Τελευταία ενημέρωση :
18/03/2026
Αντιπηκτικό   Bivalirudin  
Ενέσιμο
Σταθερότητα διαλυμάτων Σταθερότητα σε μίγματα Παράγοντας που επηρεάζει τη σταθερότητα Συμβατότητες Τρόπος χορήγησης Βιβλιογραφία pdf
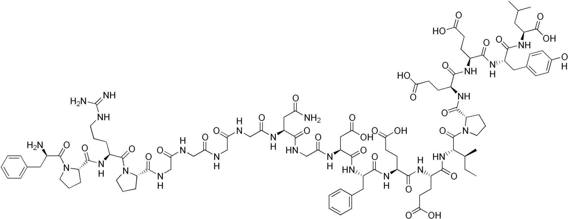
   χημική δομή  

Εμπορική ονομασία   Εμπορική ονομασία     

Οι εμπορικές ονομασίες είναι ενδεικτικές και η σύνθεση των εκδόχων μπορεί να διαφέρει ανάλογα με τη χώρα και τα εργαστήρια

Amuprux Αργεντινή
Angiomax Αυστραλία, Βενεζουέλα, Η.Π.Α., Καναδάς, νέα Ζηλανδία, Περού, Χιλή
Angiox Αυστρία, Δανία, Ελλάδα, Η.Π.Α., Ισλανδία, Ισπανία, Ιταλία, Μεγάλη Βρετανία, Νορβηγία, Ολλανδία, Ουγγαρία, Πολωνία, Ρουμανία, Σλοβενία, Φινλανδία
Bivalirudin Βέλγιο, Γερμανία, Δανία, Μεγάλη Βρετανία, Σλοβενία, Σουηδία, Φινλανδία
Bivalirudina Ισπανία, Ιταλία
Συμβατότητες    Ενέσιμο   Συμβατότητες : Bivalirudin              
Σε αυτή την οθόνη εμφανίζονται οι συμβατότητες ή ασυμβατότητες. Σε αυτή την περίπτωση εμφανίζονται το είδος της ασυμβατότητας (ίζημα, αλλαγή χρώματος, μεταβολή γαλακτώματος, κλπ). Οι συμβατότητες που παρουσιάζονται εδώ είναι κυρίως φυσικές, ενώ η χημική σταθερότητα κάθε μορίου σπάνια περιλαμβάνεται. Η αξιολόγηση αυτών των μιγμάτων μελετήθηκε προκειμένου να εκτιμηθεί η πιθανότητα χορήγησης στον ασθενή στο Υ κέντρο. Τα δεδομένα αυτά δεν μπορούν να χρησιμοποιηθούν για την εκ των προτέρων δημιουργία μιγμάτων σε ασκούς ή σύριγγες. Αυτό το είδος πληροφορίας υπάρχει και μπορεί να αναζητηθεί στην οθόνη «Σταθερότητα σε μίγμα».
Συστατικό Διαλυτικό Βιβλιογραφία
Σύμφωνος
Ενέσιμο Bivalirudin 5 mg/ml
Ενέσιμο Alfentanil hydrochloride 125 µg/ml
Γλυκόζη 5% 1713
Άμεση βροχόπτωση Ασύμβατες
Ενέσιμο Bivalirudin 5 mg/ml
Ενέσιμο Alteplase 1 mg/ml
Γλυκόζη 5% 1713
Άμεση βροχόπτωση Ασύμβατες
Ενέσιμο Bivalirudin
Ενέσιμο Alteplase
3539
Σύμφωνος
Ενέσιμο Bivalirudin 5 mg/ml
Ενέσιμο Amikacin sulfate 5 mg/ml
Γλυκόζη 5% 1713
Σύμφωνος
Ενέσιμο Bivalirudin 5 mg/ml
Ενέσιμο Aminophylline 2.5 mg/ml
Γλυκόζη 5% 1713
Άμεση βροχόπτωση Ασύμβατες
Ενέσιμο Bivalirudin
Ενέσιμο Amiodarone hydrochloride
3539
Άμεση θολότητα Ασύμβατες
Ενέσιμο Bivalirudin 5 mg/ml
Ενέσιμο Amiodarone hydrochloride 4 mg/ml
Γλυκόζη 5% 1713
Άμεση βροχόπτωση Ασύμβατες
Ενέσιμο Bivalirudin
Ενέσιμο Amphotericin B
3539
Άμεση βροχόπτωση Ασύμβατες
Ενέσιμο Bivalirudin 5 mg/ml
Ενέσιμο Amphotericin B 0.6 mg/ml
Γλυκόζη 5% 1713
Σύμφωνος
Ενέσιμο Bivalirudin 5 mg/ml
Ενέσιμο Ampicillin sodium 20 mg/ml
Γλυκόζη 5% 1713
Σύμφωνος
Ενέσιμο Bivalirudin 5 mg/ml
Ενέσιμο Ampicillin sodium - sulbactam sodium 20/10 mg/ml
Γλυκόζη 5% 1713
Σύμφωνος
Ενέσιμο Bivalirudin 5 mg/ml
Ενέσιμο Atropine sulfate 0,4 mg/ml
Γλυκόζη 5% 1944
Σύμφωνος
Ενέσιμο Bivalirudin 5 mg/ml
Ενέσιμο Atropine sulfate 0,4 mg/ml
Χλωριούχο νάτριο 0,9% 1944
Σύμφωνος
Ενέσιμο Bivalirudin 5 mg/ml
Ενέσιμο Azithromycine 2 mg/ml
Γλυκόζη 5% 1713
Σύμφωνος
Ενέσιμο Bivalirudin 5 mg/ml
Ενέσιμο Aztreonam 40 mg/ml
Γλυκόζη 5% 1713
Σύμφωνος
Ενέσιμο Bivalirudin 5 mg/ml
Ενέσιμο Bretylium tosilate 50 mg/ml
Γλυκόζη 5% 1713
Σύμφωνος
Ενέσιμο Bivalirudin 5 mg/ml
Ενέσιμο Bumetanide 0.04 mg/ml
Γλυκόζη 5% 1713
Σύμφωνος
Ενέσιμο Bivalirudin 5 mg/ml
Ενέσιμο Butorphanol tartrate 0.04 mg/ml
Γλυκόζη 5% 1713
Σύμφωνος
Ενέσιμο Bivalirudin 5 mg/ml
Ενέσιμο Calcium gluconate 40 mg/ml
Γλυκόζη 5% 1713
Σύμφωνος
Ενέσιμο Bivalirudin 5 mg/ml
Ενέσιμο Cefazolin sodium 20 mg/ml
Γλυκόζη 5% 1713
Σύμφωνος
Ενέσιμο Bivalirudin 5 mg/ml
Ενέσιμο Cefepime dihydrochloride 20 mg/ml
Γλυκόζη 5% 1713
Σύμφωνος
Ενέσιμο Bivalirudin 5 mg/ml
Ενέσιμο Cefoperazone sodium 40 mg/ml
Γλυκόζη 5% 1713
Σύμφωνος
Ενέσιμο Bivalirudin 5 mg/ml
Ενέσιμο Cefotaxime sodium 20 mg/ml
Γλυκόζη 5% 1713
Σύμφωνος
Ενέσιμο Bivalirudin 5 mg/ml
Ενέσιμο Ceftazidime 40 mg/ml
Γλυκόζη 5% 1713
Άμεση βροχόπτωση Ασύμβατες
Ενέσιμο Bivalirudin
Ενέσιμο Chlorpromazine hydrochloride
3539
Σύμφωνος
Ενέσιμο Bivalirudin
Γλυκόζη 5% 3539
Σύμφωνος
Ενέσιμο Bivalirudin 5 mg/ml
Ενέσιμο Cefoxitin sodium 20 mg/ml
Γλυκόζη 5% 1713
Σύμφωνος
Ενέσιμο Bivalirudin 5 mg/ml
Ενέσιμο Ceftizoxime sodium 20 mg/ml
Γλυκόζη 5% 1713
Σύμφωνος
Ενέσιμο Bivalirudin 5 mg/ml
Ενέσιμο Ceftriaxone disodium 20 mg/ml
Γλυκόζη 5% 1713
Σύμφωνος
Ενέσιμο Bivalirudin 5 mg/ml
Ενέσιμο Cefuroxime sodium 30 mg/ml
Γλυκόζη 5% 1713
Άμεση βροχόπτωση Ασύμβατες
Ενέσιμο Bivalirudin 5 mg/ml
Ενέσιμο Chlorpromazine hydrochloride 2 mg/ml
Γλυκόζη 5% 1713
Σύμφωνος
Ενέσιμο Bivalirudin 5 mg/ml
Ενέσιμο Cimetidine hydrochloride 12 mg/ml
Γλυκόζη 5% 1713
Σύμφωνος
Ενέσιμο Bivalirudin 5 mg/ml
Ενέσιμο Ciprofloxacin lactate 2 mg/ml
Γλυκόζη 5% 1713
Σύμφωνος
Ενέσιμο Bivalirudin 5 mg/ml
Ενέσιμο Clindamycin phosphate 10 mg/ml
Γλυκόζη 5% 1713
Σύμφωνος
Ενέσιμο Bivalirudin 5 mg/ml
Ενέσιμο Co-trimoxazole 4/0.8 mg/ml
Γλυκόζη 5% 1713
Σύμφωνος
Ενέσιμο Bivalirudin 5 mg/ml
Ενέσιμο Dexamethasone sodium phosphate 1 mg/ml
Γλυκόζη 5% 1713
Άμεση βροχόπτωση Ασύμβατες
Ενέσιμο Bivalirudin 5 mg/ml
Ενέσιμο Diazepam 5 mg/ml
Γλυκόζη 5% 1713
Άμεση βροχόπτωση Ασύμβατες
Ενέσιμο Bivalirudin
Ενέσιμο Diazepam
3539
Σύμφωνος
Ενέσιμο Bivalirudin 5 mg/ml
Ενέσιμο Digoxin 250 µg/ml
Γλυκόζη 5% 1713
Σύμφωνος
Ενέσιμο Bivalirudin 5 mg/ml
Ενέσιμο Diltiazem hydrochloride 5 mg/ml
Χλωριούχο νάτριο 0,9% 1944
Σύμφωνος
Ενέσιμο Bivalirudin 5 mg/ml
Ενέσιμο Diltiazem hydrochloride 5 mg/ml
Γλυκόζη 5% 1713
Σύμφωνος
Ενέσιμο Bivalirudin 5 mg/ml
Ενέσιμο Diltiazem hydrochloride 5 mg/ml
Γλυκόζη 5% 1944
Σύμφωνος
Ενέσιμο Bivalirudin 5 mg/ml
Ενέσιμο Diphenhydramine hydrochloride 2 mg/ml
Γλυκόζη 5% 1713
Σύμφωνος
Ενέσιμο Bivalirudin 5 mg/ml
Ενέσιμο Dobutamine hydrochloride 4 mg/ml
Γλυκόζη 5% 1713
Σύμφωνος
Ενέσιμο Bivalirudin
Ενέσιμο Dobutamine hydrochloride 4 mg/ml
3539
Άμεση βροχόπτωση Ασύμβατες
Ενέσιμο Bivalirudin 5 mg/ml
Ενέσιμο Dobutamine hydrochloride 12,5 mg/ml
Γλυκόζη 5% 1944
Απροσδιόριστη ασυμβατότητα Ασύμβατες
Ενέσιμο Bivalirudin
Ενέσιμο Dobutamine hydrochloride 12.5 mg/ml
3539
Άμεση βροχόπτωση Ασύμβατες
Ενέσιμο Bivalirudin 5 mg/ml
Ενέσιμο Dobutamine hydrochloride 12,5 mg/ml
Χλωριούχο νάτριο 0,9% 1944
Σύμφωνος
Ενέσιμο Bivalirudin 5 mg/ml
Ενέσιμο Dopamine hydrochloride 80 mg/ml
Χλωριούχο νάτριο 0,9% 1944
Σύμφωνος
Ενέσιμο Bivalirudin 5 mg/ml
Ενέσιμο Dopamine hydrochloride 80 mg/ml
Γλυκόζη 5% 1944
Σύμφωνος
Ενέσιμο Bivalirudin 5 mg/ml
Ενέσιμο Dopamine hydrochloride 3.2 mg/ml
Γλυκόζη 5% 1713
Σύμφωνος
Ενέσιμο Bivalirudin 5 mg/ml
Ενέσιμο Doxycycline hyclate 1 mg/ml
Γλυκόζη 5% 1713
Σύμφωνος
Ενέσιμο Bivalirudin 5 mg/ml
Ενέσιμο Droperidol 2.5 mg/ml
Γλυκόζη 5% 1713
Σύμφωνος
Ενέσιμο Bivalirudin 5 mg/ml
Ενέσιμο Enalaprilate 0.1 mg/ml
Γλυκόζη 5% 1713
Σύμφωνος
Ενέσιμο Bivalirudin 5 mg/ml
Ενέσιμο Ephedrine hydrochloride 5 mg/ml
Γλυκόζη 5% 1713
Σύμφωνος
Ενέσιμο Bivalirudin 5 mg/ml
Ενέσιμο Epinephrine hydrochloride 50 µg/ml
Γλυκόζη 5% 1713
Σύμφωνος
Ενέσιμο Bivalirudin 5 mg/ml
Ενέσιμο Eptifibatide 2 mg/ml
Γλυκόζη 5% 1713
Σύμφωνος
Ενέσιμο Bivalirudin 5 mg/ml
Ενέσιμο Erythromycin lactobionate 5 mg/ml
Γλυκόζη 5% 1713
Σύμφωνος
Ενέσιμο Bivalirudin 5 mg/ml
Ενέσιμο Esmolol hydrochloride 10 mg/ml
Γλυκόζη 5% 1713
Σύμφωνος
Ενέσιμο Bivalirudin
Ενέσιμο Famotidine 2 mg/ml
3539
Απροσδιόριστη ασυμβατότητα Ασύμβατες
Ενέσιμο Bivalirudin
Ενέσιμο Famotidine 10 mg/ml
3539
Σύμφωνος
Ενέσιμο Bivalirudin 5 mg/ml
Ενέσιμο Famotidine 2 mg/ml
Γλυκόζη 5% 1713
Σύμφωνος
Ενέσιμο Bivalirudin 5 mg/ml
Ενέσιμο Fentanyl citrate 50 µg/ml
Χλωριούχο νάτριο 0,9% 1944
Σύμφωνος
Ενέσιμο Bivalirudin 5 mg/ml
Ενέσιμο Fentanyl citrate 50 µg/ml
Γλυκόζη 5% 1944
Σύμφωνος
Ενέσιμο Bivalirudin 5 mg/ml
Ενέσιμο Fentanyl citrate 50 µg/ml
Γλυκόζη 5% 1713
Σύμφωνος
Ενέσιμο Bivalirudin 5 mg/ml
Ενέσιμο Fluconazole 2 mg/ml
Γλυκόζη 5% 1713
Σύμφωνος
Ενέσιμο Bivalirudin 5 mg/ml
Ενέσιμο Furosemide 3 mg/ml
Γλυκόζη 5% 1713
Σύμφωνος
Ενέσιμο Bivalirudin 5 mg/ml
Ενέσιμο Gentamicin sulfate 5 mg/ml
Γλυκόζη 5% 1713
Σύμφωνος
Ενέσιμο Bivalirudin
Ενέσιμο Haloperidol lactate 0.2 mg/ml
3539
Σύμφωνος
Ενέσιμο Bivalirudin 5 mg/ml
Ενέσιμο Haloperidol lactate 0.2 mg/ml
Γλυκόζη 5% 1713
Απροσδιόριστη ασυμβατότητα Ασύμβατες
Ενέσιμο Bivalirudin
Ενέσιμο Haloperidol lactate 5 mg/ml
3539
Σύμφωνος
Ενέσιμο Bivalirudin 5 mg/ml
Ενέσιμο Heparin sodium 100 UI/ml
Γλυκόζη 5% 1713
Σύμφωνος
Ενέσιμο Bivalirudin 5 mg/ml
Ενέσιμο Hydrocortisone sodium succinate 50 mg/ml
Χλωριούχο νάτριο 0,9% 1944
Σύμφωνος
Ενέσιμο Bivalirudin 5 mg/ml
Ενέσιμο Hydrocortisone sodium succinate 50 mg/ml
Γλυκόζη 5% 1944
Σύμφωνος
Ενέσιμο Bivalirudin 5 mg/ml
Ενέσιμο Hydrocortisone sodium succinate 1 mg/ml
Γλυκόζη 5% 1713
Σύμφωνος
Ενέσιμο Bivalirudin 5 mg/ml
Ενέσιμο Hydromorphone hydrochloride 0.5 mg/ml
Γλυκόζη 5% 1713
Σύμφωνος
Ενέσιμο Bivalirudin 5 mg/ml
Ενέσιμο Isoprenaline hydrochloride 0.02 mg/ml
Γλυκόζη 5% 1713
Απροσδιόριστη ασυμβατότητα Ασύμβατες
Ενέσιμο Bivalirudin
Ενέσιμο Labetalol hydrochloride 5 mg/ml
3539
Σύμφωνος
Ενέσιμο Bivalirudin 5 mg/ml
Ενέσιμο Labetalol hydrochloride 2 mg/ml
Γλυκόζη 5% 1713
Σύμφωνος
Ενέσιμο Bivalirudin
Ενέσιμο Labetalol hydrochloride 2 mg/ml
3539
Σύμφωνος
Ενέσιμο Bivalirudin 5 mg/ml
Ενέσιμο Levofloxacine 5 mg/ml
Γλυκόζη 5% 1713
Σύμφωνος
Ενέσιμο Bivalirudin 5 mg/ml
Ενέσιμο Lidocaine hydrochloride 10 mg/ml
Γλυκόζη 5% 1713
Απροσδιόριστη ασυμβατότητα Ασύμβατες
Ενέσιμο Bivalirudin
Ενέσιμο Lorazepam 2 mg/ml
3539
Σύμφωνος
Ενέσιμο Bivalirudin
Ενέσιμο Lorazepam 0.5 mg/ml
3539
Σύμφωνος
Ενέσιμο Bivalirudin 5 mg/ml
Ενέσιμο Lorazepam 0.5 mg/ml
Γλυκόζη 5% 1713
Σύμφωνος
Ενέσιμο Bivalirudin 5 mg/ml
Ενέσιμο Magnesium sulfate 100 mg/ml
Γλυκόζη 5% 1713
Σύμφωνος
Ενέσιμο Bivalirudin 5 mg/ml
Ενέσιμο Mannitol 150 mg/ml
Γλυκόζη 5% 1713
Σύμφωνος
Ενέσιμο Bivalirudin 5 mg/ml
Ενέσιμο Methylprednisolone sodium succinate 5 mg/ml
Γλυκόζη 5% 1713
Σύμφωνος
Ενέσιμο Bivalirudin 5 mg/ml
Ενέσιμο Metoclopramide hydrochloride 5 mg/ml
Γλυκόζη 5% 1713
Σύμφωνος
Ενέσιμο Bivalirudin 5 mg/ml
Ενέσιμο Metoprolol tartrate 1 mg/ml
Χλωριούχο νάτριο 0,9% 1944
Σύμφωνος
Ενέσιμο Bivalirudin 5 mg/ml
Ενέσιμο Metoprolol tartrate 1 mg/ml
Γλυκόζη 5% 1944
Σύμφωνος
Ενέσιμο Bivalirudin 5 mg/ml
Ενέσιμο Metronidazole 5 mg/ml
Γλυκόζη 5% 1713
Σύμφωνος
Ενέσιμο Bivalirudin 5 mg/ml
Ενέσιμο Midazolam hydrochloride 2 mg/ml
Γλυκόζη 5% 1944
Σύμφωνος
Ενέσιμο Bivalirudin 5 mg/ml
Ενέσιμο Midazolam hydrochloride 1 mg/ml
Γλυκόζη 5% 1713
Σύμφωνος
Ενέσιμο Bivalirudin 5 mg/ml
Ενέσιμο Midazolam hydrochloride 2 mg/ml
Χλωριούχο νάτριο 0,9% 1944
Σύμφωνος
Ενέσιμο Bivalirudin 5 mg/ml
Ενέσιμο Milrinone lactate 0.2 mg/ml
Γλυκόζη 5% 1713
Σύμφωνος
Ενέσιμο Bivalirudin 5 mg/ml
Ενέσιμο Morphine sulfate 10 mg/ml
Χλωριούχο νάτριο 0,9% 1944
Σύμφωνος
Ενέσιμο Bivalirudin 5 mg/ml
Ενέσιμο Morphine sulfate 10 mg/ml
Γλυκόζη 5% 1944
Σύμφωνος
Ενέσιμο Bivalirudin 5 mg/ml
Ενέσιμο Morphine sulfate 1 mg/ml
Γλυκόζη 5% 1713
Σύμφωνος
Ενέσιμο Bivalirudin 5 mg/ml
Ενέσιμο Nalbuphine hydrochloride 10 mg/ml
Γλυκόζη 5% 1713
Σύμφωνος
Ενέσιμο Bivalirudin 5 mg/ml
Ενέσιμο Nitroprusside sodium 2 mg/ml
Γλυκόζη 5% 1713
Σύμφωνος
Ενέσιμο Bivalirudin
Χλωριούχο νάτριο 0,9% 3539
Σύμφωνος
Ενέσιμο Bivalirudin 5 mg/ml
Ενέσιμο Nitroglycerin 0.4 mg/ml
Γλυκόζη 5% 1713
Σύμφωνος
Ενέσιμο Bivalirudin 5 mg/ml
Ενέσιμο Norepinephrine bitartrate 0.12 mg/ml
Γλυκόζη 5% 1713
Σύμφωνος
Ενέσιμο Bivalirudin 5 mg/ml
Ενέσιμο Ofloxacin 4 mg/ml
Γλυκόζη 5% 1713
Σύμφωνος
Ενέσιμο Bivalirudin 5 mg/ml
Ενέσιμο Pethidine hydrochloride 10 mg/ml
Γλυκόζη 5% 1713
Σύμφωνος
Ενέσιμο Bivalirudin 5 mg/ml
Ενέσιμο Phenylephrine hydrochloride 10 mg/ml
Γλυκόζη 5% 1944
Σύμφωνος
Ενέσιμο Bivalirudin 5 mg/ml
Ενέσιμο Phenylephrine hydrochloride 1 mg/ml
Γλυκόζη 5% 1713
Σύμφωνος
Ενέσιμο Bivalirudin 5 mg/ml
Ενέσιμο Phenylephrine hydrochloride 10 mg/ml
Χλωριούχο νάτριο 0,9% 1944
Σύμφωνος
Ενέσιμο Bivalirudin 5 mg/ml
Ενέσιμο Piperacillin sodium 40 mg/ml
Γλυκόζη 5% 1713
Σύμφωνος
Ενέσιμο Bivalirudin 5 mg/ml
Ενέσιμο Piperacillin sodium / tazobactam 40/5 mg/ml
Γλυκόζη 5% 1713
Σύμφωνος
Ενέσιμο Bivalirudin 5 mg/ml
Ενέσιμο Potassium chloride 100 mEq/l
Γλυκόζη 5% 1713
Σύμφωνος
Ενέσιμο Bivalirudin 5 mg/ml
Ενέσιμο Procainamide hydrochloride 10 mg/ml
Γλυκόζη 5% 1713
Άμεση βροχόπτωση Ασύμβατες
Ενέσιμο Bivalirudin
Ενέσιμο Prochlorperazine edysilate 25 mg/ml
3539
Άμεση βροχόπτωση Ασύμβατες
Ενέσιμο Bivalirudin 5 mg/ml
Ενέσιμο Prochlorperazine edysilate 0.5 mg/ml
Γλυκόζη 5% 1713
Σύμφωνος
Ενέσιμο Bivalirudin
Ενέσιμο Promethazine hydrochloride 2 mg/ml
3539
Απροσδιόριστη ασυμβατότητα Ασύμβατες
Ενέσιμο Bivalirudin
Ενέσιμο Promethazine hydrochloride 25 mg/ml
3539
Σύμφωνος
Ενέσιμο Bivalirudin 5 mg/ml
Ενέσιμο Promethazine hydrochloride 2 mg/ml
Γλυκόζη 5% 1713
Σύμφωνος
Ενέσιμο Bivalirudin 5 mg/ml
Ενέσιμο Ranitidine hydrochloride 2 mg/ml
Γλυκόζη 5% 1713
Άμεση βροχόπτωση Ασύμβατες
Ενέσιμο Bivalirudin 5 mg/ml
Ενέσιμο Reteplase 1 UI/ml
Γλυκόζη 5% 1713
Άμεση βροχόπτωση Ασύμβατες
Ενέσιμο Bivalirudin
Ενέσιμο Reteplase
3539
Σύμφωνος
Ενέσιμο Bivalirudin 5 mg/ml
Ενέσιμο Sodium bicarbonate 84 mg/ml
Γλυκόζη 5% 1713
Άμεση βροχόπτωση Ασύμβατες
Ενέσιμο Bivalirudin 5 mg/ml
Ενέσιμο Streptokinase 30000 UI/ml
Γλυκόζη 5% 1713
Άμεση βροχόπτωση Ασύμβατες
Ενέσιμο Bivalirudin
Ενέσιμο Streptokinase
3539
Σύμφωνος
Ενέσιμο Bivalirudin 5 mg/ml
Ενέσιμο Sufentanil citrate 0.05 mg/ml
Γλυκόζη 5% 1713
Σύμφωνος
Ενέσιμο Bivalirudin 5 mg/ml
Ενέσιμο Theophylline 4 mg/ml
Γλυκόζη 5% 1713
Σύμφωνος
Ενέσιμο Bivalirudin 5 mg/ml
Ενέσιμο Thiopental sodium 25 mg/ml
Γλυκόζη 5% 1713
Σύμφωνος
Ενέσιμο Bivalirudin 5 mg/ml
Ενέσιμο Ticarcillin / clavulanic acid 31 mg/ml
Γλυκόζη 5% 1713
Σύμφωνος
Ενέσιμο Bivalirudin 5 mg/ml
Ενέσιμο Tirofiban 50 µg/ml
Γλυκόζη 5% 1713
Σύμφωνος
Ενέσιμο Bivalirudin 5 mg/ml
Ενέσιμο Tobramycin sulfate 5 mg/ml
Γλυκόζη 5% 1713
Άμεση βροχόπτωση Ασύμβατες
Ενέσιμο Bivalirudin 5 mg/ml
Ενέσιμο Vancomycin hydrochloride 10 mg/ml
Γλυκόζη 5% 1713
Άμεση βροχόπτωση Ασύμβατες
Ενέσιμο Bivalirudin
Ενέσιμο Vancomycin hydrochloride
3539
Σύμφωνος
Ενέσιμο Bivalirudin 5 mg/ml
Ενέσιμο Verapamil hydrochloride 2,5 mg/ml
Χλωριούχο νάτριο 0,9% 1944
Σύμφωνος
Ενέσιμο Bivalirudin 5 mg/ml
Ενέσιμο Verapamil hydrochloride 2,5 mg/ml
Γλυκόζη 5% 1944
Σύμφωνος
Ενέσιμο Bivalirudin 5 mg/ml
Ενέσιμο Verapamil hydrochloride 1.25 mg/ml
Γλυκόζη 5% 1713
Σύμφωνος
Ενέσιμο Bivalirudin 5 mg/ml
Ενέσιμο Warfarin sodium 2 mg/ml
Γλυκόζη 5% 1713

  Mentions Légales