Última actualização :
18/03/2026
Anticoagulante   Bivalirudin  
injetável
Estabilidade em soluções simples Estabilidade em misturas Factores que afectam a sua estabilidade Compatibilidade Método de administração Bibliografía pdf
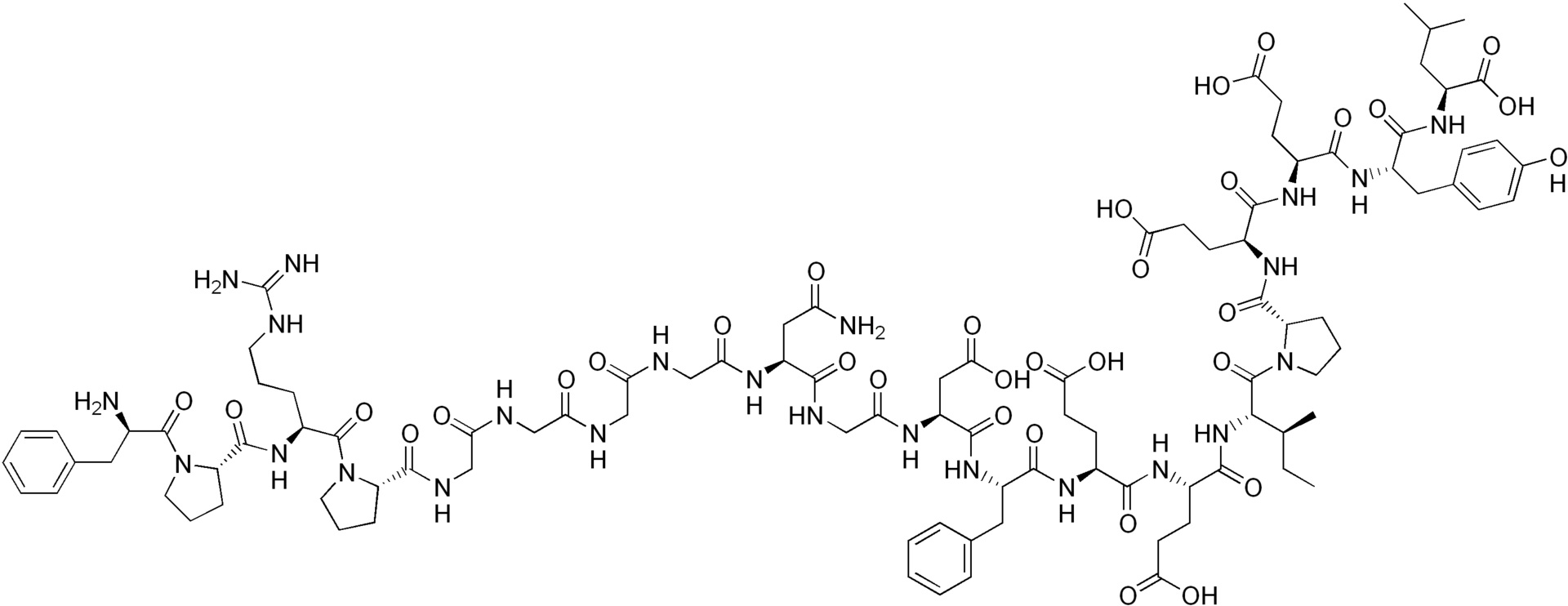
   estrutura química  

Nomes comerciais nos diversos países   Nomes comerciais nos diversos países     

OS NOMES COMERCIAIS SÃO INDICATIVOS E OS EXCIPIENTES DA FORMULAÇÃO PODEM SER DIFERENTES CONFORME O PAÍS E FABRICANTE.

Amuprux Argentina
Angiomax Australia, Canadá, Chilli, Estados Unidos de América, nova Zelândia, Peru, Venezuela
Angiox Austria, Dinamarca, Eslovenia, Espanha, Estados Unidos de América, Finlandia, Gran-bretanha, Grècia, Hungria, Islandia, Itália, Noruega, Países Baixos, Polonia, Romènia
Bivalirudin Alemanha, Bélgica, Dinamarca, Eslovenia, Finlandia, Gran-bretanha, Suècia
Bivalirudina Espanha, Itália
Compatibilidade   injetável   Compatibilidade : Bivalirudin              
Este ecrã indica as compatibilidades ou incompatibilidades com, neste caso, o tipo de incompatibilidade (precipitação, mudança de cor, modificação de uma emulsão, etc.). As compatibilidades mostradas aqui são principalmente físicas, com a estabilidade química de cada molécula raramente sendo avaliada. A avaliação dessas misturas foi estudada para considerar a possibilidade de administração do local Y ao paciente. Estes dados não podem ser usados para fazer misturas antecipadamente em sacos ou seringas. Este tipo de informação está disponível na tela “Estabilidade na mistura».
molécula Solvente Bibliografia
Compatível
injetável Bivalirudin 5 mg/ml
injetável Alfentanil hydrochloride 125 µg/ml
Glucose 5% 1713
Precipitação imediata Incompatível
injetável Bivalirudin 5 mg/ml
injetável Alteplase 1 mg/ml
Glucose 5% 1713
Precipitação imediata Incompatível
injetável Bivalirudin
injetável Alteplase
3539
Compatível
injetável Bivalirudin 5 mg/ml
injetável Amikacin sulfate 5 mg/ml
Glucose 5% 1713
Compatível
injetável Bivalirudin 5 mg/ml
injetável Aminophylline 2.5 mg/ml
Glucose 5% 1713
Precipitação imediata Incompatível
injetável Bivalirudin
injetável Amiodarone hydrochloride
3539
Turvação imediata Incompatível
injetável Bivalirudin 5 mg/ml
injetável Amiodarone hydrochloride 4 mg/ml
Glucose 5% 1713
Precipitação imediata Incompatível
injetável Bivalirudin
injetável Amphotericin B
3539
Precipitação imediata Incompatível
injetável Bivalirudin 5 mg/ml
injetável Amphotericin B 0.6 mg/ml
Glucose 5% 1713
Compatível
injetável Bivalirudin 5 mg/ml
injetável Ampicillin sodium 20 mg/ml
Glucose 5% 1713
Compatível
injetável Bivalirudin 5 mg/ml
injetável Ampicillin sodium - sulbactam sodium 20/10 mg/ml
Glucose 5% 1713
Compatível
injetável Bivalirudin 5 mg/ml
injetável Atropine sulfate 0,4 mg/ml
Glucose 5% 1944
Compatível
injetável Bivalirudin 5 mg/ml
injetável Atropine sulfate 0,4 mg/ml
cloreto de sódio 0,9% 1944
Compatível
injetável Bivalirudin 5 mg/ml
injetável Azithromycine 2 mg/ml
Glucose 5% 1713
Compatível
injetável Bivalirudin 5 mg/ml
injetável Aztreonam 40 mg/ml
Glucose 5% 1713
Compatível
injetável Bivalirudin 5 mg/ml
injetável Bretylium tosilate 50 mg/ml
Glucose 5% 1713
Compatível
injetável Bivalirudin 5 mg/ml
injetável Bumetanide 0.04 mg/ml
Glucose 5% 1713
Compatível
injetável Bivalirudin 5 mg/ml
injetável Butorphanol tartrate 0.04 mg/ml
Glucose 5% 1713
Compatível
injetável Bivalirudin 5 mg/ml
injetável Calcium gluconate 40 mg/ml
Glucose 5% 1713
Compatível
injetável Bivalirudin 5 mg/ml
injetável Cefazolin sodium 20 mg/ml
Glucose 5% 1713
Compatível
injetável Bivalirudin 5 mg/ml
injetável Cefepime dihydrochloride 20 mg/ml
Glucose 5% 1713
Compatível
injetável Bivalirudin 5 mg/ml
injetável Cefoperazone sodium 40 mg/ml
Glucose 5% 1713
Compatível
injetável Bivalirudin 5 mg/ml
injetável Cefotaxime sodium 20 mg/ml
Glucose 5% 1713
Compatível
injetável Bivalirudin 5 mg/ml
injetável Ceftazidime 40 mg/ml
Glucose 5% 1713
Precipitação imediata Incompatível
injetável Bivalirudin
injetável Chlorpromazine hydrochloride
3539
Compatível
injetável Bivalirudin
Glucose 5% 3539
Compatível
injetável Bivalirudin 5 mg/ml
injetável Cefoxitin sodium 20 mg/ml
Glucose 5% 1713
Compatível
injetável Bivalirudin 5 mg/ml
injetável Ceftizoxime sodium 20 mg/ml
Glucose 5% 1713
Compatível
injetável Bivalirudin 5 mg/ml
injetável Ceftriaxone disodium 20 mg/ml
Glucose 5% 1713
Compatível
injetável Bivalirudin 5 mg/ml
injetável Cefuroxime sodium 30 mg/ml
Glucose 5% 1713
Precipitação imediata Incompatível
injetável Bivalirudin 5 mg/ml
injetável Chlorpromazine hydrochloride 2 mg/ml
Glucose 5% 1713
Compatível
injetável Bivalirudin 5 mg/ml
injetável Cimetidine hydrochloride 12 mg/ml
Glucose 5% 1713
Compatível
injetável Bivalirudin 5 mg/ml
injetável Ciprofloxacin lactate 2 mg/ml
Glucose 5% 1713
Compatível
injetável Bivalirudin 5 mg/ml
injetável Clindamycin phosphate 10 mg/ml
Glucose 5% 1713
Compatível
injetável Bivalirudin 5 mg/ml
injetável Co-trimoxazole 4/0.8 mg/ml
Glucose 5% 1713
Compatível
injetável Bivalirudin 5 mg/ml
injetável Dexamethasone sodium phosphate 1 mg/ml
Glucose 5% 1713
Precipitação imediata Incompatível
injetável Bivalirudin 5 mg/ml
injetável Diazepam 5 mg/ml
Glucose 5% 1713
Precipitação imediata Incompatível
injetável Bivalirudin
injetável Diazepam
3539
Compatível
injetável Bivalirudin 5 mg/ml
injetável Digoxin 250 µg/ml
Glucose 5% 1713
Compatível
injetável Bivalirudin 5 mg/ml
injetável Diltiazem hydrochloride 5 mg/ml
cloreto de sódio 0,9% 1944
Compatível
injetável Bivalirudin 5 mg/ml
injetável Diltiazem hydrochloride 5 mg/ml
Glucose 5% 1713
Compatível
injetável Bivalirudin 5 mg/ml
injetável Diltiazem hydrochloride 5 mg/ml
Glucose 5% 1944
Compatível
injetável Bivalirudin 5 mg/ml
injetável Diphenhydramine hydrochloride 2 mg/ml
Glucose 5% 1713
Compatível
injetável Bivalirudin 5 mg/ml
injetável Dobutamine hydrochloride 4 mg/ml
Glucose 5% 1713
Compatível
injetável Bivalirudin
injetável Dobutamine hydrochloride 4 mg/ml
3539
Precipitação imediata Incompatível
injetável Bivalirudin 5 mg/ml
injetável Dobutamine hydrochloride 12,5 mg/ml
Glucose 5% 1944
Incompatibilidade não especificada Incompatível
injetável Bivalirudin
injetável Dobutamine hydrochloride 12.5 mg/ml
3539
Precipitação imediata Incompatível
injetável Bivalirudin 5 mg/ml
injetável Dobutamine hydrochloride 12,5 mg/ml
cloreto de sódio 0,9% 1944
Compatível
injetável Bivalirudin 5 mg/ml
injetável Dopamine hydrochloride 80 mg/ml
cloreto de sódio 0,9% 1944
Compatível
injetável Bivalirudin 5 mg/ml
injetável Dopamine hydrochloride 80 mg/ml
Glucose 5% 1944
Compatível
injetável Bivalirudin 5 mg/ml
injetável Dopamine hydrochloride 3.2 mg/ml
Glucose 5% 1713
Compatível
injetável Bivalirudin 5 mg/ml
injetável Doxycycline hyclate 1 mg/ml
Glucose 5% 1713
Compatível
injetável Bivalirudin 5 mg/ml
injetável Droperidol 2.5 mg/ml
Glucose 5% 1713
Compatível
injetável Bivalirudin 5 mg/ml
injetável Enalaprilate 0.1 mg/ml
Glucose 5% 1713
Compatível
injetável Bivalirudin 5 mg/ml
injetável Ephedrine hydrochloride 5 mg/ml
Glucose 5% 1713
Compatível
injetável Bivalirudin 5 mg/ml
injetável Epinephrine hydrochloride 50 µg/ml
Glucose 5% 1713
Compatível
injetável Bivalirudin 5 mg/ml
injetável Eptifibatide 2 mg/ml
Glucose 5% 1713
Compatível
injetável Bivalirudin 5 mg/ml
injetável Erythromycin lactobionate 5 mg/ml
Glucose 5% 1713
Compatível
injetável Bivalirudin 5 mg/ml
injetável Esmolol hydrochloride 10 mg/ml
Glucose 5% 1713
Compatível
injetável Bivalirudin
injetável Famotidine 2 mg/ml
3539
Incompatibilidade não especificada Incompatível
injetável Bivalirudin
injetável Famotidine 10 mg/ml
3539
Compatível
injetável Bivalirudin 5 mg/ml
injetável Famotidine 2 mg/ml
Glucose 5% 1713
Compatível
injetável Bivalirudin 5 mg/ml
injetável Fentanyl citrate 50 µg/ml
cloreto de sódio 0,9% 1944
Compatível
injetável Bivalirudin 5 mg/ml
injetável Fentanyl citrate 50 µg/ml
Glucose 5% 1944
Compatível
injetável Bivalirudin 5 mg/ml
injetável Fentanyl citrate 50 µg/ml
Glucose 5% 1713
Compatível
injetável Bivalirudin 5 mg/ml
injetável Fluconazole 2 mg/ml
Glucose 5% 1713
Compatível
injetável Bivalirudin 5 mg/ml
injetável Furosemide 3 mg/ml
Glucose 5% 1713
Compatível
injetável Bivalirudin 5 mg/ml
injetável Gentamicin sulfate 5 mg/ml
Glucose 5% 1713
Compatível
injetável Bivalirudin
injetável Haloperidol lactate 0.2 mg/ml
3539
Compatível
injetável Bivalirudin 5 mg/ml
injetável Haloperidol lactate 0.2 mg/ml
Glucose 5% 1713
Incompatibilidade não especificada Incompatível
injetável Bivalirudin
injetável Haloperidol lactate 5 mg/ml
3539
Compatível
injetável Bivalirudin 5 mg/ml
injetável Heparin sodium 100 UI/ml
Glucose 5% 1713
Compatível
injetável Bivalirudin 5 mg/ml
injetável Hydrocortisone sodium succinate 50 mg/ml
cloreto de sódio 0,9% 1944
Compatível
injetável Bivalirudin 5 mg/ml
injetável Hydrocortisone sodium succinate 50 mg/ml
Glucose 5% 1944
Compatível
injetável Bivalirudin 5 mg/ml
injetável Hydrocortisone sodium succinate 1 mg/ml
Glucose 5% 1713
Compatível
injetável Bivalirudin 5 mg/ml
injetável Hydromorphone hydrochloride 0.5 mg/ml
Glucose 5% 1713
Compatível
injetável Bivalirudin 5 mg/ml
injetável Isoprenaline hydrochloride 0.02 mg/ml
Glucose 5% 1713
Incompatibilidade não especificada Incompatível
injetável Bivalirudin
injetável Labetalol hydrochloride 5 mg/ml
3539
Compatível
injetável Bivalirudin 5 mg/ml
injetável Labetalol hydrochloride 2 mg/ml
Glucose 5% 1713
Compatível
injetável Bivalirudin
injetável Labetalol hydrochloride 2 mg/ml
3539
Compatível
injetável Bivalirudin 5 mg/ml
injetável Levofloxacine 5 mg/ml
Glucose 5% 1713
Compatível
injetável Bivalirudin 5 mg/ml
injetável Lidocaine hydrochloride 10 mg/ml
Glucose 5% 1713
Incompatibilidade não especificada Incompatível
injetável Bivalirudin
injetável Lorazepam 2 mg/ml
3539
Compatível
injetável Bivalirudin
injetável Lorazepam 0.5 mg/ml
3539
Compatível
injetável Bivalirudin 5 mg/ml
injetável Lorazepam 0.5 mg/ml
Glucose 5% 1713
Compatível
injetável Bivalirudin 5 mg/ml
injetável Magnesium sulfate 100 mg/ml
Glucose 5% 1713
Compatível
injetável Bivalirudin 5 mg/ml
injetável Mannitol 150 mg/ml
Glucose 5% 1713
Compatível
injetável Bivalirudin 5 mg/ml
injetável Methylprednisolone sodium succinate 5 mg/ml
Glucose 5% 1713
Compatível
injetável Bivalirudin 5 mg/ml
injetável Metoclopramide hydrochloride 5 mg/ml
Glucose 5% 1713
Compatível
injetável Bivalirudin 5 mg/ml
injetável Metoprolol tartrate 1 mg/ml
cloreto de sódio 0,9% 1944
Compatível
injetável Bivalirudin 5 mg/ml
injetável Metoprolol tartrate 1 mg/ml
Glucose 5% 1944
Compatível
injetável Bivalirudin 5 mg/ml
injetável Metronidazole 5 mg/ml
Glucose 5% 1713
Compatível
injetável Bivalirudin 5 mg/ml
injetável Midazolam hydrochloride 2 mg/ml
Glucose 5% 1944
Compatível
injetável Bivalirudin 5 mg/ml
injetável Midazolam hydrochloride 1 mg/ml
Glucose 5% 1713
Compatível
injetável Bivalirudin 5 mg/ml
injetável Midazolam hydrochloride 2 mg/ml
cloreto de sódio 0,9% 1944
Compatível
injetável Bivalirudin 5 mg/ml
injetável Milrinone lactate 0.2 mg/ml
Glucose 5% 1713
Compatível
injetável Bivalirudin 5 mg/ml
injetável Morphine sulfate 10 mg/ml
cloreto de sódio 0,9% 1944
Compatível
injetável Bivalirudin 5 mg/ml
injetável Morphine sulfate 10 mg/ml
Glucose 5% 1944
Compatível
injetável Bivalirudin 5 mg/ml
injetável Morphine sulfate 1 mg/ml
Glucose 5% 1713
Compatível
injetável Bivalirudin 5 mg/ml
injetável Nalbuphine hydrochloride 10 mg/ml
Glucose 5% 1713
Compatível
injetável Bivalirudin 5 mg/ml
injetável Nitroprusside sodium 2 mg/ml
Glucose 5% 1713
Compatível
injetável Bivalirudin
cloreto de sódio 0,9% 3539
Compatível
injetável Bivalirudin 5 mg/ml
injetável Nitroglycerin 0.4 mg/ml
Glucose 5% 1713
Compatível
injetável Bivalirudin 5 mg/ml
injetável Norepinephrine bitartrate 0.12 mg/ml
Glucose 5% 1713
Compatível
injetável Bivalirudin 5 mg/ml
injetável Ofloxacin 4 mg/ml
Glucose 5% 1713
Compatível
injetável Bivalirudin 5 mg/ml
injetável Pethidine hydrochloride 10 mg/ml
Glucose 5% 1713
Compatível
injetável Bivalirudin 5 mg/ml
injetável Phenylephrine hydrochloride 10 mg/ml
Glucose 5% 1944
Compatível
injetável Bivalirudin 5 mg/ml
injetável Phenylephrine hydrochloride 1 mg/ml
Glucose 5% 1713
Compatível
injetável Bivalirudin 5 mg/ml
injetável Phenylephrine hydrochloride 10 mg/ml
cloreto de sódio 0,9% 1944
Compatível
injetável Bivalirudin 5 mg/ml
injetável Piperacillin sodium 40 mg/ml
Glucose 5% 1713
Compatível
injetável Bivalirudin 5 mg/ml
injetável Piperacillin sodium / tazobactam 40/5 mg/ml
Glucose 5% 1713
Compatível
injetável Bivalirudin 5 mg/ml
injetável Potassium chloride 100 mEq/l
Glucose 5% 1713
Compatível
injetável Bivalirudin 5 mg/ml
injetável Procainamide hydrochloride 10 mg/ml
Glucose 5% 1713
Precipitação imediata Incompatível
injetável Bivalirudin
injetável Prochlorperazine edysilate 25 mg/ml
3539
Precipitação imediata Incompatível
injetável Bivalirudin 5 mg/ml
injetável Prochlorperazine edysilate 0.5 mg/ml
Glucose 5% 1713
Compatível
injetável Bivalirudin
injetável Promethazine hydrochloride 2 mg/ml
3539
Incompatibilidade não especificada Incompatível
injetável Bivalirudin
injetável Promethazine hydrochloride 25 mg/ml
3539
Compatível
injetável Bivalirudin 5 mg/ml
injetável Promethazine hydrochloride 2 mg/ml
Glucose 5% 1713
Compatível
injetável Bivalirudin 5 mg/ml
injetável Ranitidine hydrochloride 2 mg/ml
Glucose 5% 1713
Precipitação imediata Incompatível
injetável Bivalirudin 5 mg/ml
injetável Reteplase 1 UI/ml
Glucose 5% 1713
Precipitação imediata Incompatível
injetável Bivalirudin
injetável Reteplase
3539
Compatível
injetável Bivalirudin 5 mg/ml
injetável Sodium bicarbonate 84 mg/ml
Glucose 5% 1713
Precipitação imediata Incompatível
injetável Bivalirudin 5 mg/ml
injetável Streptokinase 30000 UI/ml
Glucose 5% 1713
Precipitação imediata Incompatível
injetável Bivalirudin
injetável Streptokinase
3539
Compatível
injetável Bivalirudin 5 mg/ml
injetável Sufentanil citrate 0.05 mg/ml
Glucose 5% 1713
Compatível
injetável Bivalirudin 5 mg/ml
injetável Theophylline 4 mg/ml
Glucose 5% 1713
Compatível
injetável Bivalirudin 5 mg/ml
injetável Thiopental sodium 25 mg/ml
Glucose 5% 1713
Compatível
injetável Bivalirudin 5 mg/ml
injetável Ticarcillin / clavulanic acid 31 mg/ml
Glucose 5% 1713
Compatível
injetável Bivalirudin 5 mg/ml
injetável Tirofiban 50 µg/ml
Glucose 5% 1713
Compatível
injetável Bivalirudin 5 mg/ml
injetável Tobramycin sulfate 5 mg/ml
Glucose 5% 1713
Precipitação imediata Incompatível
injetável Bivalirudin 5 mg/ml
injetável Vancomycin hydrochloride 10 mg/ml
Glucose 5% 1713
Precipitação imediata Incompatível
injetável Bivalirudin
injetável Vancomycin hydrochloride
3539
Compatível
injetável Bivalirudin 5 mg/ml
injetável Verapamil hydrochloride 2,5 mg/ml
cloreto de sódio 0,9% 1944
Compatível
injetável Bivalirudin 5 mg/ml
injetável Verapamil hydrochloride 2,5 mg/ml
Glucose 5% 1944
Compatível
injetável Bivalirudin 5 mg/ml
injetável Verapamil hydrochloride 1.25 mg/ml
Glucose 5% 1713
Compatível
injetável Bivalirudin 5 mg/ml
injetável Warfarin sodium 2 mg/ml
Glucose 5% 1713

  Mentions Légales