Последнее обновление :
18/03/2026
Антикоагулянт   Bivalirudin  
Инъекция
Стабильность растворов Стабильность смесей Факторы, которые влияют на стабильность Совместимость Способы введения Библиография pdf
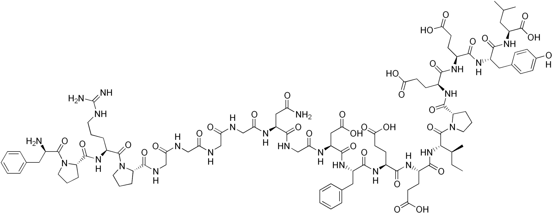
   Химическая структура  

Товарное название   Товарное название     

Trade names are indicative and excipients composition can be different depending on the country and manufacturers

Amuprux Аргентина
Angiomax Австралия, Венесуэла, Канада, новая Зеландия, Перу, Соединённые Штаты Америки, чили
Angiox Австрия, Великобритания, Венгрия, Голландия, Греция, Дания, Исландия, Испания, Италия, Норвегия, Польша, Румыния, Словения, Соединённые Штаты Америки, Финляндия
Bivalirudin Бельгия, Великобритания, Германия, Дания, Словения, Финляндия, Швеция
Bivalirudina Испания, Италия
Совместимость   Инъекция   Совместимость : Bivalirudin              
Эта таблица показывает совместимость или несовместимость препаратов, по возможности тип несовместимости (преципитат, смена цвета, разложение эмульсии и др.). Показанные здесь совместимости в основном физические, по возможности указана и химическая стабильность каждой молекулы. Анализ этих смесей произведён для исследования возможности ввести препараты пациенту в Y-соединении систем. Эти данные нельзя использовать, чтобы приготовить лекарства на будущее в мешках или шприцах. Эта информация доступна в разделе "Стабильность смесей".
Молекула Растворитель Ссылки
совместимый
Инъекция Bivalirudin 5 mg/ml
Инъекция Alfentanil hydrochloride 125 µg/ml
Глюкоза 5% 1713
Немедленные осадки несовместимый
Инъекция Bivalirudin 5 mg/ml
Инъекция Alteplase 1 mg/ml
Глюкоза 5% 1713
Немедленные осадки несовместимый
Инъекция Bivalirudin
Инъекция Alteplase
3539
совместимый
Инъекция Bivalirudin 5 mg/ml
Инъекция Amikacin sulfate 5 mg/ml
Глюкоза 5% 1713
совместимый
Инъекция Bivalirudin 5 mg/ml
Инъекция Aminophylline 2.5 mg/ml
Глюкоза 5% 1713
Немедленные осадки несовместимый
Инъекция Bivalirudin
Инъекция Amiodarone hydrochloride
3539
Немедленная мутность несовместимый
Инъекция Bivalirudin 5 mg/ml
Инъекция Amiodarone hydrochloride 4 mg/ml
Глюкоза 5% 1713
Немедленные осадки несовместимый
Инъекция Bivalirudin
Инъекция Amphotericin B
3539
Немедленные осадки несовместимый
Инъекция Bivalirudin 5 mg/ml
Инъекция Amphotericin B 0.6 mg/ml
Глюкоза 5% 1713
совместимый
Инъекция Bivalirudin 5 mg/ml
Инъекция Ampicillin sodium 20 mg/ml
Глюкоза 5% 1713
совместимый
Инъекция Bivalirudin 5 mg/ml
Инъекция Ampicillin sodium - sulbactam sodium 20/10 mg/ml
Глюкоза 5% 1713
совместимый
Инъекция Bivalirudin 5 mg/ml
Инъекция Atropine sulfate 0,4 mg/ml
Глюкоза 5% 1944
совместимый
Инъекция Bivalirudin 5 mg/ml
Инъекция Atropine sulfate 0,4 mg/ml
Натрия хлорид 0,9% 1944
совместимый
Инъекция Bivalirudin 5 mg/ml
Инъекция Azithromycine 2 mg/ml
Глюкоза 5% 1713
совместимый
Инъекция Bivalirudin 5 mg/ml
Инъекция Aztreonam 40 mg/ml
Глюкоза 5% 1713
совместимый
Инъекция Bivalirudin 5 mg/ml
Инъекция Bretylium tosilate 50 mg/ml
Глюкоза 5% 1713
совместимый
Инъекция Bivalirudin 5 mg/ml
Инъекция Bumetanide 0.04 mg/ml
Глюкоза 5% 1713
совместимый
Инъекция Bivalirudin 5 mg/ml
Инъекция Butorphanol tartrate 0.04 mg/ml
Глюкоза 5% 1713
совместимый
Инъекция Bivalirudin 5 mg/ml
Инъекция Calcium gluconate 40 mg/ml
Глюкоза 5% 1713
совместимый
Инъекция Bivalirudin 5 mg/ml
Инъекция Cefazolin sodium 20 mg/ml
Глюкоза 5% 1713
совместимый
Инъекция Bivalirudin 5 mg/ml
Инъекция Cefepime dihydrochloride 20 mg/ml
Глюкоза 5% 1713
совместимый
Инъекция Bivalirudin 5 mg/ml
Инъекция Cefoperazone sodium 40 mg/ml
Глюкоза 5% 1713
совместимый
Инъекция Bivalirudin 5 mg/ml
Инъекция Cefotaxime sodium 20 mg/ml
Глюкоза 5% 1713
совместимый
Инъекция Bivalirudin 5 mg/ml
Инъекция Ceftazidime 40 mg/ml
Глюкоза 5% 1713
Немедленные осадки несовместимый
Инъекция Bivalirudin
Инъекция Chlorpromazine hydrochloride
3539
совместимый
Инъекция Bivalirudin
Глюкоза 5% 3539
совместимый
Инъекция Bivalirudin 5 mg/ml
Инъекция Cefoxitin sodium 20 mg/ml
Глюкоза 5% 1713
совместимый
Инъекция Bivalirudin 5 mg/ml
Инъекция Ceftizoxime sodium 20 mg/ml
Глюкоза 5% 1713
совместимый
Инъекция Bivalirudin 5 mg/ml
Инъекция Ceftriaxone disodium 20 mg/ml
Глюкоза 5% 1713
совместимый
Инъекция Bivalirudin 5 mg/ml
Инъекция Cefuroxime sodium 30 mg/ml
Глюкоза 5% 1713
Немедленные осадки несовместимый
Инъекция Bivalirudin 5 mg/ml
Инъекция Chlorpromazine hydrochloride 2 mg/ml
Глюкоза 5% 1713
совместимый
Инъекция Bivalirudin 5 mg/ml
Инъекция Cimetidine hydrochloride 12 mg/ml
Глюкоза 5% 1713
совместимый
Инъекция Bivalirudin 5 mg/ml
Инъекция Ciprofloxacin lactate 2 mg/ml
Глюкоза 5% 1713
совместимый
Инъекция Bivalirudin 5 mg/ml
Инъекция Clindamycin phosphate 10 mg/ml
Глюкоза 5% 1713
совместимый
Инъекция Bivalirudin 5 mg/ml
Инъекция Co-trimoxazole 4/0.8 mg/ml
Глюкоза 5% 1713
совместимый
Инъекция Bivalirudin 5 mg/ml
Инъекция Dexamethasone sodium phosphate 1 mg/ml
Глюкоза 5% 1713
Немедленные осадки несовместимый
Инъекция Bivalirudin 5 mg/ml
Инъекция Diazepam 5 mg/ml
Глюкоза 5% 1713
Немедленные осадки несовместимый
Инъекция Bivalirudin
Инъекция Diazepam
3539
совместимый
Инъекция Bivalirudin 5 mg/ml
Инъекция Digoxin 250 µg/ml
Глюкоза 5% 1713
совместимый
Инъекция Bivalirudin 5 mg/ml
Инъекция Diltiazem hydrochloride 5 mg/ml
Натрия хлорид 0,9% 1944
совместимый
Инъекция Bivalirudin 5 mg/ml
Инъекция Diltiazem hydrochloride 5 mg/ml
Глюкоза 5% 1713
совместимый
Инъекция Bivalirudin 5 mg/ml
Инъекция Diltiazem hydrochloride 5 mg/ml
Глюкоза 5% 1944
совместимый
Инъекция Bivalirudin 5 mg/ml
Инъекция Diphenhydramine hydrochloride 2 mg/ml
Глюкоза 5% 1713
совместимый
Инъекция Bivalirudin 5 mg/ml
Инъекция Dobutamine hydrochloride 4 mg/ml
Глюкоза 5% 1713
совместимый
Инъекция Bivalirudin
Инъекция Dobutamine hydrochloride 4 mg/ml
3539
Немедленные осадки несовместимый
Инъекция Bivalirudin 5 mg/ml
Инъекция Dobutamine hydrochloride 12,5 mg/ml
Глюкоза 5% 1944
Неопределенная несовместимость несовместимый
Инъекция Bivalirudin
Инъекция Dobutamine hydrochloride 12.5 mg/ml
3539
Немедленные осадки несовместимый
Инъекция Bivalirudin 5 mg/ml
Инъекция Dobutamine hydrochloride 12,5 mg/ml
Натрия хлорид 0,9% 1944
совместимый
Инъекция Bivalirudin 5 mg/ml
Инъекция Dopamine hydrochloride 80 mg/ml
Натрия хлорид 0,9% 1944
совместимый
Инъекция Bivalirudin 5 mg/ml
Инъекция Dopamine hydrochloride 80 mg/ml
Глюкоза 5% 1944
совместимый
Инъекция Bivalirudin 5 mg/ml
Инъекция Dopamine hydrochloride 3.2 mg/ml
Глюкоза 5% 1713
совместимый
Инъекция Bivalirudin 5 mg/ml
Инъекция Doxycycline hyclate 1 mg/ml
Глюкоза 5% 1713
совместимый
Инъекция Bivalirudin 5 mg/ml
Инъекция Droperidol 2.5 mg/ml
Глюкоза 5% 1713
совместимый
Инъекция Bivalirudin 5 mg/ml
Инъекция Enalaprilate 0.1 mg/ml
Глюкоза 5% 1713
совместимый
Инъекция Bivalirudin 5 mg/ml
Инъекция Ephedrine hydrochloride 5 mg/ml
Глюкоза 5% 1713
совместимый
Инъекция Bivalirudin 5 mg/ml
Инъекция Epinephrine hydrochloride 50 µg/ml
Глюкоза 5% 1713
совместимый
Инъекция Bivalirudin 5 mg/ml
Инъекция Eptifibatide 2 mg/ml
Глюкоза 5% 1713
совместимый
Инъекция Bivalirudin 5 mg/ml
Инъекция Erythromycin lactobionate 5 mg/ml
Глюкоза 5% 1713
совместимый
Инъекция Bivalirudin 5 mg/ml
Инъекция Esmolol hydrochloride 10 mg/ml
Глюкоза 5% 1713
совместимый
Инъекция Bivalirudin
Инъекция Famotidine 2 mg/ml
3539
Неопределенная несовместимость несовместимый
Инъекция Bivalirudin
Инъекция Famotidine 10 mg/ml
3539
совместимый
Инъекция Bivalirudin 5 mg/ml
Инъекция Famotidine 2 mg/ml
Глюкоза 5% 1713
совместимый
Инъекция Bivalirudin 5 mg/ml
Инъекция Fentanyl citrate 50 µg/ml
Натрия хлорид 0,9% 1944
совместимый
Инъекция Bivalirudin 5 mg/ml
Инъекция Fentanyl citrate 50 µg/ml
Глюкоза 5% 1944
совместимый
Инъекция Bivalirudin 5 mg/ml
Инъекция Fentanyl citrate 50 µg/ml
Глюкоза 5% 1713
совместимый
Инъекция Bivalirudin 5 mg/ml
Инъекция Fluconazole 2 mg/ml
Глюкоза 5% 1713
совместимый
Инъекция Bivalirudin 5 mg/ml
Инъекция Furosemide 3 mg/ml
Глюкоза 5% 1713
совместимый
Инъекция Bivalirudin 5 mg/ml
Инъекция Gentamicin sulfate 5 mg/ml
Глюкоза 5% 1713
совместимый
Инъекция Bivalirudin
Инъекция Haloperidol lactate 0.2 mg/ml
3539
совместимый
Инъекция Bivalirudin 5 mg/ml
Инъекция Haloperidol lactate 0.2 mg/ml
Глюкоза 5% 1713
Неопределенная несовместимость несовместимый
Инъекция Bivalirudin
Инъекция Haloperidol lactate 5 mg/ml
3539
совместимый
Инъекция Bivalirudin 5 mg/ml
Инъекция Heparin sodium 100 UI/ml
Глюкоза 5% 1713
совместимый
Инъекция Bivalirudin 5 mg/ml
Инъекция Hydrocortisone sodium succinate 50 mg/ml
Натрия хлорид 0,9% 1944
совместимый
Инъекция Bivalirudin 5 mg/ml
Инъекция Hydrocortisone sodium succinate 50 mg/ml
Глюкоза 5% 1944
совместимый
Инъекция Bivalirudin 5 mg/ml
Инъекция Hydrocortisone sodium succinate 1 mg/ml
Глюкоза 5% 1713
совместимый
Инъекция Bivalirudin 5 mg/ml
Инъекция Hydromorphone hydrochloride 0.5 mg/ml
Глюкоза 5% 1713
совместимый
Инъекция Bivalirudin 5 mg/ml
Инъекция Isoprenaline hydrochloride 0.02 mg/ml
Глюкоза 5% 1713
Неопределенная несовместимость несовместимый
Инъекция Bivalirudin
Инъекция Labetalol hydrochloride 5 mg/ml
3539
совместимый
Инъекция Bivalirudin 5 mg/ml
Инъекция Labetalol hydrochloride 2 mg/ml
Глюкоза 5% 1713
совместимый
Инъекция Bivalirudin
Инъекция Labetalol hydrochloride 2 mg/ml
3539
совместимый
Инъекция Bivalirudin 5 mg/ml
Инъекция Levofloxacine 5 mg/ml
Глюкоза 5% 1713
совместимый
Инъекция Bivalirudin 5 mg/ml
Инъекция Lidocaine hydrochloride 10 mg/ml
Глюкоза 5% 1713
Неопределенная несовместимость несовместимый
Инъекция Bivalirudin
Инъекция Lorazepam 2 mg/ml
3539
совместимый
Инъекция Bivalirudin
Инъекция Lorazepam 0.5 mg/ml
3539
совместимый
Инъекция Bivalirudin 5 mg/ml
Инъекция Lorazepam 0.5 mg/ml
Глюкоза 5% 1713
совместимый
Инъекция Bivalirudin 5 mg/ml
Инъекция Magnesium sulfate 100 mg/ml
Глюкоза 5% 1713
совместимый
Инъекция Bivalirudin 5 mg/ml
Инъекция Mannitol 150 mg/ml
Глюкоза 5% 1713
совместимый
Инъекция Bivalirudin 5 mg/ml
Инъекция Methylprednisolone sodium succinate 5 mg/ml
Глюкоза 5% 1713
совместимый
Инъекция Bivalirudin 5 mg/ml
Инъекция Metoclopramide hydrochloride 5 mg/ml
Глюкоза 5% 1713
совместимый
Инъекция Bivalirudin 5 mg/ml
Инъекция Metoprolol tartrate 1 mg/ml
Натрия хлорид 0,9% 1944
совместимый
Инъекция Bivalirudin 5 mg/ml
Инъекция Metoprolol tartrate 1 mg/ml
Глюкоза 5% 1944
совместимый
Инъекция Bivalirudin 5 mg/ml
Инъекция Metronidazole 5 mg/ml
Глюкоза 5% 1713
совместимый
Инъекция Bivalirudin 5 mg/ml
Инъекция Midazolam hydrochloride 2 mg/ml
Глюкоза 5% 1944
совместимый
Инъекция Bivalirudin 5 mg/ml
Инъекция Midazolam hydrochloride 1 mg/ml
Глюкоза 5% 1713
совместимый
Инъекция Bivalirudin 5 mg/ml
Инъекция Midazolam hydrochloride 2 mg/ml
Натрия хлорид 0,9% 1944
совместимый
Инъекция Bivalirudin 5 mg/ml
Инъекция Milrinone lactate 0.2 mg/ml
Глюкоза 5% 1713
совместимый
Инъекция Bivalirudin 5 mg/ml
Инъекция Morphine sulfate 10 mg/ml
Натрия хлорид 0,9% 1944
совместимый
Инъекция Bivalirudin 5 mg/ml
Инъекция Morphine sulfate 10 mg/ml
Глюкоза 5% 1944
совместимый
Инъекция Bivalirudin 5 mg/ml
Инъекция Morphine sulfate 1 mg/ml
Глюкоза 5% 1713
совместимый
Инъекция Bivalirudin 5 mg/ml
Инъекция Nalbuphine hydrochloride 10 mg/ml
Глюкоза 5% 1713
совместимый
Инъекция Bivalirudin 5 mg/ml
Инъекция Nitroprusside sodium 2 mg/ml
Глюкоза 5% 1713
совместимый
Инъекция Bivalirudin
Натрия хлорид 0,9% 3539
совместимый
Инъекция Bivalirudin 5 mg/ml
Инъекция Nitroglycerin 0.4 mg/ml
Глюкоза 5% 1713
совместимый
Инъекция Bivalirudin 5 mg/ml
Инъекция Norepinephrine bitartrate 0.12 mg/ml
Глюкоза 5% 1713
совместимый
Инъекция Bivalirudin 5 mg/ml
Инъекция Ofloxacin 4 mg/ml
Глюкоза 5% 1713
совместимый
Инъекция Bivalirudin 5 mg/ml
Инъекция Pethidine hydrochloride 10 mg/ml
Глюкоза 5% 1713
совместимый
Инъекция Bivalirudin 5 mg/ml
Инъекция Phenylephrine hydrochloride 10 mg/ml
Глюкоза 5% 1944
совместимый
Инъекция Bivalirudin 5 mg/ml
Инъекция Phenylephrine hydrochloride 1 mg/ml
Глюкоза 5% 1713
совместимый
Инъекция Bivalirudin 5 mg/ml
Инъекция Phenylephrine hydrochloride 10 mg/ml
Натрия хлорид 0,9% 1944
совместимый
Инъекция Bivalirudin 5 mg/ml
Инъекция Piperacillin sodium 40 mg/ml
Глюкоза 5% 1713
совместимый
Инъекция Bivalirudin 5 mg/ml
Инъекция Piperacillin sodium / tazobactam 40/5 mg/ml
Глюкоза 5% 1713
совместимый
Инъекция Bivalirudin 5 mg/ml
Инъекция Potassium chloride 100 mEq/l
Глюкоза 5% 1713
совместимый
Инъекция Bivalirudin 5 mg/ml
Инъекция Procainamide hydrochloride 10 mg/ml
Глюкоза 5% 1713
Немедленные осадки несовместимый
Инъекция Bivalirudin
Инъекция Prochlorperazine edysilate 25 mg/ml
3539
Немедленные осадки несовместимый
Инъекция Bivalirudin 5 mg/ml
Инъекция Prochlorperazine edysilate 0.5 mg/ml
Глюкоза 5% 1713
совместимый
Инъекция Bivalirudin
Инъекция Promethazine hydrochloride 2 mg/ml
3539
Неопределенная несовместимость несовместимый
Инъекция Bivalirudin
Инъекция Promethazine hydrochloride 25 mg/ml
3539
совместимый
Инъекция Bivalirudin 5 mg/ml
Инъекция Promethazine hydrochloride 2 mg/ml
Глюкоза 5% 1713
совместимый
Инъекция Bivalirudin 5 mg/ml
Инъекция Ranitidine hydrochloride 2 mg/ml
Глюкоза 5% 1713
Немедленные осадки несовместимый
Инъекция Bivalirudin 5 mg/ml
Инъекция Reteplase 1 UI/ml
Глюкоза 5% 1713
Немедленные осадки несовместимый
Инъекция Bivalirudin
Инъекция Reteplase
3539
совместимый
Инъекция Bivalirudin 5 mg/ml
Инъекция Sodium bicarbonate 84 mg/ml
Глюкоза 5% 1713
Немедленные осадки несовместимый
Инъекция Bivalirudin 5 mg/ml
Инъекция Streptokinase 30000 UI/ml
Глюкоза 5% 1713
Немедленные осадки несовместимый
Инъекция Bivalirudin
Инъекция Streptokinase
3539
совместимый
Инъекция Bivalirudin 5 mg/ml
Инъекция Sufentanil citrate 0.05 mg/ml
Глюкоза 5% 1713
совместимый
Инъекция Bivalirudin 5 mg/ml
Инъекция Theophylline 4 mg/ml
Глюкоза 5% 1713
совместимый
Инъекция Bivalirudin 5 mg/ml
Инъекция Thiopental sodium 25 mg/ml
Глюкоза 5% 1713
совместимый
Инъекция Bivalirudin 5 mg/ml
Инъекция Ticarcillin / clavulanic acid 31 mg/ml
Глюкоза 5% 1713
совместимый
Инъекция Bivalirudin 5 mg/ml
Инъекция Tirofiban 50 µg/ml
Глюкоза 5% 1713
совместимый
Инъекция Bivalirudin 5 mg/ml
Инъекция Tobramycin sulfate 5 mg/ml
Глюкоза 5% 1713
Немедленные осадки несовместимый
Инъекция Bivalirudin 5 mg/ml
Инъекция Vancomycin hydrochloride 10 mg/ml
Глюкоза 5% 1713
Немедленные осадки несовместимый
Инъекция Bivalirudin
Инъекция Vancomycin hydrochloride
3539
совместимый
Инъекция Bivalirudin 5 mg/ml
Инъекция Verapamil hydrochloride 2,5 mg/ml
Натрия хлорид 0,9% 1944
совместимый
Инъекция Bivalirudin 5 mg/ml
Инъекция Verapamil hydrochloride 2,5 mg/ml
Глюкоза 5% 1944
совместимый
Инъекция Bivalirudin 5 mg/ml
Инъекция Verapamil hydrochloride 1.25 mg/ml
Глюкоза 5% 1713
совместимый
Инъекция Bivalirudin 5 mg/ml
Инъекция Warfarin sodium 2 mg/ml
Глюкоза 5% 1713

  Mentions Légales