Siste oppdatering :
18/03/2026
Antikoagulantia   Bivalirudin  
Injeksjon
Oppløsningsstabilitet Stabilitet i blandinger Faktorer som påvirker stabiliteten Kompatibilitet Administrasjonsmåte Referanser pdf
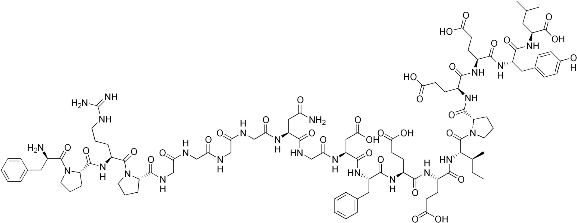
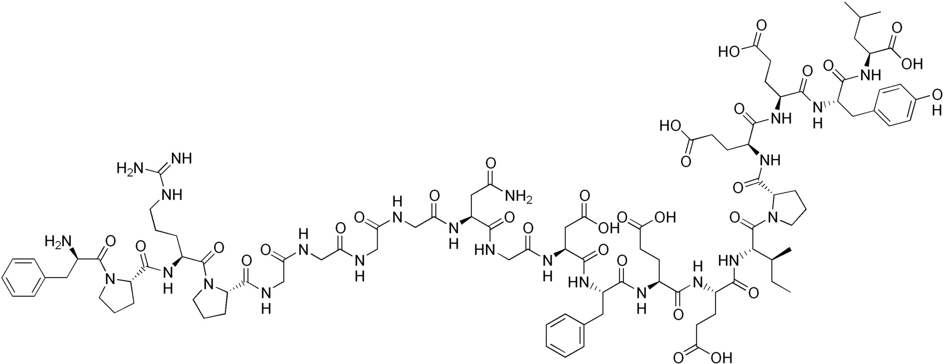
   Kjemisk struktur  

Handelsnavn   Handelsnavn     

Handelsnavn er veiledende og sammensetning av hjelpestoffer kan være forskjellig avhengig av land og produsent

Amuprux Argentina
Angiomax Australia, Canada, Chile, New Zealand, Peru, USA, Venezuela
Angiox Danmark, Finland, Hellas, Island, Italia, Nederland, Norge, Polen, Romania, Slovenia, Spania, Storbritannia, Ungarn, USA, Østerrike
Bivalirudin Belgia, Danmark, Finland, Slovenia, Storbritannia, Sverige, Tyskland
Bivalirudina Italia, Spania
Kompatibilitet   Injeksjon   Kompatibilitet : Bivalirudin              
Dette skjermbildet viser kompatibilitet eller inkompatibilitet med, i dette tilfellet, typen inkompatibilitet (nedbør, fargeendring, modifisering av en emulsjon, etc.). Kompatibilitetene som er vist her, er for det meste bare fysiske, og den kjemiske stabiliteten til hvert molekyl blir sjelden vurdert. Evalueringen av disse blandingene ble studert for å vurdere muligheten for Y-stedadministrasjon til pasienten. Disse dataene kan ikke brukes til å lage blandinger på forhånd i poser eller sprøyter. Denne typen informasjon er tilgjengelig på skjermen "Stabilitet i blanding".
Legemiddel Oppløsningsmiddel Referanser
Kompatibel
Injeksjon Bivalirudin 5 mg/ml
Injeksjon Alfentanil hydrochloride 125 µg/ml
Glukose 5 % 1713
Umiddelbar nedbør Uforenlig
Injeksjon Bivalirudin 5 mg/ml
Injeksjon Alteplase 1 mg/ml
Glukose 5 % 1713
Umiddelbar nedbør Uforenlig
Injeksjon Bivalirudin
Injeksjon Alteplase
3539
Kompatibel
Injeksjon Bivalirudin 5 mg/ml
Injeksjon Amikacin sulfate 5 mg/ml
Glukose 5 % 1713
Kompatibel
Injeksjon Bivalirudin 5 mg/ml
Injeksjon Aminophylline 2.5 mg/ml
Glukose 5 % 1713
Umiddelbar nedbør Uforenlig
Injeksjon Bivalirudin
Injeksjon Amiodarone hydrochloride
3539
Umiddelbar turbiditet Uforenlig
Injeksjon Bivalirudin 5 mg/ml
Injeksjon Amiodarone hydrochloride 4 mg/ml
Glukose 5 % 1713
Umiddelbar nedbør Uforenlig
Injeksjon Bivalirudin
Injeksjon Amphotericin B
3539
Umiddelbar nedbør Uforenlig
Injeksjon Bivalirudin 5 mg/ml
Injeksjon Amphotericin B 0.6 mg/ml
Glukose 5 % 1713
Kompatibel
Injeksjon Bivalirudin 5 mg/ml
Injeksjon Ampicillin sodium 20 mg/ml
Glukose 5 % 1713
Kompatibel
Injeksjon Bivalirudin 5 mg/ml
Injeksjon Ampicillin sodium - sulbactam sodium 20/10 mg/ml
Glukose 5 % 1713
Kompatibel
Injeksjon Bivalirudin 5 mg/ml
Injeksjon Atropine sulfate 0,4 mg/ml
Glukose 5 % 1944
Kompatibel
Injeksjon Bivalirudin 5 mg/ml
Injeksjon Atropine sulfate 0,4 mg/ml
Natriumklorid 0,9 % 1944
Kompatibel
Injeksjon Bivalirudin 5 mg/ml
Injeksjon Azithromycine 2 mg/ml
Glukose 5 % 1713
Kompatibel
Injeksjon Bivalirudin 5 mg/ml
Injeksjon Aztreonam 40 mg/ml
Glukose 5 % 1713
Kompatibel
Injeksjon Bivalirudin 5 mg/ml
Injeksjon Bretylium tosilate 50 mg/ml
Glukose 5 % 1713
Kompatibel
Injeksjon Bivalirudin 5 mg/ml
Injeksjon Bumetanide 0.04 mg/ml
Glukose 5 % 1713
Kompatibel
Injeksjon Bivalirudin 5 mg/ml
Injeksjon Butorphanol tartrate 0.04 mg/ml
Glukose 5 % 1713
Kompatibel
Injeksjon Bivalirudin 5 mg/ml
Injeksjon Calcium gluconate 40 mg/ml
Glukose 5 % 1713
Kompatibel
Injeksjon Bivalirudin 5 mg/ml
Injeksjon Cefazolin sodium 20 mg/ml
Glukose 5 % 1713
Kompatibel
Injeksjon Bivalirudin 5 mg/ml
Injeksjon Cefepime dihydrochloride 20 mg/ml
Glukose 5 % 1713
Kompatibel
Injeksjon Bivalirudin 5 mg/ml
Injeksjon Cefoperazone sodium 40 mg/ml
Glukose 5 % 1713
Kompatibel
Injeksjon Bivalirudin 5 mg/ml
Injeksjon Cefotaxime sodium 20 mg/ml
Glukose 5 % 1713
Kompatibel
Injeksjon Bivalirudin 5 mg/ml
Injeksjon Ceftazidime 40 mg/ml
Glukose 5 % 1713
Umiddelbar nedbør Uforenlig
Injeksjon Bivalirudin
Injeksjon Chlorpromazine hydrochloride
3539
Kompatibel
Injeksjon Bivalirudin
Glukose 5 % 3539
Kompatibel
Injeksjon Bivalirudin 5 mg/ml
Injeksjon Cefoxitin sodium 20 mg/ml
Glukose 5 % 1713
Kompatibel
Injeksjon Bivalirudin 5 mg/ml
Injeksjon Ceftizoxime sodium 20 mg/ml
Glukose 5 % 1713
Kompatibel
Injeksjon Bivalirudin 5 mg/ml
Injeksjon Ceftriaxone disodium 20 mg/ml
Glukose 5 % 1713
Kompatibel
Injeksjon Bivalirudin 5 mg/ml
Injeksjon Cefuroxime sodium 30 mg/ml
Glukose 5 % 1713
Umiddelbar nedbør Uforenlig
Injeksjon Bivalirudin 5 mg/ml
Injeksjon Chlorpromazine hydrochloride 2 mg/ml
Glukose 5 % 1713
Kompatibel
Injeksjon Bivalirudin 5 mg/ml
Injeksjon Cimetidine hydrochloride 12 mg/ml
Glukose 5 % 1713
Kompatibel
Injeksjon Bivalirudin 5 mg/ml
Injeksjon Ciprofloxacin lactate 2 mg/ml
Glukose 5 % 1713
Kompatibel
Injeksjon Bivalirudin 5 mg/ml
Injeksjon Clindamycin phosphate 10 mg/ml
Glukose 5 % 1713
Kompatibel
Injeksjon Bivalirudin 5 mg/ml
Injeksjon Co-trimoxazole 4/0.8 mg/ml
Glukose 5 % 1713
Kompatibel
Injeksjon Bivalirudin 5 mg/ml
Injeksjon Dexamethasone sodium phosphate 1 mg/ml
Glukose 5 % 1713
Umiddelbar nedbør Uforenlig
Injeksjon Bivalirudin 5 mg/ml
Injeksjon Diazepam 5 mg/ml
Glukose 5 % 1713
Umiddelbar nedbør Uforenlig
Injeksjon Bivalirudin
Injeksjon Diazepam
3539
Kompatibel
Injeksjon Bivalirudin 5 mg/ml
Injeksjon Digoxin 250 µg/ml
Glukose 5 % 1713
Kompatibel
Injeksjon Bivalirudin 5 mg/ml
Injeksjon Diltiazem hydrochloride 5 mg/ml
Natriumklorid 0,9 % 1944
Kompatibel
Injeksjon Bivalirudin 5 mg/ml
Injeksjon Diltiazem hydrochloride 5 mg/ml
Glukose 5 % 1713
Kompatibel
Injeksjon Bivalirudin 5 mg/ml
Injeksjon Diltiazem hydrochloride 5 mg/ml
Glukose 5 % 1944
Kompatibel
Injeksjon Bivalirudin 5 mg/ml
Injeksjon Diphenhydramine hydrochloride 2 mg/ml
Glukose 5 % 1713
Kompatibel
Injeksjon Bivalirudin 5 mg/ml
Injeksjon Dobutamine hydrochloride 4 mg/ml
Glukose 5 % 1713
Kompatibel
Injeksjon Bivalirudin
Injeksjon Dobutamine hydrochloride 4 mg/ml
3539
Umiddelbar nedbør Uforenlig
Injeksjon Bivalirudin 5 mg/ml
Injeksjon Dobutamine hydrochloride 12,5 mg/ml
Glukose 5 % 1944
Uspesifisert inkompatibilitet Uforenlig
Injeksjon Bivalirudin
Injeksjon Dobutamine hydrochloride 12.5 mg/ml
3539
Umiddelbar nedbør Uforenlig
Injeksjon Bivalirudin 5 mg/ml
Injeksjon Dobutamine hydrochloride 12,5 mg/ml
Natriumklorid 0,9 % 1944
Kompatibel
Injeksjon Bivalirudin 5 mg/ml
Injeksjon Dopamine hydrochloride 80 mg/ml
Natriumklorid 0,9 % 1944
Kompatibel
Injeksjon Bivalirudin 5 mg/ml
Injeksjon Dopamine hydrochloride 80 mg/ml
Glukose 5 % 1944
Kompatibel
Injeksjon Bivalirudin 5 mg/ml
Injeksjon Dopamine hydrochloride 3.2 mg/ml
Glukose 5 % 1713
Kompatibel
Injeksjon Bivalirudin 5 mg/ml
Injeksjon Doxycycline hyclate 1 mg/ml
Glukose 5 % 1713
Kompatibel
Injeksjon Bivalirudin 5 mg/ml
Injeksjon Droperidol 2.5 mg/ml
Glukose 5 % 1713
Kompatibel
Injeksjon Bivalirudin 5 mg/ml
Injeksjon Enalaprilate 0.1 mg/ml
Glukose 5 % 1713
Kompatibel
Injeksjon Bivalirudin 5 mg/ml
Injeksjon Ephedrine hydrochloride 5 mg/ml
Glukose 5 % 1713
Kompatibel
Injeksjon Bivalirudin 5 mg/ml
Injeksjon Epinephrine hydrochloride 50 µg/ml
Glukose 5 % 1713
Kompatibel
Injeksjon Bivalirudin 5 mg/ml
Injeksjon Eptifibatide 2 mg/ml
Glukose 5 % 1713
Kompatibel
Injeksjon Bivalirudin 5 mg/ml
Injeksjon Erythromycin lactobionate 5 mg/ml
Glukose 5 % 1713
Kompatibel
Injeksjon Bivalirudin 5 mg/ml
Injeksjon Esmolol hydrochloride 10 mg/ml
Glukose 5 % 1713
Kompatibel
Injeksjon Bivalirudin
Injeksjon Famotidine 2 mg/ml
3539
Uspesifisert inkompatibilitet Uforenlig
Injeksjon Bivalirudin
Injeksjon Famotidine 10 mg/ml
3539
Kompatibel
Injeksjon Bivalirudin 5 mg/ml
Injeksjon Famotidine 2 mg/ml
Glukose 5 % 1713
Kompatibel
Injeksjon Bivalirudin 5 mg/ml
Injeksjon Fentanyl citrate 50 µg/ml
Natriumklorid 0,9 % 1944
Kompatibel
Injeksjon Bivalirudin 5 mg/ml
Injeksjon Fentanyl citrate 50 µg/ml
Glukose 5 % 1944
Kompatibel
Injeksjon Bivalirudin 5 mg/ml
Injeksjon Fentanyl citrate 50 µg/ml
Glukose 5 % 1713
Kompatibel
Injeksjon Bivalirudin 5 mg/ml
Injeksjon Fluconazole 2 mg/ml
Glukose 5 % 1713
Kompatibel
Injeksjon Bivalirudin 5 mg/ml
Injeksjon Furosemide 3 mg/ml
Glukose 5 % 1713
Kompatibel
Injeksjon Bivalirudin 5 mg/ml
Injeksjon Gentamicin sulfate 5 mg/ml
Glukose 5 % 1713
Kompatibel
Injeksjon Bivalirudin
Injeksjon Haloperidol lactate 0.2 mg/ml
3539
Kompatibel
Injeksjon Bivalirudin 5 mg/ml
Injeksjon Haloperidol lactate 0.2 mg/ml
Glukose 5 % 1713
Uspesifisert inkompatibilitet Uforenlig
Injeksjon Bivalirudin
Injeksjon Haloperidol lactate 5 mg/ml
3539
Kompatibel
Injeksjon Bivalirudin 5 mg/ml
Injeksjon Heparin sodium 100 UI/ml
Glukose 5 % 1713
Kompatibel
Injeksjon Bivalirudin 5 mg/ml
Injeksjon Hydrocortisone sodium succinate 50 mg/ml
Natriumklorid 0,9 % 1944
Kompatibel
Injeksjon Bivalirudin 5 mg/ml
Injeksjon Hydrocortisone sodium succinate 50 mg/ml
Glukose 5 % 1944
Kompatibel
Injeksjon Bivalirudin 5 mg/ml
Injeksjon Hydrocortisone sodium succinate 1 mg/ml
Glukose 5 % 1713
Kompatibel
Injeksjon Bivalirudin 5 mg/ml
Injeksjon Hydromorphone hydrochloride 0.5 mg/ml
Glukose 5 % 1713
Kompatibel
Injeksjon Bivalirudin 5 mg/ml
Injeksjon Isoprenaline hydrochloride 0.02 mg/ml
Glukose 5 % 1713
Uspesifisert inkompatibilitet Uforenlig
Injeksjon Bivalirudin
Injeksjon Labetalol hydrochloride 5 mg/ml
3539
Kompatibel
Injeksjon Bivalirudin 5 mg/ml
Injeksjon Labetalol hydrochloride 2 mg/ml
Glukose 5 % 1713
Kompatibel
Injeksjon Bivalirudin
Injeksjon Labetalol hydrochloride 2 mg/ml
3539
Kompatibel
Injeksjon Bivalirudin 5 mg/ml
Injeksjon Levofloxacine 5 mg/ml
Glukose 5 % 1713
Kompatibel
Injeksjon Bivalirudin 5 mg/ml
Injeksjon Lidocaine hydrochloride 10 mg/ml
Glukose 5 % 1713
Uspesifisert inkompatibilitet Uforenlig
Injeksjon Bivalirudin
Injeksjon Lorazepam 2 mg/ml
3539
Kompatibel
Injeksjon Bivalirudin
Injeksjon Lorazepam 0.5 mg/ml
3539
Kompatibel
Injeksjon Bivalirudin 5 mg/ml
Injeksjon Lorazepam 0.5 mg/ml
Glukose 5 % 1713
Kompatibel
Injeksjon Bivalirudin 5 mg/ml
Injeksjon Magnesium sulfate 100 mg/ml
Glukose 5 % 1713
Kompatibel
Injeksjon Bivalirudin 5 mg/ml
Injeksjon Mannitol 150 mg/ml
Glukose 5 % 1713
Kompatibel
Injeksjon Bivalirudin 5 mg/ml
Injeksjon Methylprednisolone sodium succinate 5 mg/ml
Glukose 5 % 1713
Kompatibel
Injeksjon Bivalirudin 5 mg/ml
Injeksjon Metoclopramide hydrochloride 5 mg/ml
Glukose 5 % 1713
Kompatibel
Injeksjon Bivalirudin 5 mg/ml
Injeksjon Metoprolol tartrate 1 mg/ml
Natriumklorid 0,9 % 1944
Kompatibel
Injeksjon Bivalirudin 5 mg/ml
Injeksjon Metoprolol tartrate 1 mg/ml
Glukose 5 % 1944
Kompatibel
Injeksjon Bivalirudin 5 mg/ml
Injeksjon Metronidazole 5 mg/ml
Glukose 5 % 1713
Kompatibel
Injeksjon Bivalirudin 5 mg/ml
Injeksjon Midazolam hydrochloride 2 mg/ml
Glukose 5 % 1944
Kompatibel
Injeksjon Bivalirudin 5 mg/ml
Injeksjon Midazolam hydrochloride 1 mg/ml
Glukose 5 % 1713
Kompatibel
Injeksjon Bivalirudin 5 mg/ml
Injeksjon Midazolam hydrochloride 2 mg/ml
Natriumklorid 0,9 % 1944
Kompatibel
Injeksjon Bivalirudin 5 mg/ml
Injeksjon Milrinone lactate 0.2 mg/ml
Glukose 5 % 1713
Kompatibel
Injeksjon Bivalirudin 5 mg/ml
Injeksjon Morphine sulfate 10 mg/ml
Natriumklorid 0,9 % 1944
Kompatibel
Injeksjon Bivalirudin 5 mg/ml
Injeksjon Morphine sulfate 10 mg/ml
Glukose 5 % 1944
Kompatibel
Injeksjon Bivalirudin 5 mg/ml
Injeksjon Morphine sulfate 1 mg/ml
Glukose 5 % 1713
Kompatibel
Injeksjon Bivalirudin 5 mg/ml
Injeksjon Nalbuphine hydrochloride 10 mg/ml
Glukose 5 % 1713
Kompatibel
Injeksjon Bivalirudin 5 mg/ml
Injeksjon Nitroprusside sodium 2 mg/ml
Glukose 5 % 1713
Kompatibel
Injeksjon Bivalirudin
Natriumklorid 0,9 % 3539
Kompatibel
Injeksjon Bivalirudin 5 mg/ml
Injeksjon Nitroglycerin 0.4 mg/ml
Glukose 5 % 1713
Kompatibel
Injeksjon Bivalirudin 5 mg/ml
Injeksjon Norepinephrine bitartrate 0.12 mg/ml
Glukose 5 % 1713
Kompatibel
Injeksjon Bivalirudin 5 mg/ml
Injeksjon Ofloxacin 4 mg/ml
Glukose 5 % 1713
Kompatibel
Injeksjon Bivalirudin 5 mg/ml
Injeksjon Pethidine hydrochloride 10 mg/ml
Glukose 5 % 1713
Kompatibel
Injeksjon Bivalirudin 5 mg/ml
Injeksjon Phenylephrine hydrochloride 10 mg/ml
Glukose 5 % 1944
Kompatibel
Injeksjon Bivalirudin 5 mg/ml
Injeksjon Phenylephrine hydrochloride 1 mg/ml
Glukose 5 % 1713
Kompatibel
Injeksjon Bivalirudin 5 mg/ml
Injeksjon Phenylephrine hydrochloride 10 mg/ml
Natriumklorid 0,9 % 1944
Kompatibel
Injeksjon Bivalirudin 5 mg/ml
Injeksjon Piperacillin sodium 40 mg/ml
Glukose 5 % 1713
Kompatibel
Injeksjon Bivalirudin 5 mg/ml
Injeksjon Piperacillin sodium / tazobactam 40/5 mg/ml
Glukose 5 % 1713
Kompatibel
Injeksjon Bivalirudin 5 mg/ml
Injeksjon Potassium chloride 100 mEq/l
Glukose 5 % 1713
Kompatibel
Injeksjon Bivalirudin 5 mg/ml
Injeksjon Procainamide hydrochloride 10 mg/ml
Glukose 5 % 1713
Umiddelbar nedbør Uforenlig
Injeksjon Bivalirudin
Injeksjon Prochlorperazine edysilate 25 mg/ml
3539
Umiddelbar nedbør Uforenlig
Injeksjon Bivalirudin 5 mg/ml
Injeksjon Prochlorperazine edysilate 0.5 mg/ml
Glukose 5 % 1713
Kompatibel
Injeksjon Bivalirudin
Injeksjon Promethazine hydrochloride 2 mg/ml
3539
Uspesifisert inkompatibilitet Uforenlig
Injeksjon Bivalirudin
Injeksjon Promethazine hydrochloride 25 mg/ml
3539
Kompatibel
Injeksjon Bivalirudin 5 mg/ml
Injeksjon Promethazine hydrochloride 2 mg/ml
Glukose 5 % 1713
Kompatibel
Injeksjon Bivalirudin 5 mg/ml
Injeksjon Ranitidine hydrochloride 2 mg/ml
Glukose 5 % 1713
Umiddelbar nedbør Uforenlig
Injeksjon Bivalirudin 5 mg/ml
Injeksjon Reteplase 1 UI/ml
Glukose 5 % 1713
Umiddelbar nedbør Uforenlig
Injeksjon Bivalirudin
Injeksjon Reteplase
3539
Kompatibel
Injeksjon Bivalirudin 5 mg/ml
Injeksjon Sodium bicarbonate 84 mg/ml
Glukose 5 % 1713
Umiddelbar nedbør Uforenlig
Injeksjon Bivalirudin 5 mg/ml
Injeksjon Streptokinase 30000 UI/ml
Glukose 5 % 1713
Umiddelbar nedbør Uforenlig
Injeksjon Bivalirudin
Injeksjon Streptokinase
3539
Kompatibel
Injeksjon Bivalirudin 5 mg/ml
Injeksjon Sufentanil citrate 0.05 mg/ml
Glukose 5 % 1713
Kompatibel
Injeksjon Bivalirudin 5 mg/ml
Injeksjon Theophylline 4 mg/ml
Glukose 5 % 1713
Kompatibel
Injeksjon Bivalirudin 5 mg/ml
Injeksjon Thiopental sodium 25 mg/ml
Glukose 5 % 1713
Kompatibel
Injeksjon Bivalirudin 5 mg/ml
Injeksjon Ticarcillin / clavulanic acid 31 mg/ml
Glukose 5 % 1713
Kompatibel
Injeksjon Bivalirudin 5 mg/ml
Injeksjon Tirofiban 50 µg/ml
Glukose 5 % 1713
Kompatibel
Injeksjon Bivalirudin 5 mg/ml
Injeksjon Tobramycin sulfate 5 mg/ml
Glukose 5 % 1713
Umiddelbar nedbør Uforenlig
Injeksjon Bivalirudin 5 mg/ml
Injeksjon Vancomycin hydrochloride 10 mg/ml
Glukose 5 % 1713
Umiddelbar nedbør Uforenlig
Injeksjon Bivalirudin
Injeksjon Vancomycin hydrochloride
3539
Kompatibel
Injeksjon Bivalirudin 5 mg/ml
Injeksjon Verapamil hydrochloride 2,5 mg/ml
Natriumklorid 0,9 % 1944
Kompatibel
Injeksjon Bivalirudin 5 mg/ml
Injeksjon Verapamil hydrochloride 2,5 mg/ml
Glukose 5 % 1944
Kompatibel
Injeksjon Bivalirudin 5 mg/ml
Injeksjon Verapamil hydrochloride 1.25 mg/ml
Glukose 5 % 1713
Kompatibel
Injeksjon Bivalirudin 5 mg/ml
Injeksjon Warfarin sodium 2 mg/ml
Glukose 5 % 1713

  Mentions Légales