آخر تحديث :
18/03/2026
  مضاد للتخثر   Bivalirudin  
حقن
الاستقرار في حلول استقرار مخاليط العوامل التي تؤثر على الاستقرار التوافق طريقة التعاطي مراجع pdf
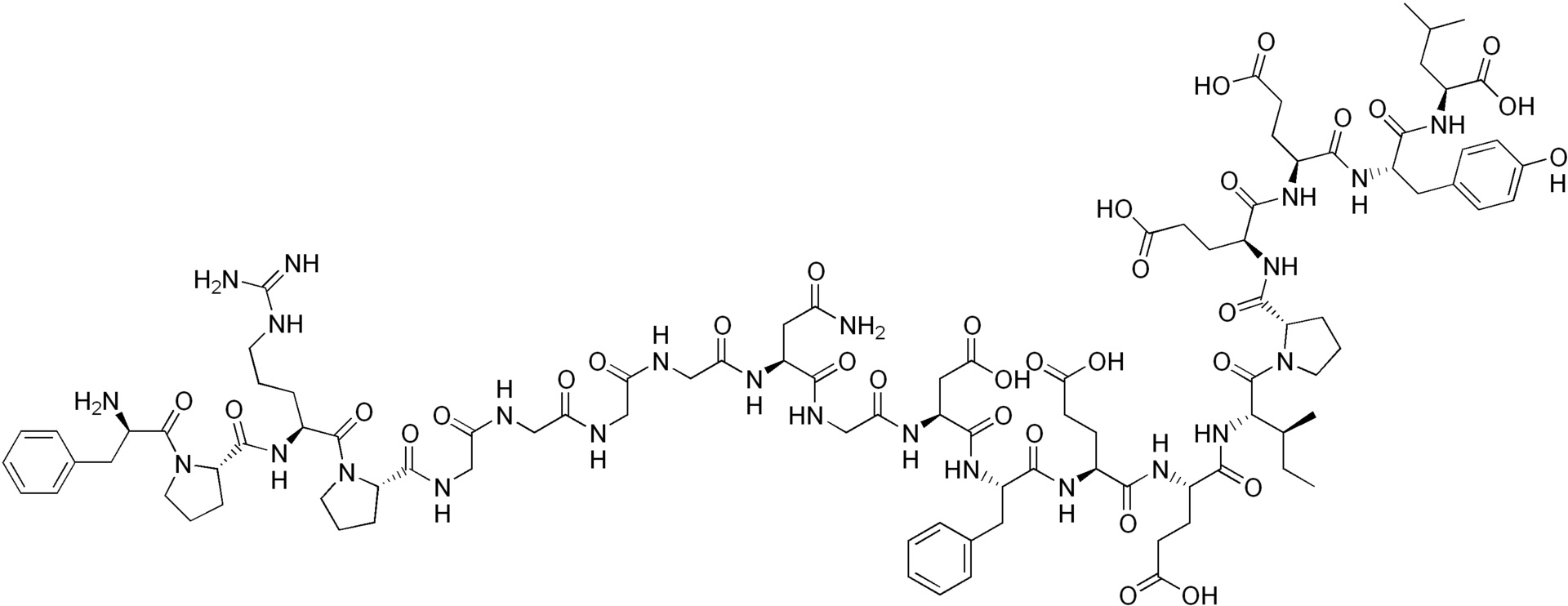
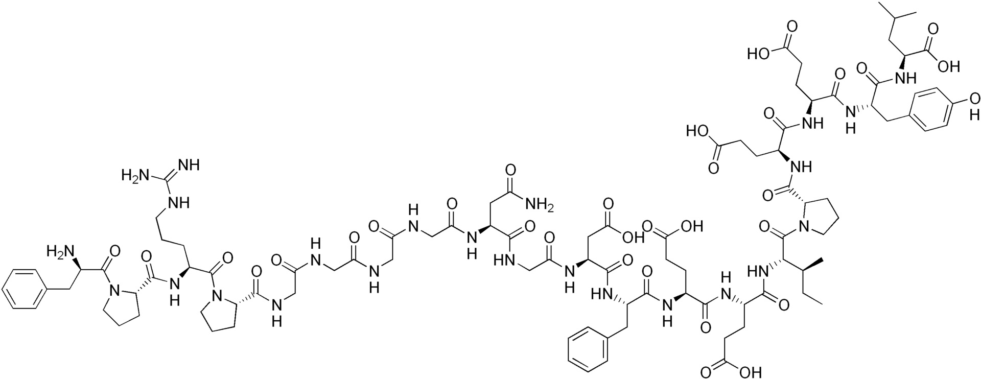
   التركيب الكيميائي  

حجز الاسم التجاري   حجز الاسم التجاري     

تحذير الأسماء التجاريه المختلفه قد تحتوي علي محتوي إضافات مختلفة حسب الدوله و المعمل

Amuprux الأرجنتين
Angiomax أستراليا, الولايات المتحدة, بيرو, تشيلي, زيلاندا الجديدة, فنزويلا, كندا
Angiox أيسلندا, إسبانيا, إيطاليا, الدنمارك, النرويج, النمسا, الولايات المتحدة, بريطانيا العظمي, بولندا, رومانيا, سلوفينيا, فنلندا, هنغاريا, هولندا, يونان
Bivalirudin ألمانيا, الدنمارك, السويد, بريطانيا العظمي, بلجيكا, سلوفينيا, فنلندا
Bivalirudina إسبانيا, إيطاليا
التوافق   حقن   التوافق : Bivalirudin              
This screen indicates the compatibilities or incompatibilities with, in this case, the type of incompatibility (precipitation, color change, modification of an emulsion, etc.). The compatibilities shown here are mostly physical only, with the chemical stability of each molecule rarely being assessed. The evaluation of these mixtures was studied to consider the possibility of Y-site administration to the patient. These data cannot be used for making mixtures in advance in bags or syringes. This type of information is available in the screen "Stability in mixture ».
مركب مذيب مراجع
kompatibel
حقن Bivalirudin 5 mg/ml
حقن Alfentanil hydrochloride 125 µg/ml
الجلوكوز %5 1713
هطول فوري غير متوافق
حقن Bivalirudin 5 mg/ml
حقن Alteplase 1 mg/ml
الجلوكوز %5 1713
هطول فوري غير متوافق
حقن Bivalirudin
حقن Alteplase
3539
kompatibel
حقن Bivalirudin 5 mg/ml
حقن Amikacin sulfate 5 mg/ml
الجلوكوز %5 1713
kompatibel
حقن Bivalirudin 5 mg/ml
حقن Aminophylline 2.5 mg/ml
الجلوكوز %5 1713
هطول فوري غير متوافق
حقن Bivalirudin
حقن Amiodarone hydrochloride
3539
التعكر الفوري غير متوافق
حقن Bivalirudin 5 mg/ml
حقن Amiodarone hydrochloride 4 mg/ml
الجلوكوز %5 1713
هطول فوري غير متوافق
حقن Bivalirudin
حقن Amphotericin B
3539
هطول فوري غير متوافق
حقن Bivalirudin 5 mg/ml
حقن Amphotericin B 0.6 mg/ml
الجلوكوز %5 1713
kompatibel
حقن Bivalirudin 5 mg/ml
حقن Ampicillin sodium 20 mg/ml
الجلوكوز %5 1713
kompatibel
حقن Bivalirudin 5 mg/ml
حقن Ampicillin sodium - sulbactam sodium 20/10 mg/ml
الجلوكوز %5 1713
kompatibel
حقن Bivalirudin 5 mg/ml
حقن Atropine sulfate 0,4 mg/ml
الجلوكوز %5 1944
kompatibel
حقن Bivalirudin 5 mg/ml
حقن Atropine sulfate 0,4 mg/ml
كلوريد الصوديوم 0.9% 1944
kompatibel
حقن Bivalirudin 5 mg/ml
حقن Azithromycine 2 mg/ml
الجلوكوز %5 1713
kompatibel
حقن Bivalirudin 5 mg/ml
حقن Aztreonam 40 mg/ml
الجلوكوز %5 1713
kompatibel
حقن Bivalirudin 5 mg/ml
حقن Bretylium tosilate 50 mg/ml
الجلوكوز %5 1713
kompatibel
حقن Bivalirudin 5 mg/ml
حقن Bumetanide 0.04 mg/ml
الجلوكوز %5 1713
kompatibel
حقن Bivalirudin 5 mg/ml
حقن Butorphanol tartrate 0.04 mg/ml
الجلوكوز %5 1713
kompatibel
حقن Bivalirudin 5 mg/ml
حقن Calcium gluconate 40 mg/ml
الجلوكوز %5 1713
kompatibel
حقن Bivalirudin 5 mg/ml
حقن Cefazolin sodium 20 mg/ml
الجلوكوز %5 1713
kompatibel
حقن Bivalirudin 5 mg/ml
حقن Cefepime dihydrochloride 20 mg/ml
الجلوكوز %5 1713
kompatibel
حقن Bivalirudin 5 mg/ml
حقن Cefoperazone sodium 40 mg/ml
الجلوكوز %5 1713
kompatibel
حقن Bivalirudin 5 mg/ml
حقن Cefotaxime sodium 20 mg/ml
الجلوكوز %5 1713
kompatibel
حقن Bivalirudin 5 mg/ml
حقن Ceftazidime 40 mg/ml
الجلوكوز %5 1713
هطول فوري غير متوافق
حقن Bivalirudin
حقن Chlorpromazine hydrochloride
3539
kompatibel
حقن Bivalirudin
الجلوكوز %5 3539
kompatibel
حقن Bivalirudin 5 mg/ml
حقن Cefoxitin sodium 20 mg/ml
الجلوكوز %5 1713
kompatibel
حقن Bivalirudin 5 mg/ml
حقن Ceftizoxime sodium 20 mg/ml
الجلوكوز %5 1713
kompatibel
حقن Bivalirudin 5 mg/ml
حقن Ceftriaxone disodium 20 mg/ml
الجلوكوز %5 1713
kompatibel
حقن Bivalirudin 5 mg/ml
حقن Cefuroxime sodium 30 mg/ml
الجلوكوز %5 1713
هطول فوري غير متوافق
حقن Bivalirudin 5 mg/ml
حقن Chlorpromazine hydrochloride 2 mg/ml
الجلوكوز %5 1713
kompatibel
حقن Bivalirudin 5 mg/ml
حقن Cimetidine hydrochloride 12 mg/ml
الجلوكوز %5 1713
kompatibel
حقن Bivalirudin 5 mg/ml
حقن Ciprofloxacin lactate 2 mg/ml
الجلوكوز %5 1713
kompatibel
حقن Bivalirudin 5 mg/ml
حقن Clindamycin phosphate 10 mg/ml
الجلوكوز %5 1713
kompatibel
حقن Bivalirudin 5 mg/ml
حقن Co-trimoxazole 4/0.8 mg/ml
الجلوكوز %5 1713
kompatibel
حقن Bivalirudin 5 mg/ml
حقن Dexamethasone sodium phosphate 1 mg/ml
الجلوكوز %5 1713
هطول فوري غير متوافق
حقن Bivalirudin 5 mg/ml
حقن Diazepam 5 mg/ml
الجلوكوز %5 1713
هطول فوري غير متوافق
حقن Bivalirudin
حقن Diazepam
3539
kompatibel
حقن Bivalirudin 5 mg/ml
حقن Digoxin 250 µg/ml
الجلوكوز %5 1713
kompatibel
حقن Bivalirudin 5 mg/ml
حقن Diltiazem hydrochloride 5 mg/ml
كلوريد الصوديوم 0.9% 1944
kompatibel
حقن Bivalirudin 5 mg/ml
حقن Diltiazem hydrochloride 5 mg/ml
الجلوكوز %5 1713
kompatibel
حقن Bivalirudin 5 mg/ml
حقن Diltiazem hydrochloride 5 mg/ml
الجلوكوز %5 1944
kompatibel
حقن Bivalirudin 5 mg/ml
حقن Diphenhydramine hydrochloride 2 mg/ml
الجلوكوز %5 1713
kompatibel
حقن Bivalirudin 5 mg/ml
حقن Dobutamine hydrochloride 4 mg/ml
الجلوكوز %5 1713
kompatibel
حقن Bivalirudin
حقن Dobutamine hydrochloride 4 mg/ml
3539
هطول فوري غير متوافق
حقن Bivalirudin 5 mg/ml
حقن Dobutamine hydrochloride 12,5 mg/ml
الجلوكوز %5 1944
عدم توافق غير محدد غير متوافق
حقن Bivalirudin
حقن Dobutamine hydrochloride 12.5 mg/ml
3539
هطول فوري غير متوافق
حقن Bivalirudin 5 mg/ml
حقن Dobutamine hydrochloride 12,5 mg/ml
كلوريد الصوديوم 0.9% 1944
kompatibel
حقن Bivalirudin 5 mg/ml
حقن Dopamine hydrochloride 80 mg/ml
كلوريد الصوديوم 0.9% 1944
kompatibel
حقن Bivalirudin 5 mg/ml
حقن Dopamine hydrochloride 80 mg/ml
الجلوكوز %5 1944
kompatibel
حقن Bivalirudin 5 mg/ml
حقن Dopamine hydrochloride 3.2 mg/ml
الجلوكوز %5 1713
kompatibel
حقن Bivalirudin 5 mg/ml
حقن Doxycycline hyclate 1 mg/ml
الجلوكوز %5 1713
kompatibel
حقن Bivalirudin 5 mg/ml
حقن Droperidol 2.5 mg/ml
الجلوكوز %5 1713
kompatibel
حقن Bivalirudin 5 mg/ml
حقن Enalaprilate 0.1 mg/ml
الجلوكوز %5 1713
kompatibel
حقن Bivalirudin 5 mg/ml
حقن Ephedrine hydrochloride 5 mg/ml
الجلوكوز %5 1713
kompatibel
حقن Bivalirudin 5 mg/ml
حقن Epinephrine hydrochloride 50 µg/ml
الجلوكوز %5 1713
kompatibel
حقن Bivalirudin 5 mg/ml
حقن Eptifibatide 2 mg/ml
الجلوكوز %5 1713
kompatibel
حقن Bivalirudin 5 mg/ml
حقن Erythromycin lactobionate 5 mg/ml
الجلوكوز %5 1713
kompatibel
حقن Bivalirudin 5 mg/ml
حقن Esmolol hydrochloride 10 mg/ml
الجلوكوز %5 1713
kompatibel
حقن Bivalirudin
حقن Famotidine 2 mg/ml
3539
عدم توافق غير محدد غير متوافق
حقن Bivalirudin
حقن Famotidine 10 mg/ml
3539
kompatibel
حقن Bivalirudin 5 mg/ml
حقن Famotidine 2 mg/ml
الجلوكوز %5 1713
kompatibel
حقن Bivalirudin 5 mg/ml
حقن Fentanyl citrate 50 µg/ml
كلوريد الصوديوم 0.9% 1944
kompatibel
حقن Bivalirudin 5 mg/ml
حقن Fentanyl citrate 50 µg/ml
الجلوكوز %5 1944
kompatibel
حقن Bivalirudin 5 mg/ml
حقن Fentanyl citrate 50 µg/ml
الجلوكوز %5 1713
kompatibel
حقن Bivalirudin 5 mg/ml
حقن Fluconazole 2 mg/ml
الجلوكوز %5 1713
kompatibel
حقن Bivalirudin 5 mg/ml
حقن Furosemide 3 mg/ml
الجلوكوز %5 1713
kompatibel
حقن Bivalirudin 5 mg/ml
حقن Gentamicin sulfate 5 mg/ml
الجلوكوز %5 1713
kompatibel
حقن Bivalirudin
حقن Haloperidol lactate 0.2 mg/ml
3539
kompatibel
حقن Bivalirudin 5 mg/ml
حقن Haloperidol lactate 0.2 mg/ml
الجلوكوز %5 1713
عدم توافق غير محدد غير متوافق
حقن Bivalirudin
حقن Haloperidol lactate 5 mg/ml
3539
kompatibel
حقن Bivalirudin 5 mg/ml
حقن Heparin sodium 100 UI/ml
الجلوكوز %5 1713
kompatibel
حقن Bivalirudin 5 mg/ml
حقن Hydrocortisone sodium succinate 50 mg/ml
كلوريد الصوديوم 0.9% 1944
kompatibel
حقن Bivalirudin 5 mg/ml
حقن Hydrocortisone sodium succinate 50 mg/ml
الجلوكوز %5 1944
kompatibel
حقن Bivalirudin 5 mg/ml
حقن Hydrocortisone sodium succinate 1 mg/ml
الجلوكوز %5 1713
kompatibel
حقن Bivalirudin 5 mg/ml
حقن Hydromorphone hydrochloride 0.5 mg/ml
الجلوكوز %5 1713
kompatibel
حقن Bivalirudin 5 mg/ml
حقن Isoprenaline hydrochloride 0.02 mg/ml
الجلوكوز %5 1713
عدم توافق غير محدد غير متوافق
حقن Bivalirudin
حقن Labetalol hydrochloride 5 mg/ml
3539
kompatibel
حقن Bivalirudin 5 mg/ml
حقن Labetalol hydrochloride 2 mg/ml
الجلوكوز %5 1713
kompatibel
حقن Bivalirudin
حقن Labetalol hydrochloride 2 mg/ml
3539
kompatibel
حقن Bivalirudin 5 mg/ml
حقن Levofloxacine 5 mg/ml
الجلوكوز %5 1713
kompatibel
حقن Bivalirudin 5 mg/ml
حقن Lidocaine hydrochloride 10 mg/ml
الجلوكوز %5 1713
عدم توافق غير محدد غير متوافق
حقن Bivalirudin
حقن Lorazepam 2 mg/ml
3539
kompatibel
حقن Bivalirudin
حقن Lorazepam 0.5 mg/ml
3539
kompatibel
حقن Bivalirudin 5 mg/ml
حقن Lorazepam 0.5 mg/ml
الجلوكوز %5 1713
kompatibel
حقن Bivalirudin 5 mg/ml
حقن Magnesium sulfate 100 mg/ml
الجلوكوز %5 1713
kompatibel
حقن Bivalirudin 5 mg/ml
حقن Mannitol 150 mg/ml
الجلوكوز %5 1713
kompatibel
حقن Bivalirudin 5 mg/ml
حقن Methylprednisolone sodium succinate 5 mg/ml
الجلوكوز %5 1713
kompatibel
حقن Bivalirudin 5 mg/ml
حقن Metoclopramide hydrochloride 5 mg/ml
الجلوكوز %5 1713
kompatibel
حقن Bivalirudin 5 mg/ml
حقن Metoprolol tartrate 1 mg/ml
كلوريد الصوديوم 0.9% 1944
kompatibel
حقن Bivalirudin 5 mg/ml
حقن Metoprolol tartrate 1 mg/ml
الجلوكوز %5 1944
kompatibel
حقن Bivalirudin 5 mg/ml
حقن Metronidazole 5 mg/ml
الجلوكوز %5 1713
kompatibel
حقن Bivalirudin 5 mg/ml
حقن Midazolam hydrochloride 2 mg/ml
الجلوكوز %5 1944
kompatibel
حقن Bivalirudin 5 mg/ml
حقن Midazolam hydrochloride 1 mg/ml
الجلوكوز %5 1713
kompatibel
حقن Bivalirudin 5 mg/ml
حقن Midazolam hydrochloride 2 mg/ml
كلوريد الصوديوم 0.9% 1944
kompatibel
حقن Bivalirudin 5 mg/ml
حقن Milrinone lactate 0.2 mg/ml
الجلوكوز %5 1713
kompatibel
حقن Bivalirudin 5 mg/ml
حقن Morphine sulfate 10 mg/ml
كلوريد الصوديوم 0.9% 1944
kompatibel
حقن Bivalirudin 5 mg/ml
حقن Morphine sulfate 10 mg/ml
الجلوكوز %5 1944
kompatibel
حقن Bivalirudin 5 mg/ml
حقن Morphine sulfate 1 mg/ml
الجلوكوز %5 1713
kompatibel
حقن Bivalirudin 5 mg/ml
حقن Nalbuphine hydrochloride 10 mg/ml
الجلوكوز %5 1713
kompatibel
حقن Bivalirudin 5 mg/ml
حقن Nitroprusside sodium 2 mg/ml
الجلوكوز %5 1713
kompatibel
حقن Bivalirudin
كلوريد الصوديوم 0.9% 3539
kompatibel
حقن Bivalirudin 5 mg/ml
حقن Nitroglycerin 0.4 mg/ml
الجلوكوز %5 1713
kompatibel
حقن Bivalirudin 5 mg/ml
حقن Norepinephrine bitartrate 0.12 mg/ml
الجلوكوز %5 1713
kompatibel
حقن Bivalirudin 5 mg/ml
حقن Ofloxacin 4 mg/ml
الجلوكوز %5 1713
kompatibel
حقن Bivalirudin 5 mg/ml
حقن Pethidine hydrochloride 10 mg/ml
الجلوكوز %5 1713
kompatibel
حقن Bivalirudin 5 mg/ml
حقن Phenylephrine hydrochloride 10 mg/ml
الجلوكوز %5 1944
kompatibel
حقن Bivalirudin 5 mg/ml
حقن Phenylephrine hydrochloride 1 mg/ml
الجلوكوز %5 1713
kompatibel
حقن Bivalirudin 5 mg/ml
حقن Phenylephrine hydrochloride 10 mg/ml
كلوريد الصوديوم 0.9% 1944
kompatibel
حقن Bivalirudin 5 mg/ml
حقن Piperacillin sodium 40 mg/ml
الجلوكوز %5 1713
kompatibel
حقن Bivalirudin 5 mg/ml
حقن Piperacillin sodium / tazobactam 40/5 mg/ml
الجلوكوز %5 1713
kompatibel
حقن Bivalirudin 5 mg/ml
حقن Potassium chloride 100 mEq/l
الجلوكوز %5 1713
kompatibel
حقن Bivalirudin 5 mg/ml
حقن Procainamide hydrochloride 10 mg/ml
الجلوكوز %5 1713
هطول فوري غير متوافق
حقن Bivalirudin
حقن Prochlorperazine edysilate 25 mg/ml
3539
هطول فوري غير متوافق
حقن Bivalirudin 5 mg/ml
حقن Prochlorperazine edysilate 0.5 mg/ml
الجلوكوز %5 1713
kompatibel
حقن Bivalirudin
حقن Promethazine hydrochloride 2 mg/ml
3539
عدم توافق غير محدد غير متوافق
حقن Bivalirudin
حقن Promethazine hydrochloride 25 mg/ml
3539
kompatibel
حقن Bivalirudin 5 mg/ml
حقن Promethazine hydrochloride 2 mg/ml
الجلوكوز %5 1713
kompatibel
حقن Bivalirudin 5 mg/ml
حقن Ranitidine hydrochloride 2 mg/ml
الجلوكوز %5 1713
هطول فوري غير متوافق
حقن Bivalirudin 5 mg/ml
حقن Reteplase 1 UI/ml
الجلوكوز %5 1713
هطول فوري غير متوافق
حقن Bivalirudin
حقن Reteplase
3539
kompatibel
حقن Bivalirudin 5 mg/ml
حقن Sodium bicarbonate 84 mg/ml
الجلوكوز %5 1713
هطول فوري غير متوافق
حقن Bivalirudin 5 mg/ml
حقن Streptokinase 30000 UI/ml
الجلوكوز %5 1713
هطول فوري غير متوافق
حقن Bivalirudin
حقن Streptokinase
3539
kompatibel
حقن Bivalirudin 5 mg/ml
حقن Sufentanil citrate 0.05 mg/ml
الجلوكوز %5 1713
kompatibel
حقن Bivalirudin 5 mg/ml
حقن Theophylline 4 mg/ml
الجلوكوز %5 1713
kompatibel
حقن Bivalirudin 5 mg/ml
حقن Thiopental sodium 25 mg/ml
الجلوكوز %5 1713
kompatibel
حقن Bivalirudin 5 mg/ml
حقن Ticarcillin / clavulanic acid 31 mg/ml
الجلوكوز %5 1713
kompatibel
حقن Bivalirudin 5 mg/ml
حقن Tirofiban 50 µg/ml
الجلوكوز %5 1713
kompatibel
حقن Bivalirudin 5 mg/ml
حقن Tobramycin sulfate 5 mg/ml
الجلوكوز %5 1713
هطول فوري غير متوافق
حقن Bivalirudin 5 mg/ml
حقن Vancomycin hydrochloride 10 mg/ml
الجلوكوز %5 1713
هطول فوري غير متوافق
حقن Bivalirudin
حقن Vancomycin hydrochloride
3539
kompatibel
حقن Bivalirudin 5 mg/ml
حقن Verapamil hydrochloride 2,5 mg/ml
كلوريد الصوديوم 0.9% 1944
kompatibel
حقن Bivalirudin 5 mg/ml
حقن Verapamil hydrochloride 2,5 mg/ml
الجلوكوز %5 1944
kompatibel
حقن Bivalirudin 5 mg/ml
حقن Verapamil hydrochloride 1.25 mg/ml
الجلوكوز %5 1713
kompatibel
حقن Bivalirudin 5 mg/ml
حقن Warfarin sodium 2 mg/ml
الجلوكوز %5 1713

  Mentions Légales