Posledná aktualizácia :
18/03/2026
antikoagulans   Bivalirudin  
Injekcia
Stabilita roztokov Stabilita v zmesiach Faktory ovplyvňujúce stabilitu Kompatibility spôsob podania Odkazy na literatúru PDF
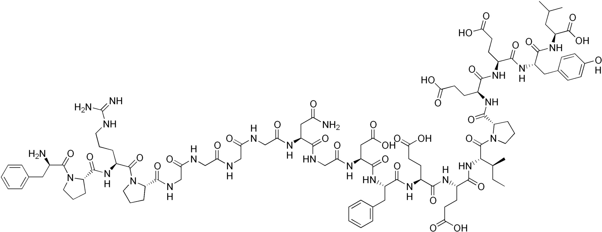
   Chemický vzorec  

Obchodný názov   Obchodný názov     

Obchodné názvy sú orientačné, a zloženie pomocných látok sa môže líšiť v závislosti od krajiny a výrobcu.

Amuprux Argentína
Angiomax Austrália, Čile, Kanada, nový Zéland, peru, Spojené štáty Americké, Venezuela
Angiox Dánsko, Fínsko, Grécko, Holandsko, Island, Maďarsko, Nórsko, Poľsko, Rakúsko, Rumunsko, Slovinsko, Španielsko, Spojené štáty Americké, Taliansko, Veľká Británia
Bivalirudin Belgicko, Dánsko, Fínsko, Nemecko, Slovinsko, Švédsko, Veľká Británia
Bivalirudina Španielsko, Taliansko
Kompatibility   Injekcia   Kompatibility : Bivalirudin              
Toto okno zobrazuje kompatibility alebo inkombatibility, v prípade inkompatibility aj jej typ (vyzrážanie, zmena farby, zmena emulzie atď.). Tu vymenované kompatibility sú väčšinou len fyzikálne, chemická stabilita každej zo zlúčenín sa hodnotila len zriedkavo. Tieto zmesi sa skúmali za účelom možnosti súbežného podávania pacientovi cez infúznu spojku Y. Údaje sa nedajú použiť na prípravu zmesí vo vakoch alebo striekačkách. Taká informácia sa nachádza v okne „Stabilita v zmesiach“.
Zlúčenina rozpúšťadlo odkazy na lieteratúru
kompatibilný
Injekcia Bivalirudin 5 mg/ml
Injekcia Alfentanil hydrochloride 125 µg/ml
5% glukóza 1713
Okamžité zrážanie nezlučiteľný
Injekcia Bivalirudin 5 mg/ml
Injekcia Alteplase 1 mg/ml
5% glukóza 1713
Okamžité zrážanie nezlučiteľný
Injekcia Bivalirudin
Injekcia Alteplase
3539
kompatibilný
Injekcia Bivalirudin 5 mg/ml
Injekcia Amikacin sulfate 5 mg/ml
5% glukóza 1713
kompatibilný
Injekcia Bivalirudin 5 mg/ml
Injekcia Aminophylline 2.5 mg/ml
5% glukóza 1713
Okamžité zrážanie nezlučiteľný
Injekcia Bivalirudin
Injekcia Amiodarone hydrochloride
3539
Okamžitá zákal nezlučiteľný
Injekcia Bivalirudin 5 mg/ml
Injekcia Amiodarone hydrochloride 4 mg/ml
5% glukóza 1713
Okamžité zrážanie nezlučiteľný
Injekcia Bivalirudin
Injekcia Amphotericin B
3539
Okamžité zrážanie nezlučiteľný
Injekcia Bivalirudin 5 mg/ml
Injekcia Amphotericin B 0.6 mg/ml
5% glukóza 1713
kompatibilný
Injekcia Bivalirudin 5 mg/ml
Injekcia Ampicillin sodium 20 mg/ml
5% glukóza 1713
kompatibilný
Injekcia Bivalirudin 5 mg/ml
Injekcia Ampicillin sodium - sulbactam sodium 20/10 mg/ml
5% glukóza 1713
kompatibilný
Injekcia Bivalirudin 5 mg/ml
Injekcia Atropine sulfate 0,4 mg/ml
5% glukóza 1944
kompatibilný
Injekcia Bivalirudin 5 mg/ml
Injekcia Atropine sulfate 0,4 mg/ml
0,9% chlorid sodný 1944
kompatibilný
Injekcia Bivalirudin 5 mg/ml
Injekcia Azithromycine 2 mg/ml
5% glukóza 1713
kompatibilný
Injekcia Bivalirudin 5 mg/ml
Injekcia Aztreonam 40 mg/ml
5% glukóza 1713
kompatibilný
Injekcia Bivalirudin 5 mg/ml
Injekcia Bretylium tosilate 50 mg/ml
5% glukóza 1713
kompatibilný
Injekcia Bivalirudin 5 mg/ml
Injekcia Bumetanide 0.04 mg/ml
5% glukóza 1713
kompatibilný
Injekcia Bivalirudin 5 mg/ml
Injekcia Butorphanol tartrate 0.04 mg/ml
5% glukóza 1713
kompatibilný
Injekcia Bivalirudin 5 mg/ml
Injekcia Calcium gluconate 40 mg/ml
5% glukóza 1713
kompatibilný
Injekcia Bivalirudin 5 mg/ml
Injekcia Cefazolin sodium 20 mg/ml
5% glukóza 1713
kompatibilný
Injekcia Bivalirudin 5 mg/ml
Injekcia Cefepime dihydrochloride 20 mg/ml
5% glukóza 1713
kompatibilný
Injekcia Bivalirudin 5 mg/ml
Injekcia Cefoperazone sodium 40 mg/ml
5% glukóza 1713
kompatibilný
Injekcia Bivalirudin 5 mg/ml
Injekcia Cefotaxime sodium 20 mg/ml
5% glukóza 1713
kompatibilný
Injekcia Bivalirudin 5 mg/ml
Injekcia Ceftazidime 40 mg/ml
5% glukóza 1713
Okamžité zrážanie nezlučiteľný
Injekcia Bivalirudin
Injekcia Chlorpromazine hydrochloride
3539
kompatibilný
Injekcia Bivalirudin
5% glukóza 3539
kompatibilný
Injekcia Bivalirudin 5 mg/ml
Injekcia Cefoxitin sodium 20 mg/ml
5% glukóza 1713
kompatibilný
Injekcia Bivalirudin 5 mg/ml
Injekcia Ceftizoxime sodium 20 mg/ml
5% glukóza 1713
kompatibilný
Injekcia Bivalirudin 5 mg/ml
Injekcia Ceftriaxone disodium 20 mg/ml
5% glukóza 1713
kompatibilný
Injekcia Bivalirudin 5 mg/ml
Injekcia Cefuroxime sodium 30 mg/ml
5% glukóza 1713
Okamžité zrážanie nezlučiteľný
Injekcia Bivalirudin 5 mg/ml
Injekcia Chlorpromazine hydrochloride 2 mg/ml
5% glukóza 1713
kompatibilný
Injekcia Bivalirudin 5 mg/ml
Injekcia Cimetidine hydrochloride 12 mg/ml
5% glukóza 1713
kompatibilný
Injekcia Bivalirudin 5 mg/ml
Injekcia Ciprofloxacin lactate 2 mg/ml
5% glukóza 1713
kompatibilný
Injekcia Bivalirudin 5 mg/ml
Injekcia Clindamycin phosphate 10 mg/ml
5% glukóza 1713
kompatibilný
Injekcia Bivalirudin 5 mg/ml
Injekcia Co-trimoxazole 4/0.8 mg/ml
5% glukóza 1713
kompatibilný
Injekcia Bivalirudin 5 mg/ml
Injekcia Dexamethasone sodium phosphate 1 mg/ml
5% glukóza 1713
Okamžité zrážanie nezlučiteľný
Injekcia Bivalirudin 5 mg/ml
Injekcia Diazepam 5 mg/ml
5% glukóza 1713
Okamžité zrážanie nezlučiteľný
Injekcia Bivalirudin
Injekcia Diazepam
3539
kompatibilný
Injekcia Bivalirudin 5 mg/ml
Injekcia Digoxin 250 µg/ml
5% glukóza 1713
kompatibilný
Injekcia Bivalirudin 5 mg/ml
Injekcia Diltiazem hydrochloride 5 mg/ml
0,9% chlorid sodný 1944
kompatibilný
Injekcia Bivalirudin 5 mg/ml
Injekcia Diltiazem hydrochloride 5 mg/ml
5% glukóza 1713
kompatibilný
Injekcia Bivalirudin 5 mg/ml
Injekcia Diltiazem hydrochloride 5 mg/ml
5% glukóza 1944
kompatibilný
Injekcia Bivalirudin 5 mg/ml
Injekcia Diphenhydramine hydrochloride 2 mg/ml
5% glukóza 1713
kompatibilný
Injekcia Bivalirudin 5 mg/ml
Injekcia Dobutamine hydrochloride 4 mg/ml
5% glukóza 1713
kompatibilný
Injekcia Bivalirudin
Injekcia Dobutamine hydrochloride 4 mg/ml
3539
Okamžité zrážanie nezlučiteľný
Injekcia Bivalirudin 5 mg/ml
Injekcia Dobutamine hydrochloride 12,5 mg/ml
5% glukóza 1944
Nešpecifikovaná nekompatibilita nezlučiteľný
Injekcia Bivalirudin
Injekcia Dobutamine hydrochloride 12.5 mg/ml
3539
Okamžité zrážanie nezlučiteľný
Injekcia Bivalirudin 5 mg/ml
Injekcia Dobutamine hydrochloride 12,5 mg/ml
0,9% chlorid sodný 1944
kompatibilný
Injekcia Bivalirudin 5 mg/ml
Injekcia Dopamine hydrochloride 80 mg/ml
0,9% chlorid sodný 1944
kompatibilný
Injekcia Bivalirudin 5 mg/ml
Injekcia Dopamine hydrochloride 80 mg/ml
5% glukóza 1944
kompatibilný
Injekcia Bivalirudin 5 mg/ml
Injekcia Dopamine hydrochloride 3.2 mg/ml
5% glukóza 1713
kompatibilný
Injekcia Bivalirudin 5 mg/ml
Injekcia Doxycycline hyclate 1 mg/ml
5% glukóza 1713
kompatibilný
Injekcia Bivalirudin 5 mg/ml
Injekcia Droperidol 2.5 mg/ml
5% glukóza 1713
kompatibilný
Injekcia Bivalirudin 5 mg/ml
Injekcia Enalaprilate 0.1 mg/ml
5% glukóza 1713
kompatibilný
Injekcia Bivalirudin 5 mg/ml
Injekcia Ephedrine hydrochloride 5 mg/ml
5% glukóza 1713
kompatibilný
Injekcia Bivalirudin 5 mg/ml
Injekcia Epinephrine hydrochloride 50 µg/ml
5% glukóza 1713
kompatibilný
Injekcia Bivalirudin 5 mg/ml
Injekcia Eptifibatide 2 mg/ml
5% glukóza 1713
kompatibilný
Injekcia Bivalirudin 5 mg/ml
Injekcia Erythromycin lactobionate 5 mg/ml
5% glukóza 1713
kompatibilný
Injekcia Bivalirudin 5 mg/ml
Injekcia Esmolol hydrochloride 10 mg/ml
5% glukóza 1713
kompatibilný
Injekcia Bivalirudin
Injekcia Famotidine 2 mg/ml
3539
Nešpecifikovaná nekompatibilita nezlučiteľný
Injekcia Bivalirudin
Injekcia Famotidine 10 mg/ml
3539
kompatibilný
Injekcia Bivalirudin 5 mg/ml
Injekcia Famotidine 2 mg/ml
5% glukóza 1713
kompatibilný
Injekcia Bivalirudin 5 mg/ml
Injekcia Fentanyl citrate 50 µg/ml
0,9% chlorid sodný 1944
kompatibilný
Injekcia Bivalirudin 5 mg/ml
Injekcia Fentanyl citrate 50 µg/ml
5% glukóza 1944
kompatibilný
Injekcia Bivalirudin 5 mg/ml
Injekcia Fentanyl citrate 50 µg/ml
5% glukóza 1713
kompatibilný
Injekcia Bivalirudin 5 mg/ml
Injekcia Fluconazole 2 mg/ml
5% glukóza 1713
kompatibilný
Injekcia Bivalirudin 5 mg/ml
Injekcia Furosemide 3 mg/ml
5% glukóza 1713
kompatibilný
Injekcia Bivalirudin 5 mg/ml
Injekcia Gentamicin sulfate 5 mg/ml
5% glukóza 1713
kompatibilný
Injekcia Bivalirudin
Injekcia Haloperidol lactate 0.2 mg/ml
3539
kompatibilný
Injekcia Bivalirudin 5 mg/ml
Injekcia Haloperidol lactate 0.2 mg/ml
5% glukóza 1713
Nešpecifikovaná nekompatibilita nezlučiteľný
Injekcia Bivalirudin
Injekcia Haloperidol lactate 5 mg/ml
3539
kompatibilný
Injekcia Bivalirudin 5 mg/ml
Injekcia Heparin sodium 100 UI/ml
5% glukóza 1713
kompatibilný
Injekcia Bivalirudin 5 mg/ml
Injekcia Hydrocortisone sodium succinate 50 mg/ml
0,9% chlorid sodný 1944
kompatibilný
Injekcia Bivalirudin 5 mg/ml
Injekcia Hydrocortisone sodium succinate 50 mg/ml
5% glukóza 1944
kompatibilný
Injekcia Bivalirudin 5 mg/ml
Injekcia Hydrocortisone sodium succinate 1 mg/ml
5% glukóza 1713
kompatibilný
Injekcia Bivalirudin 5 mg/ml
Injekcia Hydromorphone hydrochloride 0.5 mg/ml
5% glukóza 1713
kompatibilný
Injekcia Bivalirudin 5 mg/ml
Injekcia Isoprenaline hydrochloride 0.02 mg/ml
5% glukóza 1713
Nešpecifikovaná nekompatibilita nezlučiteľný
Injekcia Bivalirudin
Injekcia Labetalol hydrochloride 5 mg/ml
3539
kompatibilný
Injekcia Bivalirudin 5 mg/ml
Injekcia Labetalol hydrochloride 2 mg/ml
5% glukóza 1713
kompatibilný
Injekcia Bivalirudin
Injekcia Labetalol hydrochloride 2 mg/ml
3539
kompatibilný
Injekcia Bivalirudin 5 mg/ml
Injekcia Levofloxacine 5 mg/ml
5% glukóza 1713
kompatibilný
Injekcia Bivalirudin 5 mg/ml
Injekcia Lidocaine hydrochloride 10 mg/ml
5% glukóza 1713
Nešpecifikovaná nekompatibilita nezlučiteľný
Injekcia Bivalirudin
Injekcia Lorazepam 2 mg/ml
3539
kompatibilný
Injekcia Bivalirudin
Injekcia Lorazepam 0.5 mg/ml
3539
kompatibilný
Injekcia Bivalirudin 5 mg/ml
Injekcia Lorazepam 0.5 mg/ml
5% glukóza 1713
kompatibilný
Injekcia Bivalirudin 5 mg/ml
Injekcia Magnesium sulfate 100 mg/ml
5% glukóza 1713
kompatibilný
Injekcia Bivalirudin 5 mg/ml
Injekcia Mannitol 150 mg/ml
5% glukóza 1713
kompatibilný
Injekcia Bivalirudin 5 mg/ml
Injekcia Methylprednisolone sodium succinate 5 mg/ml
5% glukóza 1713
kompatibilný
Injekcia Bivalirudin 5 mg/ml
Injekcia Metoclopramide hydrochloride 5 mg/ml
5% glukóza 1713
kompatibilný
Injekcia Bivalirudin 5 mg/ml
Injekcia Metoprolol tartrate 1 mg/ml
0,9% chlorid sodný 1944
kompatibilný
Injekcia Bivalirudin 5 mg/ml
Injekcia Metoprolol tartrate 1 mg/ml
5% glukóza 1944
kompatibilný
Injekcia Bivalirudin 5 mg/ml
Injekcia Metronidazole 5 mg/ml
5% glukóza 1713
kompatibilný
Injekcia Bivalirudin 5 mg/ml
Injekcia Midazolam hydrochloride 2 mg/ml
5% glukóza 1944
kompatibilný
Injekcia Bivalirudin 5 mg/ml
Injekcia Midazolam hydrochloride 1 mg/ml
5% glukóza 1713
kompatibilný
Injekcia Bivalirudin 5 mg/ml
Injekcia Midazolam hydrochloride 2 mg/ml
0,9% chlorid sodný 1944
kompatibilný
Injekcia Bivalirudin 5 mg/ml
Injekcia Milrinone lactate 0.2 mg/ml
5% glukóza 1713
kompatibilný
Injekcia Bivalirudin 5 mg/ml
Injekcia Morphine sulfate 10 mg/ml
0,9% chlorid sodný 1944
kompatibilný
Injekcia Bivalirudin 5 mg/ml
Injekcia Morphine sulfate 10 mg/ml
5% glukóza 1944
kompatibilný
Injekcia Bivalirudin 5 mg/ml
Injekcia Morphine sulfate 1 mg/ml
5% glukóza 1713
kompatibilný
Injekcia Bivalirudin 5 mg/ml
Injekcia Nalbuphine hydrochloride 10 mg/ml
5% glukóza 1713
kompatibilný
Injekcia Bivalirudin 5 mg/ml
Injekcia Nitroprusside sodium 2 mg/ml
5% glukóza 1713
kompatibilný
Injekcia Bivalirudin
0,9% chlorid sodný 3539
kompatibilný
Injekcia Bivalirudin 5 mg/ml
Injekcia Nitroglycerin 0.4 mg/ml
5% glukóza 1713
kompatibilný
Injekcia Bivalirudin 5 mg/ml
Injekcia Norepinephrine bitartrate 0.12 mg/ml
5% glukóza 1713
kompatibilný
Injekcia Bivalirudin 5 mg/ml
Injekcia Ofloxacin 4 mg/ml
5% glukóza 1713
kompatibilný
Injekcia Bivalirudin 5 mg/ml
Injekcia Pethidine hydrochloride 10 mg/ml
5% glukóza 1713
kompatibilný
Injekcia Bivalirudin 5 mg/ml
Injekcia Phenylephrine hydrochloride 10 mg/ml
5% glukóza 1944
kompatibilný
Injekcia Bivalirudin 5 mg/ml
Injekcia Phenylephrine hydrochloride 1 mg/ml
5% glukóza 1713
kompatibilný
Injekcia Bivalirudin 5 mg/ml
Injekcia Phenylephrine hydrochloride 10 mg/ml
0,9% chlorid sodný 1944
kompatibilný
Injekcia Bivalirudin 5 mg/ml
Injekcia Piperacillin sodium 40 mg/ml
5% glukóza 1713
kompatibilný
Injekcia Bivalirudin 5 mg/ml
Injekcia Piperacillin sodium / tazobactam 40/5 mg/ml
5% glukóza 1713
kompatibilný
Injekcia Bivalirudin 5 mg/ml
Injekcia Potassium chloride 100 mEq/l
5% glukóza 1713
kompatibilný
Injekcia Bivalirudin 5 mg/ml
Injekcia Procainamide hydrochloride 10 mg/ml
5% glukóza 1713
Okamžité zrážanie nezlučiteľný
Injekcia Bivalirudin
Injekcia Prochlorperazine edysilate 25 mg/ml
3539
Okamžité zrážanie nezlučiteľný
Injekcia Bivalirudin 5 mg/ml
Injekcia Prochlorperazine edysilate 0.5 mg/ml
5% glukóza 1713
kompatibilný
Injekcia Bivalirudin
Injekcia Promethazine hydrochloride 2 mg/ml
3539
Nešpecifikovaná nekompatibilita nezlučiteľný
Injekcia Bivalirudin
Injekcia Promethazine hydrochloride 25 mg/ml
3539
kompatibilný
Injekcia Bivalirudin 5 mg/ml
Injekcia Promethazine hydrochloride 2 mg/ml
5% glukóza 1713
kompatibilný
Injekcia Bivalirudin 5 mg/ml
Injekcia Ranitidine hydrochloride 2 mg/ml
5% glukóza 1713
Okamžité zrážanie nezlučiteľný
Injekcia Bivalirudin 5 mg/ml
Injekcia Reteplase 1 UI/ml
5% glukóza 1713
Okamžité zrážanie nezlučiteľný
Injekcia Bivalirudin
Injekcia Reteplase
3539
kompatibilný
Injekcia Bivalirudin 5 mg/ml
Injekcia Sodium bicarbonate 84 mg/ml
5% glukóza 1713
Okamžité zrážanie nezlučiteľný
Injekcia Bivalirudin 5 mg/ml
Injekcia Streptokinase 30000 UI/ml
5% glukóza 1713
Okamžité zrážanie nezlučiteľný
Injekcia Bivalirudin
Injekcia Streptokinase
3539
kompatibilný
Injekcia Bivalirudin 5 mg/ml
Injekcia Sufentanil citrate 0.05 mg/ml
5% glukóza 1713
kompatibilný
Injekcia Bivalirudin 5 mg/ml
Injekcia Theophylline 4 mg/ml
5% glukóza 1713
kompatibilný
Injekcia Bivalirudin 5 mg/ml
Injekcia Thiopental sodium 25 mg/ml
5% glukóza 1713
kompatibilný
Injekcia Bivalirudin 5 mg/ml
Injekcia Ticarcillin / clavulanic acid 31 mg/ml
5% glukóza 1713
kompatibilný
Injekcia Bivalirudin 5 mg/ml
Injekcia Tirofiban 50 µg/ml
5% glukóza 1713
kompatibilný
Injekcia Bivalirudin 5 mg/ml
Injekcia Tobramycin sulfate 5 mg/ml
5% glukóza 1713
Okamžité zrážanie nezlučiteľný
Injekcia Bivalirudin 5 mg/ml
Injekcia Vancomycin hydrochloride 10 mg/ml
5% glukóza 1713
Okamžité zrážanie nezlučiteľný
Injekcia Bivalirudin
Injekcia Vancomycin hydrochloride
3539
kompatibilný
Injekcia Bivalirudin 5 mg/ml
Injekcia Verapamil hydrochloride 2,5 mg/ml
0,9% chlorid sodný 1944
kompatibilný
Injekcia Bivalirudin 5 mg/ml
Injekcia Verapamil hydrochloride 2,5 mg/ml
5% glukóza 1944
kompatibilný
Injekcia Bivalirudin 5 mg/ml
Injekcia Verapamil hydrochloride 1.25 mg/ml
5% glukóza 1713
kompatibilný
Injekcia Bivalirudin 5 mg/ml
Injekcia Warfarin sodium 2 mg/ml
5% glukóza 1713

  Mentions Légales