu
Enjeksiyon Bivalirudin 5 mg/ml
Enjeksiyon Doxycycline hyclate 1 mg/ml
Glukoz %5 1713
Uyumlu
Enjeksiyon Bivalirudin 5 mg/ml
Enjeksiyon Droperidol 2.5 mg/ml
Glukoz %5 1713
Uyumlu
Enjeksiyon Bivalirudin 5 mg/ml
Enjeksiyon Enalaprilate 0.1 mg/ml
Glukoz %5 1713
Uyumlu
Enjeksiyon Bivalirudin 5 mg/ml
Enjeksiyon Ephedrine hydrochloride 5 mg/ml
Glukoz %5 1713
Uyumlu
Enjeksiyon Bivalirudin 5 mg/ml
Enjeksiyon Epinephrine hydrochloride 50 µg/ml
Glukoz %5 1713
Uyumlu
Enjeksiyon Bivalirudin 5 mg/ml
Enjeksiyon Eptifibatide 2 mg/ml
Glukoz %5 1713
Uyumlu
Enjeksiyon Bivalirudin 5 mg/ml
Enjeksiyon Erythromycin lactobionate 5 mg/ml
Glukoz %5 1713
Uyumlu
Enjeksiyon Bivalirudin 5 mg/ml
Enjeksiyon Esmolol hydrochloride 10 mg/ml
Glukoz %5 1713
Uyumlu
Enjeksiyon Bivalirudin
Enjeksiyon Famotidine 2 mg/ml
3539
Belirtilmemiş uyumsuzluk uyumsuz
Enjeksiyon Bivalirudin
Enjeksiyon Famotidine 10 mg/ml
3539
Uyumlu
Enjeksiyon Bivalirudin 5 mg/ml
Enjeksiyon Famotidine 2 mg/ml
Glukoz %5 1713
Uyumlu
Enjeksiyon Bivalirudin 5 mg/ml
Enjeksiyon Fentanyl citrate 50 µg/ml
Sodyum klorür % 0,9 1944
Uyumlu
Enjeksiyon Bivalirudin 5 mg/ml
Enjeksiyon Fentanyl citrate 50 µg/ml
Glukoz %5 1944
Uyumlu
Enjeksiyon Bivalirudin 5 mg/ml
Enjeksiyon Fentanyl citrate 50 µg/ml
Glukoz %5 1713
Uyumlu
Enjeksiyon Bivalirudin 5 mg/ml
Enjeksiyon Fluconazole 2 mg/ml
Glukoz %5 1713
Uyumlu
Enjeksiyon Bivalirudin 5 mg/ml
Enjeksiyon Furosemide 3 mg/ml
Glukoz %5 1713
Uyumlu
Enjeksiyon Bivalirudin 5 mg/ml
Enjeksiyon Gentamicin sulfate 5 mg/ml
Glukoz %5 1713
Uyumlu
Enjeksiyon Bivalirudin
Enjeksiyon Haloperidol lactate 0.2 mg/ml
3539
Uyumlu
Enjeksiyon Bivalirudin 5 mg/ml
Enjeksiyon Haloperidol lactate 0.2 mg/ml
Glukoz %5 1713
Belirtilmemiş uyumsuzluk uyumsuz
Enjeksiyon Bivalirudin
Enjeksiyon Haloperidol lactate 5 mg/ml
3539
Uyumlu
Enjeksiyon Bivalirudin 5 mg/ml
Enjeksiyon Heparin sodium 100 UI/ml
Glukoz %5 1713
Uyumlu
Enjeksiyon Bivalirudin 5 mg/ml
Enjeksiyon Hydrocortisone sodium succinate 50 mg/ml
Sodyum klorür % 0,9 1944
Uyumlu
Enjeksiyon Bivalirudin 5 mg/ml
Enjeksiyon Hydrocortisone sodium succinate 50 mg/ml
Glukoz %5 1944
Uyumlu
Enjeksiyon Bivalirudin 5 mg/ml
Enjeksiyon Hydrocortisone sodium succinate 1 mg/ml
Glukoz %5 1713
Uyumlu
Enjeksiyon Bivalirudin 5 mg/ml
Enjeksiyon Hydromorphone hydrochloride 0.5 mg/ml
Glukoz %5 1713
Uyumlu
Enjeksiyon Bivalirudin 5 mg/ml
Enjeksiyon Isoprenaline hydrochloride 0.02 mg/ml
Glukoz %5 1713
Belirtilmemiş uyumsuzluk uyumsuz
Enjeksiyon Bivalirudin
Enjeksiyon Labetalol hydrochloride 5 mg/ml
3539
Uyumlu
Enjeksiyon Bivalirudin 5 mg/ml
Enjeksiyon Labetalol hydrochloride 2 mg/ml
Glukoz %5 1713
Uyumlu
Enjeksiyon Bivalirudin
Enjeksiyon Labetalol hydrochloride 2 mg/ml
3539
Uyumlu
Enjeksiyon Bivalirudin 5 mg/ml
Enjeksiyon Levofloxacine 5 mg/ml
Glukoz %5 1713
Uyumlu
Enjeksiyon Bivalirudin 5 mg/ml
Enjeksiyon Lidocaine hydrochloride 10 mg/ml
Glukoz %5 1713
Belirtilmemiş uyumsuzluk uyumsuz
Enjeksiyon Bivalirudin
Enjeksiyon Lorazepam 2 mg/ml
3539
Uyumlu
Enjeksiyon Bivalirudin
Enjeksiyon Lorazepam 0.5 mg/ml
3539
Uyumlu
Enjeksiyon Bivalirudin 5 mg/ml
Enjeksiyon Lorazepam 0.5 mg/ml
Glukoz %5 1713
Uyumlu
Enjeksiyon Bivalirudin 5 mg/ml
Enjeksiyon Magnesium sulfate 100 mg/ml
Glukoz %5 1713
Uyumlu
Enjeksiyon Bivalirudin 5 mg/ml
Enjeksiyon Mannitol 150 mg/ml
Glukoz %5 1713
Uyumlu
Enjeksiyon Bivalirudin 5 mg/ml
Enjeksiyon Methylprednisolone sodium succinate 5 mg/ml
Glukoz %5 1713
Uyumlu
Enjeksiyon Bivalirudin 5 mg/ml
Enjeksiyon Metoclopramide hydrochloride 5 mg/ml
Glukoz %5 1713
Uyumlu
Enjeksiyon Bivalirudin 5 mg/ml
Enjeksiyon Metoprolol tartrate 1 mg/ml
Sodyum klorür % 0,9 1944
Uyumlu
Enjeksiyon Bivalirudin 5 mg/ml
Enjeksiyon Metoprolol tartrate 1 mg/ml
Glukoz %5 1944
Uyumlu
Enjeksiyon Bivalirudin 5 mg/ml
Enjeksiyon Metronidazole 5 mg/ml
Glukoz %5 1713
Uyumlu
Enjeksiyon Bivalirudin 5 mg/ml
Enjeksiyon Midazolam hydrochloride 2 mg/ml
Glukoz %5 1944
Uyumlu
Enjeksiyon Bivalirudin 5 mg/ml
Enjeksiyon Midazolam hydrochloride 1 mg/ml
Glukoz %5 1713
Uyumlu
Enjeksiyon Bivalirudin 5 mg/ml
Enjeksiyon Midazolam hydrochloride 2 mg/ml
Sodyum klorür % 0,9 1944
Uyumlu
Enjeksiyon Bivalirudin 5 mg/ml
Enjeksiyon Milrinone lactate 0.2 mg/ml
Glukoz %5 1713
Uyumlu
Enjeksiyon Bivalirudin 5 mg/ml
Enjeksiyon Morphine sulfate 10 mg/ml
Sodyum klorür % 0,9 1944
Uyumlu
Enjeksiyon Bivalirudin 5 mg/ml
Enjeksiyon Morphine sulfate 10 mg/ml
Glukoz %5 1944
Uyumlu
Enjeksiyon Bivalirudin 5 mg/ml
Enjeksiyon Morphine sulfate 1 mg/ml
Glukoz %5 1713
Uyumlu
Enjeksiyon Bivalirudin 5 mg/ml
Enjeksiyon Nalbuphine hydrochloride 10 mg/ml
Glukoz %5 1713
Uyumlu
Enjeksiyon Bivalirudin 5 mg/ml
Enjeksiyon Nitroprusside sodium 2 mg/ml
Glukoz %5 1713
Uyumlu
Enjeksiyon Bivalirudin
Sodyum klorür % 0,9 3539
Uyumlu
Enjeksiyon Bivalirudin 5 mg/ml
Enjeksiyon Nitroglycerin 0.4 mg/ml
Glukoz %5 1713
Uyumlu
Enjeksiyon Bivalirudin 5 mg/ml
Enjeksiyon Norepinephrine bitartrate 0.12 mg/ml
Glukoz %5 1713
Uyumlu
Enjeksiyon Bivalirudin 5 mg/ml
Enjeksiyon Ofloxacin 4 mg/ml
Glukoz %5 1713
Uyumlu
Enjeksiyon Bivalirudin 5 mg/ml
Enjeksiyon Pethidine hydrochloride 10 mg/ml
Glukoz %5 1713
Uyumlu
Enjeksiyon Bivalirudin 5 mg/ml
Enjeksiyon Phenylephrine hydrochloride 10 mg/ml
Glukoz %5 1944
Uyumlu
Enjeksiyon Bivalirudin 5 mg/ml
Enjeksiyon Phenylephrine hydrochloride 1 mg/ml
Glukoz %5 1713
Uyumlu
Enjeksiyon Bivalirudin 5 mg/ml
Enjeksiyon Phenylephrine hydrochloride 10 mg/ml
Sodyum klorür % 0,9 1944
Uyumlu
Enjeksiyon Bivalirudin 5 mg/ml
Enjeksiyon Piperacillin sodium 40 mg/ml
Glukoz %5 1713
Uyumlu
Enjeksiyon Bivalirudin 5 mg/ml
Enjeksiyon Piperacillin sodium / tazobactam 40/5 mg/ml
Glukoz %5 1713
Uyumlu
Enjeksiyon Bivalirudin 5 mg/ml
Enjeksiyon Potassium chloride 100 mEq/l
Glukoz %5 1713
Uyumlu
Enjeksiyon Bivalirudin 5 mg/ml
Enjeksiyon Procainamide hydrochloride 10 mg/ml
Glukoz %5 1713
Acil yağış uyumsuz
Enjeksiyon Bivalirudin
Enjeksiyon Prochlorperazine edysilate 25 mg/ml
3539
Acil yağış uyumsuz
Enjeksiyon Bivalirudin 5 mg/ml
Enjeksiyon Prochlorperazine edysilate 0.5 mg/ml
Glukoz %5 1713
Uyumlu
Enjeksiyon Bivalirudin
Enjeksiyon Promethazine hydrochloride 2 mg/ml
3539
Belirtilmemiş uyumsuzluk uyumsuz
Enjeksiyon Bivalirudin
Enjeksiyon Promethazine hydrochloride 25 mg/ml
3539
Uyumlu
Enjeksiyon Bivalirudin 5 mg/ml
Enjeksiyon Promethazine hydrochloride 2 mg/ml
Glukoz %5 1713
Uyumlu
Enjeksiyon Bivalirudin 5 mg/ml
Enjeksiyon Ranitidine hydrochloride 2 mg/ml
Glukoz %5 1713
Acil yağış uyumsuz
Enjeksiyon Bivalirudin 5 mg/ml
Enjeksiyon Reteplase 1 UI/ml
Glukoz %5 1713
Acil yağış uyumsuz
Enjeksiyon Bivalirudin
Enjeksiyon Reteplase
3539
Uyumlu
Enjeksiyon Bivalirudin 5 mg/ml
Enjeksiyon Sodium bicarbonate 84 mg/ml
Glukoz %5 1713
Acil yağış uyumsuz
Enjeksiyon Bivalirudin 5 mg/ml
Enjeksiyon Streptokinase 30000 UI/ml
Glukoz %5 1713
Acil yağış uyumsuz
Enjeksiyon Bivalirudin
Enjeksiyon Streptokinase
3539
Uyumlu
Enjeksiyon Bivalirudin 5 mg/ml
Enjeksiyon Sufentanil citrate 0.05 mg/ml
Glukoz %5 1713
Uyumlu
Enjeksiyon Bivalirudin 5 mg/ml
Enjeksiyon Theophylline 4 mg/ml
Glukoz %5 1713
Uyumlu
Enjeksiyon Bivalirudin 5 mg/ml
Enjeksiyon Thiopental sodium 25 mg/ml
Glukoz %5 1713
Uyumlu
Enjeksiyon Bivalirudin 5 mg/ml
Enjeksiyon Ticarcillin / clavulanic acid 31 mg/ml
Glukoz %5 1713
Uyumlu
Enjeksiyon Bivalirudin 5 mg/ml
Enjeksiyon Tirofiban 50 µg/ml
Glukoz %5 1713
Uyumlu
Enjeksiyon Bivalirudin 5 mg/ml
Enjeksiyon Tobramycin sulfate 5 mg/ml
Glukoz %5 1713
Acil yağış uyumsuz
Enjeksiyon Bivalirudin 5 mg/ml
Enjeksiyon Vancomycin hydrochloride 10 mg/ml
Glukoz %5 1713
Acil yağış uyumsuz
Enjeksiyon Bivalirudin
Enjeksiyon Vancomycin hydrochloride
3539
Uyumlu
Enjeksiyon Bivalirudin 5 mg/ml
Enjeksiyon Verapamil hydrochloride 2,5 mg/ml
Sodyum klorür % 0,9 1944
Uyumlu
Enjeksiyon Bivalirudin 5 mg/ml
Enjeksiyon Verapamil hydrochloride 2,5 mg/ml
Glukoz %5 1944
Uyumlu
Enjeksiyon Bivalirudin 5 mg/ml
Enjeksiyon Verapamil hydrochloride 1.25 mg/ml
Glukoz %5 1713
Uyumlu
Enjeksiyon Bivalirudin 5 mg/ml
Enjeksiyon Warfarin sodium 2 mg/ml
Glukoz %5 1713

  Mentions Légales