viimane versioon :
18/03/2026
antikoagulant   Bivalirudin  
Süsteravim
Stabiilsus lahustes Stabiilsust mõjutavad tegurid stabiilsust mõjutavad faktorid Sobimatus Manustamis viis Viited pdf
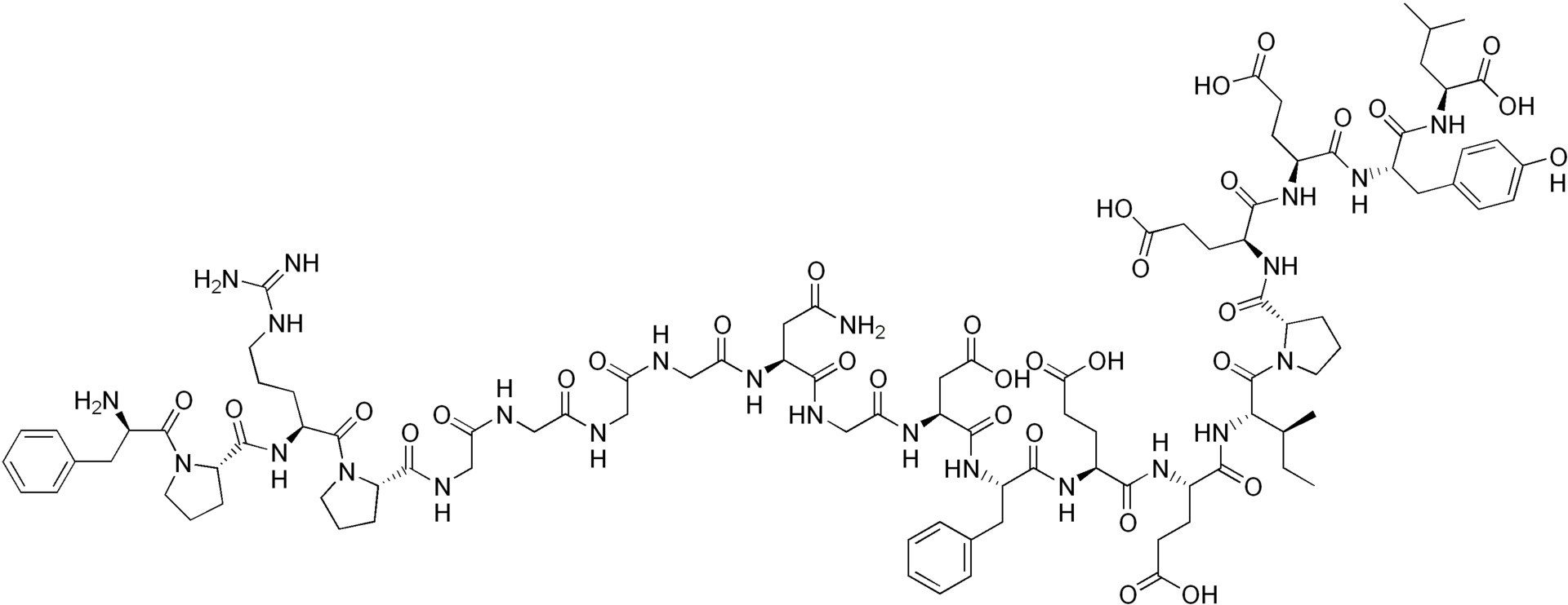
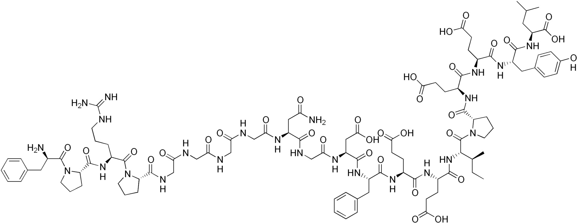
   keemiline struktuur  

Kaubanduslikud nimed erinevates maades   Kaubanduslikud nimed erinevates maades     

Preparaatide nimed on näitlikud ja abianete sisaldus võib erineda sõltuvalt riigist ja laborist

Amuprux Argentiina
Angiomax Ameerika ühendriigid, Austraalia, Kanada, Maroko, Tšiili, uus-Meremaa, Venetsueela
Angiox Ameerika ühendriigid, Austria, Hispaania, Holland, Island, Itaalia, Kreeka, Norra, Poola, Rumeenia, Sloveenia, Soome, Suurbritannia, Taani, Ungari
Bivalirudin Belgia, Rootsi, Saksamaa, Sloveenia, Soome, Suurbritannia, Taani
Bivalirudina Hispaania, Itaalia
Sobimatus   Süsteravim   Sobimatus : Bivalirudin              
Sellel lehel kuvatakse sobimatusi ja sobimatuse tüüpi (sadenemine, värvuse muutus, emulsiooni modifitseerumine jne). Enamasti on siin lehel kuvatud füüsikalised sobimatused, kuna molekulide keemilist stabiilsust hinnatakse harva. Hinnatud on segude sobivust Y-liinis. Antud infot ei saa kasutada ravimite sobivuse hindamiseks juhul, kui ravimid on segatud süstaldes või infusioonikottides. See info on lehel « stabiilsus segudes ».
ingredient lahusti Viited
Ühilduv
Süsteravim Bivalirudin 5 mg/ml
Süsteravim Alfentanil hydrochloride 125 µg/ml
glükoos 5% 1713
Kohene sade Sobimatu
Süsteravim Bivalirudin 5 mg/ml
Süsteravim Alteplase 1 mg/ml
glükoos 5% 1713
Kohene sade Sobimatu
Süsteravim Bivalirudin
Süsteravim Alteplase
3539
Ühilduv
Süsteravim Bivalirudin 5 mg/ml
Süsteravim Amikacin sulfate 5 mg/ml
glükoos 5% 1713
Ühilduv
Süsteravim Bivalirudin 5 mg/ml
Süsteravim Aminophylline 2.5 mg/ml
glükoos 5% 1713
Kohene sade Sobimatu
Süsteravim Bivalirudin
Süsteravim Amiodarone hydrochloride
3539
Kohene hägusus Sobimatu
Süsteravim Bivalirudin 5 mg/ml
Süsteravim Amiodarone hydrochloride 4 mg/ml
glükoos 5% 1713
Kohene sade Sobimatu
Süsteravim Bivalirudin
Süsteravim Amphotericin B
3539
Kohene sade Sobimatu
Süsteravim Bivalirudin 5 mg/ml
Süsteravim Amphotericin B 0.6 mg/ml
glükoos 5% 1713
Ühilduv
Süsteravim Bivalirudin 5 mg/ml
Süsteravim Ampicillin sodium 20 mg/ml
glükoos 5% 1713
Ühilduv
Süsteravim Bivalirudin 5 mg/ml
Süsteravim Ampicillin sodium - sulbactam sodium 20/10 mg/ml
glükoos 5% 1713
Ühilduv
Süsteravim Bivalirudin 5 mg/ml
Süsteravim Atropine sulfate 0,4 mg/ml
glükoos 5% 1944
Ühilduv
Süsteravim Bivalirudin 5 mg/ml
Süsteravim Atropine sulfate 0,4 mg/ml
naatriumkloriid 0.9% 1944
Ühilduv
Süsteravim Bivalirudin 5 mg/ml
Süsteravim Azithromycine 2 mg/ml
glükoos 5% 1713
Ühilduv
Süsteravim Bivalirudin 5 mg/ml
Süsteravim Aztreonam 40 mg/ml
glükoos 5% 1713
Ühilduv
Süsteravim Bivalirudin 5 mg/ml
Süsteravim Bretylium tosilate 50 mg/ml
glükoos 5% 1713
Ühilduv
Süsteravim Bivalirudin 5 mg/ml
Süsteravim Bumetanide 0.04 mg/ml
glükoos 5% 1713
Ühilduv
Süsteravim Bivalirudin 5 mg/ml
Süsteravim Butorphanol tartrate 0.04 mg/ml
glükoos 5% 1713
Ühilduv
Süsteravim Bivalirudin 5 mg/ml
Süsteravim Calcium gluconate 40 mg/ml
glükoos 5% 1713
Ühilduv
Süsteravim Bivalirudin 5 mg/ml
Süsteravim Cefazolin sodium 20 mg/ml
glükoos 5% 1713
Ühilduv
Süsteravim Bivalirudin 5 mg/ml
Süsteravim Cefepime dihydrochloride 20 mg/ml
glükoos 5% 1713
Ühilduv
Süsteravim Bivalirudin 5 mg/ml
Süsteravim Cefoperazone sodium 40 mg/ml
glükoos 5% 1713
Ühilduv
Süsteravim Bivalirudin 5 mg/ml
Süsteravim Cefotaxime sodium 20 mg/ml
glükoos 5% 1713
Ühilduv
Süsteravim Bivalirudin 5 mg/ml
Süsteravim Ceftazidime 40 mg/ml
glükoos 5% 1713
Kohene sade Sobimatu
Süsteravim Bivalirudin
Süsteravim Chlorpromazine hydrochloride
3539
Ühilduv
Süsteravim Bivalirudin
glükoos 5% 3539
Ühilduv
Süsteravim Bivalirudin 5 mg/ml
Süsteravim Cefoxitin sodium 20 mg/ml
glükoos 5% 1713
Ühilduv
Süsteravim Bivalirudin 5 mg/ml
Süsteravim Ceftizoxime sodium 20 mg/ml
glükoos 5% 1713
Ühilduv
Süsteravim Bivalirudin 5 mg/ml
Süsteravim Ceftriaxone disodium 20 mg/ml
glükoos 5% 1713
Ühilduv
Süsteravim Bivalirudin 5 mg/ml
Süsteravim Cefuroxime sodium 30 mg/ml
glükoos 5% 1713
Kohene sade Sobimatu
Süsteravim Bivalirudin 5 mg/ml
Süsteravim Chlorpromazine hydrochloride 2 mg/ml
glükoos 5% 1713
Ühilduv
Süsteravim Bivalirudin 5 mg/ml
Süsteravim Cimetidine hydrochloride 12 mg/ml
glükoos 5% 1713
Ühilduv
Süsteravim Bivalirudin 5 mg/ml
Süsteravim Ciprofloxacin lactate 2 mg/ml
glükoos 5% 1713
Ühilduv
Süsteravim Bivalirudin 5 mg/ml
Süsteravim Clindamycin phosphate 10 mg/ml
glükoos 5% 1713
Ühilduv
Süsteravim Bivalirudin 5 mg/ml
Süsteravim Co-trimoxazole 4/0.8 mg/ml
glükoos 5% 1713
Ühilduv
Süsteravim Bivalirudin 5 mg/ml
Süsteravim Dexamethasone sodium phosphate 1 mg/ml
glükoos 5% 1713
Kohene sade Sobimatu
Süsteravim Bivalirudin 5 mg/ml
Süsteravim Diazepam 5 mg/ml
glükoos 5% 1713
Kohene sade Sobimatu
Süsteravim Bivalirudin
Süsteravim Diazepam
3539
Ühilduv
Süsteravim Bivalirudin 5 mg/ml
Süsteravim Digoxin 250 µg/ml
glükoos 5% 1713
Ühilduv
Süsteravim Bivalirudin 5 mg/ml
Süsteravim Diltiazem hydrochloride 5 mg/ml
naatriumkloriid 0.9% 1944
Ühilduv
Süsteravim Bivalirudin 5 mg/ml
Süsteravim Diltiazem hydrochloride 5 mg/ml
glükoos 5% 1713
Ühilduv
Süsteravim Bivalirudin 5 mg/ml
Süsteravim Diltiazem hydrochloride 5 mg/ml
glükoos 5% 1944
Ühilduv
Süsteravim Bivalirudin 5 mg/ml
Süsteravim Diphenhydramine hydrochloride 2 mg/ml
glükoos 5% 1713
Ühilduv
Süsteravim Bivalirudin 5 mg/ml
Süsteravim Dobutamine hydrochloride 4 mg/ml
glükoos 5% 1713
Ühilduv
Süsteravim Bivalirudin
Süsteravim Dobutamine hydrochloride 4 mg/ml
3539
Kohene sade Sobimatu
Süsteravim Bivalirudin 5 mg/ml
Süsteravim Dobutamine hydrochloride 12,5 mg/ml
glükoos 5% 1944
Täpsustamata sobimatus Sobimatu
Süsteravim Bivalirudin
Süsteravim Dobutamine hydrochloride 12.5 mg/ml
3539
Kohene sade Sobimatu
Süsteravim Bivalirudin 5 mg/ml
Süsteravim Dobutamine hydrochloride 12,5 mg/ml
naatriumkloriid 0.9% 1944
Ühilduv
Süsteravim Bivalirudin 5 mg/ml
Süsteravim Dopamine hydrochloride 80 mg/ml
naatriumkloriid 0.9% 1944
Ühilduv
Süsteravim Bivalirudin 5 mg/ml
Süsteravim Dopamine hydrochloride 80 mg/ml
glükoos 5% 1944
Ühilduv
Süsteravim Bivalirudin 5 mg/ml
Süsteravim Dopamine hydrochloride 3.2 mg/ml
glükoos 5% 1713
Ühilduv
Süsteravim Bivalirudin 5 mg/ml
Süsteravim Doxycycline hyclate 1 mg/ml
glükoos 5% 1713
Ühilduv
Süsteravim Bivalirudin 5 mg/ml
Süsteravim Droperidol 2.5 mg/ml
glükoos 5% 1713
Ühilduv
Süsteravim Bivalirudin 5 mg/ml
Süsteravim Enalaprilate 0.1 mg/ml
glükoos 5% 1713
Ühilduv
Süsteravim Bivalirudin 5 mg/ml
Süsteravim Ephedrine hydrochloride 5 mg/ml
glükoos 5% 1713
Ühilduv
Süsteravim Bivalirudin 5 mg/ml
Süsteravim Epinephrine hydrochloride 50 µg/ml
glükoos 5% 1713
Ühilduv
Süsteravim Bivalirudin 5 mg/ml
Süsteravim Eptifibatide 2 mg/ml
glükoos 5% 1713
Ühilduv
Süsteravim Bivalirudin 5 mg/ml
Süsteravim Erythromycin lactobionate 5 mg/ml
glükoos 5% 1713
Ühilduv
Süsteravim Bivalirudin 5 mg/ml
Süsteravim Esmolol hydrochloride 10 mg/ml
glükoos 5% 1713
Ühilduv
Süsteravim Bivalirudin
Süsteravim Famotidine 2 mg/ml
3539
Täpsustamata sobimatus Sobimatu
Süsteravim Bivalirudin
Süsteravim Famotidine 10 mg/ml
3539
Ühilduv
Süsteravim Bivalirudin 5 mg/ml
Süsteravim Famotidine 2 mg/ml
glükoos 5% 1713
Ühilduv
Süsteravim Bivalirudin 5 mg/ml
Süsteravim Fentanyl citrate 50 µg/ml
naatriumkloriid 0.9% 1944
Ühilduv
Süsteravim Bivalirudin 5 mg/ml
Süsteravim Fentanyl citrate 50 µg/ml
glükoos 5% 1944
Ühilduv
Süsteravim Bivalirudin 5 mg/ml
Süsteravim Fentanyl citrate 50 µg/ml
glükoos 5% 1713
Ühilduv
Süsteravim Bivalirudin 5 mg/ml
Süsteravim Fluconazole 2 mg/ml
glükoos 5% 1713
Ühilduv
Süsteravim Bivalirudin 5 mg/ml
Süsteravim Furosemide 3 mg/ml
glükoos 5% 1713
Ühilduv
Süsteravim Bivalirudin 5 mg/ml
Süsteravim Gentamicin sulfate 5 mg/ml
glükoos 5% 1713
Ühilduv
Süsteravim Bivalirudin
Süsteravim Haloperidol lactate 0.2 mg/ml
3539
Ühilduv
Süsteravim Bivalirudin 5 mg/ml
Süsteravim Haloperidol lactate 0.2 mg/ml
glükoos 5% 1713
Täpsustamata sobimatus Sobimatu
Süsteravim Bivalirudin
Süsteravim Haloperidol lactate 5 mg/ml
3539
Ühilduv
Süsteravim Bivalirudin 5 mg/ml
Süsteravim Heparin sodium 100 UI/ml
glükoos 5% 1713
Ühilduv
Süsteravim Bivalirudin 5 mg/ml
Süsteravim Hydrocortisone sodium succinate 50 mg/ml
naatriumkloriid 0.9% 1944
Ühilduv
Süsteravim Bivalirudin 5 mg/ml
Süsteravim Hydrocortisone sodium succinate 50 mg/ml
glükoos 5% 1944
Ühilduv
Süsteravim Bivalirudin 5 mg/ml
Süsteravim Hydrocortisone sodium succinate 1 mg/ml
glükoos 5% 1713
Ühilduv
Süsteravim Bivalirudin 5 mg/ml
Süsteravim Hydromorphone hydrochloride 0.5 mg/ml
glükoos 5% 1713
Ühilduv
Süsteravim Bivalirudin 5 mg/ml
Süsteravim Isoprenaline hydrochloride 0.02 mg/ml
glükoos 5% 1713
Täpsustamata sobimatus Sobimatu
Süsteravim Bivalirudin
Süsteravim Labetalol hydrochloride 5 mg/ml
3539
Ühilduv
Süsteravim Bivalirudin 5 mg/ml
Süsteravim Labetalol hydrochloride 2 mg/ml
glükoos 5% 1713
Ühilduv
Süsteravim Bivalirudin
Süsteravim Labetalol hydrochloride 2 mg/ml
3539
Ühilduv
Süsteravim Bivalirudin 5 mg/ml
Süsteravim Levofloxacine 5 mg/ml
glükoos 5% 1713
Ühilduv
Süsteravim Bivalirudin 5 mg/ml
Süsteravim Lidocaine hydrochloride 10 mg/ml
glükoos 5% 1713
Täpsustamata sobimatus Sobimatu
Süsteravim Bivalirudin
Süsteravim Lorazepam 2 mg/ml
3539
Ühilduv
Süsteravim Bivalirudin
Süsteravim Lorazepam 0.5 mg/ml
3539
Ühilduv
Süsteravim Bivalirudin 5 mg/ml
Süsteravim Lorazepam 0.5 mg/ml
glükoos 5% 1713
Ühilduv
Süsteravim Bivalirudin 5 mg/ml
Süsteravim Magnesium sulfate 100 mg/ml
glükoos 5% 1713
Ühilduv
Süsteravim Bivalirudin 5 mg/ml
Süsteravim Mannitol 150 mg/ml
glükoos 5% 1713
Ühilduv
Süsteravim Bivalirudin 5 mg/ml
Süsteravim Methylprednisolone sodium succinate 5 mg/ml
glükoos 5% 1713
Ühilduv
Süsteravim Bivalirudin 5 mg/ml
Süsteravim Metoclopramide hydrochloride 5 mg/ml
glükoos 5% 1713
Ühilduv
Süsteravim Bivalirudin 5 mg/ml
Süsteravim Metoprolol tartrate 1 mg/ml
naatriumkloriid 0.9% 1944
Ühilduv
Süsteravim Bivalirudin 5 mg/ml
Süsteravim Metoprolol tartrate 1 mg/ml
glükoos 5% 1944
Ühilduv
Süsteravim Bivalirudin 5 mg/ml
Süsteravim Metronidazole 5 mg/ml
glükoos 5% 1713
Ühilduv
Süsteravim Bivalirudin 5 mg/ml
Süsteravim Midazolam hydrochloride 2 mg/ml
glükoos 5% 1944
Ühilduv
Süsteravim Bivalirudin 5 mg/ml
Süsteravim Midazolam hydrochloride 1 mg/ml
glükoos 5% 1713
Ühilduv
Süsteravim Bivalirudin 5 mg/ml
Süsteravim Midazolam hydrochloride 2 mg/ml
naatriumkloriid 0.9% 1944
Ühilduv
Süsteravim Bivalirudin 5 mg/ml
Süsteravim Milrinone lactate 0.2 mg/ml
glükoos 5% 1713
Ühilduv
Süsteravim Bivalirudin 5 mg/ml
Süsteravim Morphine sulfate 10 mg/ml
naatriumkloriid 0.9% 1944
Ühilduv
Süsteravim Bivalirudin 5 mg/ml
Süsteravim Morphine sulfate 10 mg/ml
glükoos 5% 1944
Ühilduv
Süsteravim Bivalirudin 5 mg/ml
Süsteravim Morphine sulfate 1 mg/ml
glükoos 5% 1713
Ühilduv
Süsteravim Bivalirudin 5 mg/ml
Süsteravim Nalbuphine hydrochloride 10 mg/ml
glükoos 5% 1713
Ühilduv
Süsteravim Bivalirudin 5 mg/ml
Süsteravim Nitroprusside sodium 2 mg/ml
glükoos 5% 1713
Ühilduv
Süsteravim Bivalirudin
naatriumkloriid 0.9% 3539
Ühilduv
Süsteravim Bivalirudin 5 mg/ml
Süsteravim Nitroglycerin 0.4 mg/ml
glükoos 5% 1713
Ühilduv
Süsteravim Bivalirudin 5 mg/ml
Süsteravim Norepinephrine bitartrate 0.12 mg/ml
glükoos 5% 1713
Ühilduv
Süsteravim Bivalirudin 5 mg/ml
Süsteravim Ofloxacin 4 mg/ml
glükoos 5% 1713
Ühilduv
Süsteravim Bivalirudin 5 mg/ml
Süsteravim Pethidine hydrochloride 10 mg/ml
glükoos 5% 1713
Ühilduv
Süsteravim Bivalirudin 5 mg/ml
Süsteravim Phenylephrine hydrochloride 10 mg/ml
glükoos 5% 1944
Ühilduv
Süsteravim Bivalirudin 5 mg/ml
Süsteravim Phenylephrine hydrochloride 1 mg/ml
glükoos 5% 1713
Ühilduv
Süsteravim Bivalirudin 5 mg/ml
Süsteravim Phenylephrine hydrochloride 10 mg/ml
naatriumkloriid 0.9% 1944
Ühilduv
Süsteravim Bivalirudin 5 mg/ml
Süsteravim Piperacillin sodium 40 mg/ml
glükoos 5% 1713
Ühilduv
Süsteravim Bivalirudin 5 mg/ml
Süsteravim Piperacillin sodium / tazobactam 40/5 mg/ml
glükoos 5% 1713
Ühilduv
Süsteravim Bivalirudin 5 mg/ml
Süsteravim Potassium chloride 100 mEq/l
glükoos 5% 1713
Ühilduv
Süsteravim Bivalirudin 5 mg/ml
Süsteravim Procainamide hydrochloride 10 mg/ml
glükoos 5% 1713
Kohene sade Sobimatu
Süsteravim Bivalirudin
Süsteravim Prochlorperazine edysilate 25 mg/ml
3539
Kohene sade Sobimatu
Süsteravim Bivalirudin 5 mg/ml
Süsteravim Prochlorperazine edysilate 0.5 mg/ml
glükoos 5% 1713
Ühilduv
Süsteravim Bivalirudin
Süsteravim Promethazine hydrochloride 2 mg/ml
3539
Täpsustamata sobimatus Sobimatu
Süsteravim Bivalirudin
Süsteravim Promethazine hydrochloride 25 mg/ml
3539
Ühilduv
Süsteravim Bivalirudin 5 mg/ml
Süsteravim Promethazine hydrochloride 2 mg/ml
glükoos 5% 1713
Ühilduv
Süsteravim Bivalirudin 5 mg/ml
Süsteravim Ranitidine hydrochloride 2 mg/ml
glükoos 5% 1713
Kohene sade Sobimatu
Süsteravim Bivalirudin 5 mg/ml
Süsteravim Reteplase 1 UI/ml
glükoos 5% 1713
Kohene sade Sobimatu
Süsteravim Bivalirudin
Süsteravim Reteplase
3539
Ühilduv
Süsteravim Bivalirudin 5 mg/ml
Süsteravim Sodium bicarbonate 84 mg/ml
glükoos 5% 1713
Kohene sade Sobimatu
Süsteravim Bivalirudin 5 mg/ml
Süsteravim Streptokinase 30000 UI/ml
glükoos 5% 1713
Kohene sade Sobimatu
Süsteravim Bivalirudin
Süsteravim Streptokinase
3539
Ühilduv
Süsteravim Bivalirudin 5 mg/ml
Süsteravim Sufentanil citrate 0.05 mg/ml
glükoos 5% 1713
Ühilduv
Süsteravim Bivalirudin 5 mg/ml
Süsteravim Theophylline 4 mg/ml
glükoos 5% 1713
Ühilduv
Süsteravim Bivalirudin 5 mg/ml
Süsteravim Thiopental sodium 25 mg/ml
glükoos 5% 1713
Ühilduv
Süsteravim Bivalirudin 5 mg/ml
Süsteravim Ticarcillin / clavulanic acid 31 mg/ml
glükoos 5% 1713
Ühilduv
Süsteravim Bivalirudin 5 mg/ml
Süsteravim Tirofiban 50 µg/ml
glükoos 5% 1713
Ühilduv
Süsteravim Bivalirudin 5 mg/ml
Süsteravim Tobramycin sulfate 5 mg/ml
glükoos 5% 1713
Kohene sade Sobimatu
Süsteravim Bivalirudin 5 mg/ml
Süsteravim Vancomycin hydrochloride 10 mg/ml
glükoos 5% 1713
Kohene sade Sobimatu
Süsteravim Bivalirudin
Süsteravim Vancomycin hydrochloride
3539
Ühilduv
Süsteravim Bivalirudin 5 mg/ml
Süsteravim Verapamil hydrochloride 2,5 mg/ml
naatriumkloriid 0.9% 1944
Ühilduv
Süsteravim Bivalirudin 5 mg/ml
Süsteravim Verapamil hydrochloride 2,5 mg/ml
glükoos 5% 1944
Ühilduv
Süsteravim Bivalirudin 5 mg/ml
Süsteravim Verapamil hydrochloride 1.25 mg/ml
glükoos 5% 1713
Ühilduv
Süsteravim Bivalirudin 5 mg/ml
Süsteravim Warfarin sodium 2 mg/ml
glükoos 5% 1713

  Mentions Légales