Pēdējā atjaunošana :
18/03/2026
Antikoagulants   Bivalirudin  
Injekcija
Šķīduma stabilitāte Maisījuma stabilitāte Stabilitāti ietekmējoši faktori Saderība Levadīšanas veids Literatūras saraksts pdf
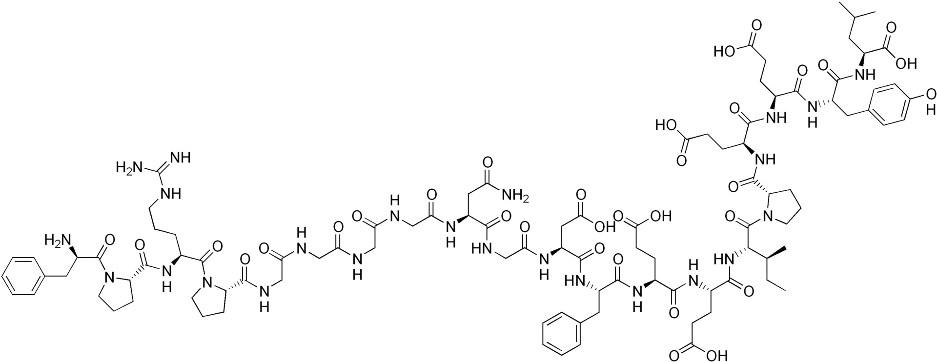
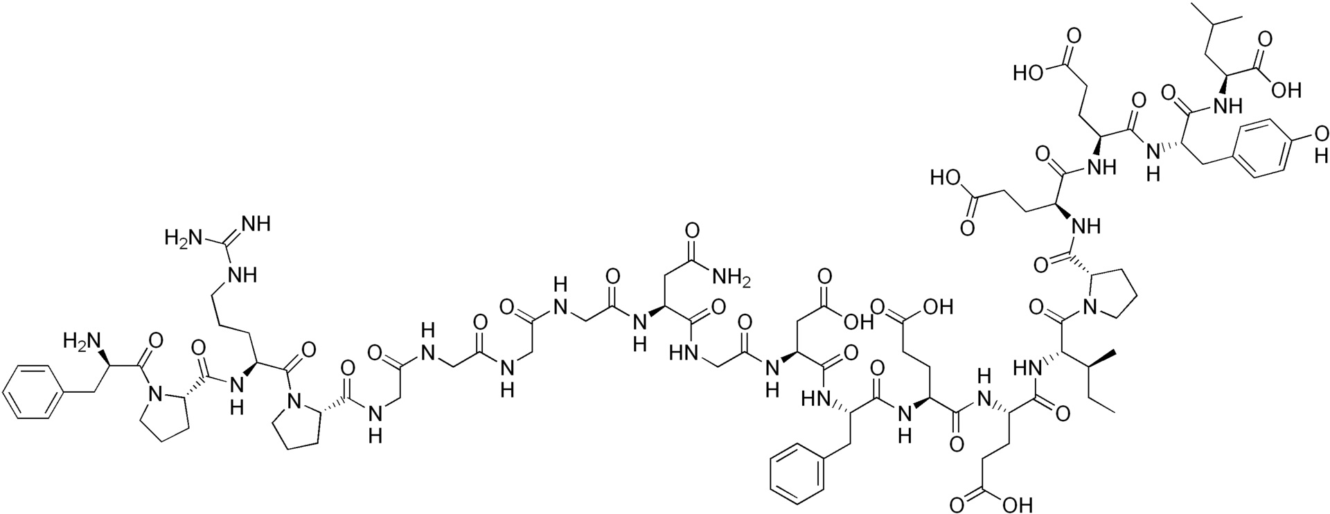
   Ķīmiskā uzbūve   

Oriģinālais nosaukums   Oriģinālais nosaukums     

Tirdzniecības nosaukumi ir apzīmējoši un palīgvielas var atšķirties dažādām valstīm un laboratorijām

Amuprux Argentīna
Angiomax Amerikas Savienotās Valstis, Austrālija, Čīle, Jaunzēlande, Kanāda, Peru, Venecuēla
Angiox Amerikas Savienotās Valstis, Austrija, Dānija, Grieķija, Holande, Islande, Itālija, Lielbritānija, Norvēģija, Polija, Rumānija, Slovēnija, Somija, Spānija, Ungārija
Bivalirudin Beļģija, Dānija, Lielbritānija, Slovēnija, Somija, Vācija, Zviedrija
Bivalirudina Itālija, Spānija
Saderība   Injekcija   Saderība : Bivalirudin              
Šī tabula parāda zāļu saderību vai nesaderību, pēc iespējas arī nesaderības tipu (precipitācija, krāsas maiņa, emulsijas sadalīšanās utt). Parādītas šeit saderības ir pārsvarā tikai fizikālās, pēc iespējas tiek parādīta ķīmiskā stabilitāte katrai molekulai. Šo maisījumu analīze tikai veikta, lai izprastu iespējamību ievadīt zāles Y-savienojuma vietā sistēmā pacientam. Šie dati nevar tikt izmantoti, lai pagatavot zāļu maisījumus vēlākai lietošanai maisos vai šļircēs. Šī informācija ir pieejama sadaļā "Maisījuma stabilitāte".
Savienojums Šķīdinātājs Literatūras saraksts
Savietojams
Injekcija Bivalirudin 5 mg/ml
Injekcija Alfentanil hydrochloride 125 µg/ml
5% glikoze 1713
Tūlītēji nokrišņi Nesavienojams
Injekcija Bivalirudin 5 mg/ml
Injekcija Alteplase 1 mg/ml
5% glikoze 1713
Tūlītēji nokrišņi Nesavienojams
Injekcija Bivalirudin
Injekcija Alteplase
3539
Savietojams
Injekcija Bivalirudin 5 mg/ml
Injekcija Amikacin sulfate 5 mg/ml
5% glikoze 1713
Savietojams
Injekcija Bivalirudin 5 mg/ml
Injekcija Aminophylline 2.5 mg/ml
5% glikoze 1713
Tūlītēji nokrišņi Nesavienojams
Injekcija Bivalirudin
Injekcija Amiodarone hydrochloride
3539
Tūlītēja duļķainība Nesavienojams
Injekcija Bivalirudin 5 mg/ml
Injekcija Amiodarone hydrochloride 4 mg/ml
5% glikoze 1713
Tūlītēji nokrišņi Nesavienojams
Injekcija Bivalirudin
Injekcija Amphotericin B
3539
Tūlītēji nokrišņi Nesavienojams
Injekcija Bivalirudin 5 mg/ml
Injekcija Amphotericin B 0.6 mg/ml
5% glikoze 1713
Savietojams
Injekcija Bivalirudin 5 mg/ml
Injekcija Ampicillin sodium 20 mg/ml
5% glikoze 1713
Savietojams
Injekcija Bivalirudin 5 mg/ml
Injekcija Ampicillin sodium - sulbactam sodium 20/10 mg/ml
5% glikoze 1713
Savietojams
Injekcija Bivalirudin 5 mg/ml
Injekcija Atropine sulfate 0,4 mg/ml
5% glikoze 1944
Savietojams
Injekcija Bivalirudin 5 mg/ml
Injekcija Atropine sulfate 0,4 mg/ml
Nātrija hlorīds 0.9% 1944
Savietojams
Injekcija Bivalirudin 5 mg/ml
Injekcija Azithromycine 2 mg/ml
5% glikoze 1713
Savietojams
Injekcija Bivalirudin 5 mg/ml
Injekcija Aztreonam 40 mg/ml
5% glikoze 1713
Savietojams
Injekcija Bivalirudin 5 mg/ml
Injekcija Bretylium tosilate 50 mg/ml
5% glikoze 1713
Savietojams
Injekcija Bivalirudin 5 mg/ml
Injekcija Bumetanide 0.04 mg/ml
5% glikoze 1713
Savietojams
Injekcija Bivalirudin 5 mg/ml
Injekcija Butorphanol tartrate 0.04 mg/ml
5% glikoze 1713
Savietojams
Injekcija Bivalirudin 5 mg/ml
Injekcija Calcium gluconate 40 mg/ml
5% glikoze 1713
Savietojams
Injekcija Bivalirudin 5 mg/ml
Injekcija Cefazolin sodium 20 mg/ml
5% glikoze 1713
Savietojams
Injekcija Bivalirudin 5 mg/ml
Injekcija Cefepime dihydrochloride 20 mg/ml
5% glikoze 1713
Savietojams
Injekcija Bivalirudin 5 mg/ml
Injekcija Cefoperazone sodium 40 mg/ml
5% glikoze 1713
Savietojams
Injekcija Bivalirudin 5 mg/ml
Injekcija Cefotaxime sodium 20 mg/ml
5% glikoze 1713
Savietojams
Injekcija Bivalirudin 5 mg/ml
Injekcija Ceftazidime 40 mg/ml
5% glikoze 1713
Tūlītēji nokrišņi Nesavienojams
Injekcija Bivalirudin
Injekcija Chlorpromazine hydrochloride
3539
Savietojams
Injekcija Bivalirudin
5% glikoze 3539
Savietojams
Injekcija Bivalirudin 5 mg/ml
Injekcija Cefoxitin sodium 20 mg/ml
5% glikoze 1713
Savietojams
Injekcija Bivalirudin 5 mg/ml
Injekcija Ceftizoxime sodium 20 mg/ml
5% glikoze 1713
Savietojams
Injekcija Bivalirudin 5 mg/ml
Injekcija Ceftriaxone disodium 20 mg/ml
5% glikoze 1713
Savietojams
Injekcija Bivalirudin 5 mg/ml
Injekcija Cefuroxime sodium 30 mg/ml
5% glikoze 1713
Tūlītēji nokrišņi Nesavienojams
Injekcija Bivalirudin 5 mg/ml
Injekcija Chlorpromazine hydrochloride 2 mg/ml
5% glikoze 1713
Savietojams
Injekcija Bivalirudin 5 mg/ml
Injekcija Cimetidine hydrochloride 12 mg/ml
5% glikoze 1713
Savietojams
Injekcija Bivalirudin 5 mg/ml
Injekcija Ciprofloxacin lactate 2 mg/ml
5% glikoze 1713
Savietojams
Injekcija Bivalirudin 5 mg/ml
Injekcija Clindamycin phosphate 10 mg/ml
5% glikoze 1713
Savietojams
Injekcija Bivalirudin 5 mg/ml
Injekcija Co-trimoxazole 4/0.8 mg/ml
5% glikoze 1713
Savietojams
Injekcija Bivalirudin 5 mg/ml
Injekcija Dexamethasone sodium phosphate 1 mg/ml
5% glikoze 1713
Tūlītēji nokrišņi Nesavienojams
Injekcija Bivalirudin 5 mg/ml
Injekcija Diazepam 5 mg/ml
5% glikoze 1713
Tūlītēji nokrišņi Nesavienojams
Injekcija Bivalirudin
Injekcija Diazepam
3539
Savietojams
Injekcija Bivalirudin 5 mg/ml
Injekcija Digoxin 250 µg/ml
5% glikoze 1713
Savietojams
Injekcija Bivalirudin 5 mg/ml
Injekcija Diltiazem hydrochloride 5 mg/ml
Nātrija hlorīds 0.9% 1944
Savietojams
Injekcija Bivalirudin 5 mg/ml
Injekcija Diltiazem hydrochloride 5 mg/ml
5% glikoze 1713
Savietojams
Injekcija Bivalirudin 5 mg/ml
Injekcija Diltiazem hydrochloride 5 mg/ml
5% glikoze 1944
Savietojams
Injekcija Bivalirudin 5 mg/ml
Injekcija Diphenhydramine hydrochloride 2 mg/ml
5% glikoze 1713
Savietojams
Injekcija Bivalirudin 5 mg/ml
Injekcija Dobutamine hydrochloride 4 mg/ml
5% glikoze 1713
Savietojams
Injekcija Bivalirudin
Injekcija Dobutamine hydrochloride 4 mg/ml
3539
Tūlītēji nokrišņi Nesavienojams
Injekcija Bivalirudin 5 mg/ml
Injekcija Dobutamine hydrochloride 12,5 mg/ml
5% glikoze 1944
Neprecizēta nesaderība Nesavienojams
Injekcija Bivalirudin
Injekcija Dobutamine hydrochloride 12.5 mg/ml
3539
Tūlītēji nokrišņi Nesavienojams
Injekcija Bivalirudin 5 mg/ml
Injekcija Dobutamine hydrochloride 12,5 mg/ml
Nātrija hlorīds 0.9% 1944
Savietojams
Injekcija Bivalirudin 5 mg/ml
Injekcija Dopamine hydrochloride 80 mg/ml
Nātrija hlorīds 0.9% 1944
Savietojams
Injekcija Bivalirudin 5 mg/ml
Injekcija Dopamine hydrochloride 80 mg/ml
5% glikoze 1944
Savietojams
Injekcija Bivalirudin 5 mg/ml
Injekcija Dopamine hydrochloride 3.2 mg/ml
5% glikoze 1713
Savietojams
Injekcija Bivalirudin 5 mg/ml
Injekcija Doxycycline hyclate 1 mg/ml
5% glikoze 1713
Savietojams
Injekcija Bivalirudin 5 mg/ml
Injekcija Droperidol 2.5 mg/ml
5% glikoze 1713
Savietojams
Injekcija Bivalirudin 5 mg/ml
Injekcija Enalaprilate 0.1 mg/ml
5% glikoze 1713
Savietojams
Injekcija Bivalirudin 5 mg/ml
Injekcija Ephedrine hydrochloride 5 mg/ml
5% glikoze 1713
Savietojams
Injekcija Bivalirudin 5 mg/ml
Injekcija Epinephrine hydrochloride 50 µg/ml
5% glikoze 1713
Savietojams
Injekcija Bivalirudin 5 mg/ml
Injekcija Eptifibatide 2 mg/ml
5% glikoze 1713
Savietojams
Injekcija Bivalirudin 5 mg/ml
Injekcija Erythromycin lactobionate 5 mg/ml
5% glikoze 1713
Savietojams
Injekcija Bivalirudin 5 mg/ml
Injekcija Esmolol hydrochloride 10 mg/ml
5% glikoze 1713
Savietojams
Injekcija Bivalirudin
Injekcija Famotidine 2 mg/ml
3539
Neprecizēta nesaderība Nesavienojams
Injekcija Bivalirudin
Injekcija Famotidine 10 mg/ml
3539
Savietojams
Injekcija Bivalirudin 5 mg/ml
Injekcija Famotidine 2 mg/ml
5% glikoze 1713
Savietojams
Injekcija Bivalirudin 5 mg/ml
Injekcija Fentanyl citrate 50 µg/ml
Nātrija hlorīds 0.9% 1944
Savietojams
Injekcija Bivalirudin 5 mg/ml
Injekcija Fentanyl citrate 50 µg/ml
5% glikoze 1944
Savietojams
Injekcija Bivalirudin 5 mg/ml
Injekcija Fentanyl citrate 50 µg/ml
5% glikoze 1713
Savietojams
Injekcija Bivalirudin 5 mg/ml
Injekcija Fluconazole 2 mg/ml
5% glikoze 1713
Savietojams
Injekcija Bivalirudin 5 mg/ml
Injekcija Furosemide 3 mg/ml
5% glikoze 1713
Savietojams
Injekcija Bivalirudin 5 mg/ml
Injekcija Gentamicin sulfate 5 mg/ml
5% glikoze 1713
Savietojams
Injekcija Bivalirudin
Injekcija Haloperidol lactate 0.2 mg/ml
3539
Savietojams
Injekcija Bivalirudin 5 mg/ml
Injekcija Haloperidol lactate 0.2 mg/ml
5% glikoze 1713
Neprecizēta nesaderība Nesavienojams
Injekcija Bivalirudin
Injekcija Haloperidol lactate 5 mg/ml
3539
Savietojams
Injekcija Bivalirudin 5 mg/ml
Injekcija Heparin sodium 100 UI/ml
5% glikoze 1713
Savietojams
Injekcija Bivalirudin 5 mg/ml
Injekcija Hydrocortisone sodium succinate 50 mg/ml
Nātrija hlorīds 0.9% 1944
Savietojams
Injekcija Bivalirudin 5 mg/ml
Injekcija Hydrocortisone sodium succinate 50 mg/ml
5% glikoze 1944
Savietojams
Injekcija Bivalirudin 5 mg/ml
Injekcija Hydrocortisone sodium succinate 1 mg/ml
5% glikoze 1713
Savietojams
Injekcija Bivalirudin 5 mg/ml
Injekcija Hydromorphone hydrochloride 0.5 mg/ml
5% glikoze 1713
Savietojams
Injekcija Bivalirudin 5 mg/ml
Injekcija Isoprenaline hydrochloride 0.02 mg/ml
5% glikoze 1713
Neprecizēta nesaderība Nesavienojams
Injekcija Bivalirudin
Injekcija Labetalol hydrochloride 5 mg/ml
3539
Savietojams
Injekcija Bivalirudin 5 mg/ml
Injekcija Labetalol hydrochloride 2 mg/ml
5% glikoze 1713
Savietojams
Injekcija Bivalirudin
Injekcija Labetalol hydrochloride 2 mg/ml
3539
Savietojams
Injekcija Bivalirudin 5 mg/ml
Injekcija Levofloxacine 5 mg/ml
5% glikoze 1713
Savietojams
Injekcija Bivalirudin 5 mg/ml
Injekcija Lidocaine hydrochloride 10 mg/ml
5% glikoze 1713
Neprecizēta nesaderība Nesavienojams
Injekcija Bivalirudin
Injekcija Lorazepam 2 mg/ml
3539
Savietojams
Injekcija Bivalirudin
Injekcija Lorazepam 0.5 mg/ml
3539
Savietojams
Injekcija Bivalirudin 5 mg/ml
Injekcija Lorazepam 0.5 mg/ml
5% glikoze 1713
Savietojams
Injekcija Bivalirudin 5 mg/ml
Injekcija Magnesium sulfate 100 mg/ml
5% glikoze 1713
Savietojams
Injekcija Bivalirudin 5 mg/ml
Injekcija Mannitol 150 mg/ml
5% glikoze 1713
Savietojams
Injekcija Bivalirudin 5 mg/ml
Injekcija Methylprednisolone sodium succinate 5 mg/ml
5% glikoze 1713
Savietojams
Injekcija Bivalirudin 5 mg/ml
Injekcija Metoclopramide hydrochloride 5 mg/ml
5% glikoze 1713
Savietojams
Injekcija Bivalirudin 5 mg/ml
Injekcija Metoprolol tartrate 1 mg/ml
Nātrija hlorīds 0.9% 1944
Savietojams
Injekcija Bivalirudin 5 mg/ml
Injekcija Metoprolol tartrate 1 mg/ml
5% glikoze 1944
Savietojams
Injekcija Bivalirudin 5 mg/ml
Injekcija Metronidazole 5 mg/ml
5% glikoze 1713
Savietojams
Injekcija Bivalirudin 5 mg/ml
Injekcija Midazolam hydrochloride 2 mg/ml
5% glikoze 1944
Savietojams
Injekcija Bivalirudin 5 mg/ml
Injekcija Midazolam hydrochloride 1 mg/ml
5% glikoze 1713
Savietojams
Injekcija Bivalirudin 5 mg/ml
Injekcija Midazolam hydrochloride 2 mg/ml
Nātrija hlorīds 0.9% 1944
Savietojams
Injekcija Bivalirudin 5 mg/ml
Injekcija Milrinone lactate 0.2 mg/ml
5% glikoze 1713
Savietojams
Injekcija Bivalirudin 5 mg/ml
Injekcija Morphine sulfate 10 mg/ml
Nātrija hlorīds 0.9% 1944
Savietojams
Injekcija Bivalirudin 5 mg/ml
Injekcija Morphine sulfate 10 mg/ml
5% glikoze 1944
Savietojams
Injekcija Bivalirudin 5 mg/ml
Injekcija Morphine sulfate 1 mg/ml
5% glikoze 1713
Savietojams
Injekcija Bivalirudin 5 mg/ml
Injekcija Nalbuphine hydrochloride 10 mg/ml
5% glikoze 1713
Savietojams
Injekcija Bivalirudin 5 mg/ml
Injekcija Nitroprusside sodium 2 mg/ml
5% glikoze 1713
Savietojams
Injekcija Bivalirudin
Nātrija hlorīds 0.9% 3539
Savietojams
Injekcija Bivalirudin 5 mg/ml
Injekcija Nitroglycerin 0.4 mg/ml
5% glikoze 1713
Savietojams
Injekcija Bivalirudin 5 mg/ml
Injekcija Norepinephrine bitartrate 0.12 mg/ml
5% glikoze 1713
Savietojams
Injekcija Bivalirudin 5 mg/ml
Injekcija Ofloxacin 4 mg/ml
5% glikoze 1713
Savietojams
Injekcija Bivalirudin 5 mg/ml
Injekcija Pethidine hydrochloride 10 mg/ml
5% glikoze 1713
Savietojams
Injekcija Bivalirudin 5 mg/ml
Injekcija Phenylephrine hydrochloride 10 mg/ml
5% glikoze 1944
Savietojams
Injekcija Bivalirudin 5 mg/ml
Injekcija Phenylephrine hydrochloride 1 mg/ml
5% glikoze 1713
Savietojams
Injekcija Bivalirudin 5 mg/ml
Injekcija Phenylephrine hydrochloride 10 mg/ml
Nātrija hlorīds 0.9% 1944
Savietojams
Injekcija Bivalirudin 5 mg/ml
Injekcija Piperacillin sodium 40 mg/ml
5% glikoze 1713
Savietojams
Injekcija Bivalirudin 5 mg/ml
Injekcija Piperacillin sodium / tazobactam 40/5 mg/ml
5% glikoze 1713
Savietojams
Injekcija Bivalirudin 5 mg/ml
Injekcija Potassium chloride 100 mEq/l
5% glikoze 1713
Savietojams
Injekcija Bivalirudin 5 mg/ml
Injekcija Procainamide hydrochloride 10 mg/ml
5% glikoze 1713
Tūlītēji nokrišņi Nesavienojams
Injekcija Bivalirudin
Injekcija Prochlorperazine edysilate 25 mg/ml
3539
Tūlītēji nokrišņi Nesavienojams
Injekcija Bivalirudin 5 mg/ml
Injekcija Prochlorperazine edysilate 0.5 mg/ml
5% glikoze 1713
Savietojams
Injekcija Bivalirudin
Injekcija Promethazine hydrochloride 2 mg/ml
3539
Neprecizēta nesaderība Nesavienojams
Injekcija Bivalirudin
Injekcija Promethazine hydrochloride 25 mg/ml
3539
Savietojams
Injekcija Bivalirudin 5 mg/ml
Injekcija Promethazine hydrochloride 2 mg/ml
5% glikoze 1713
Savietojams
Injekcija Bivalirudin 5 mg/ml
Injekcija Ranitidine hydrochloride 2 mg/ml
5% glikoze 1713
Tūlītēji nokrišņi Nesavienojams
Injekcija Bivalirudin 5 mg/ml
Injekcija Reteplase 1 UI/ml
5% glikoze 1713
Tūlītēji nokrišņi Nesavienojams
Injekcija Bivalirudin
Injekcija Reteplase
3539
Savietojams
Injekcija Bivalirudin 5 mg/ml
Injekcija Sodium bicarbonate 84 mg/ml
5% glikoze 1713
Tūlītēji nokrišņi Nesavienojams
Injekcija Bivalirudin 5 mg/ml
Injekcija Streptokinase 30000 UI/ml
5% glikoze 1713
Tūlītēji nokrišņi Nesavienojams
Injekcija Bivalirudin
Injekcija Streptokinase
3539
Savietojams
Injekcija Bivalirudin 5 mg/ml
Injekcija Sufentanil citrate 0.05 mg/ml
5% glikoze 1713
Savietojams
Injekcija Bivalirudin 5 mg/ml
Injekcija Theophylline 4 mg/ml
5% glikoze 1713
Savietojams
Injekcija Bivalirudin 5 mg/ml
Injekcija Thiopental sodium 25 mg/ml
5% glikoze 1713
Savietojams
Injekcija Bivalirudin 5 mg/ml
Injekcija Ticarcillin / clavulanic acid 31 mg/ml
5% glikoze 1713
Savietojams
Injekcija Bivalirudin 5 mg/ml
Injekcija Tirofiban 50 µg/ml
5% glikoze 1713
Savietojams
Injekcija Bivalirudin 5 mg/ml
Injekcija Tobramycin sulfate 5 mg/ml
5% glikoze 1713
Tūlītēji nokrišņi Nesavienojams
Injekcija Bivalirudin 5 mg/ml
Injekcija Vancomycin hydrochloride 10 mg/ml
5% glikoze 1713
Tūlītēji nokrišņi Nesavienojams
Injekcija Bivalirudin
Injekcija Vancomycin hydrochloride
3539
Savietojams
Injekcija Bivalirudin 5 mg/ml
Injekcija Verapamil hydrochloride 2,5 mg/ml
Nātrija hlorīds 0.9% 1944
Savietojams
Injekcija Bivalirudin 5 mg/ml
Injekcija Verapamil hydrochloride 2,5 mg/ml
5% glikoze 1944
Savietojams
Injekcija Bivalirudin 5 mg/ml
Injekcija Verapamil hydrochloride 1.25 mg/ml
5% glikoze 1713
Savietojams
Injekcija Bivalirudin 5 mg/ml
Injekcija Warfarin sodium 2 mg/ml
5% glikoze 1713

  Mentions Légales