Utolsó frissítés :
18/03/2026
Véralvadásgátló   Bivalirudin  
Injekció
Az oldatok stabilitása A keverékek stabilitása Stabilitást befolyásoló tényezők Kompatibilitás Az alkalmazás módja Irodalom pdf
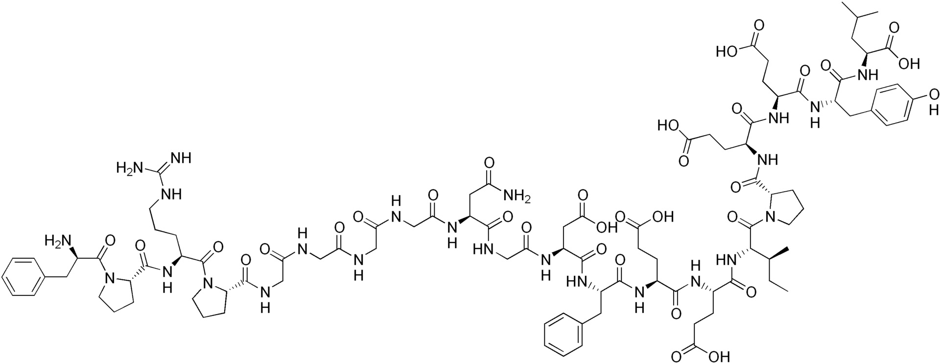
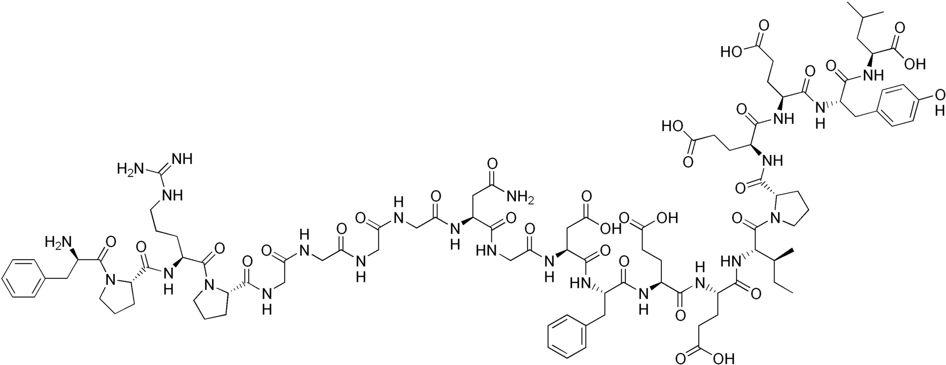
   Kémiai szerkezet   

Kereskedelmi név   Kereskedelmi név     

A kereskedelmi név meghatározó jelentőségű: a készítmények összetétele országonként, előállítóként eltérő lehet

Amuprux Argentína
Angiomax Amerikai Egyesült Államok, Ausztrália, Chile, Kanada, Peru, új-Zéland, Venezuela
Angiox Amerikai Egyesült Államok, Ausztria, Dánia, Finnország, Görögország, Hollandia, Izland, Lengyelország, Magyarország, Nagy-Britannia, Norvégia, Olaszország, Románia, Spanyolország, Szlovénia
Bivalirudin Belgium, Dánia, Finnország, Nagy-Britannia, Németország, Svédország, Szlovénia
Bivalirudina Olaszország, Spanyolország
Kompatibilitás   Injekció   Kompatibilitás : Bivalirudin              
Ovdje su prikazane kompatibilnosti ili nekompatibilnosti s tipom nekompatibilnosti (taloženje, promjena boje, modifikacija emulzije itd.) u ovom slučaju. Kompatibilnosti prikazane ovdje najčešće su fizikalne dok se kemijska stabilnost molekule rijetko procjenjuje. Procjena ovih mikstura je proučavana kako bi se razmotrila mogućnost primjene lijeka putem Y-mjesta. Ovi se podaci ne smiju koristiti za pripremu mikstura unaprijed u vrećicama ili štrcaljkama. Ova vrsta informacije se može pronaći u odjeljku « stabilnost u miksturama ».
Vegyület Oldószer Irodalom
Összeegyeztethető
Injekció Bivalirudin 5 mg/ml
Injekció Alfentanil hydrochloride 125 µg/ml
5% glükóz 1713
Azonnali csapadék Összeegyeztethetetlen
Injekció Bivalirudin 5 mg/ml
Injekció Alteplase 1 mg/ml
5% glükóz 1713
Azonnali csapadék Összeegyeztethetetlen
Injekció Bivalirudin
Injekció Alteplase
3539
Összeegyeztethető
Injekció Bivalirudin 5 mg/ml
Injekció Amikacin sulfate 5 mg/ml
5% glükóz 1713
Összeegyeztethető
Injekció Bivalirudin 5 mg/ml
Injekció Aminophylline 2.5 mg/ml
5% glükóz 1713
Azonnali csapadék Összeegyeztethetetlen
Injekció Bivalirudin
Injekció Amiodarone hydrochloride
3539
Azonnali zavarosság Összeegyeztethetetlen
Injekció Bivalirudin 5 mg/ml
Injekció Amiodarone hydrochloride 4 mg/ml
5% glükóz 1713
Azonnali csapadék Összeegyeztethetetlen
Injekció Bivalirudin
Injekció Amphotericin B
3539
Azonnali csapadék Összeegyeztethetetlen
Injekció Bivalirudin 5 mg/ml
Injekció Amphotericin B 0.6 mg/ml
5% glükóz 1713
Összeegyeztethető
Injekció Bivalirudin 5 mg/ml
Injekció Ampicillin sodium 20 mg/ml
5% glükóz 1713
Összeegyeztethető
Injekció Bivalirudin 5 mg/ml
Injekció Ampicillin sodium - sulbactam sodium 20/10 mg/ml
5% glükóz 1713
Összeegyeztethető
Injekció Bivalirudin 5 mg/ml
Injekció Atropine sulfate 0,4 mg/ml
5% glükóz 1944
Összeegyeztethető
Injekció Bivalirudin 5 mg/ml
Injekció Atropine sulfate 0,4 mg/ml
0,9% nátrium-klorid 1944
Összeegyeztethető
Injekció Bivalirudin 5 mg/ml
Injekció Azithromycine 2 mg/ml
5% glükóz 1713
Összeegyeztethető
Injekció Bivalirudin 5 mg/ml
Injekció Aztreonam 40 mg/ml
5% glükóz 1713
Összeegyeztethető
Injekció Bivalirudin 5 mg/ml
Injekció Bretylium tosilate 50 mg/ml
5% glükóz 1713
Összeegyeztethető
Injekció Bivalirudin 5 mg/ml
Injekció Bumetanide 0.04 mg/ml
5% glükóz 1713
Összeegyeztethető
Injekció Bivalirudin 5 mg/ml
Injekció Butorphanol tartrate 0.04 mg/ml
5% glükóz 1713
Összeegyeztethető
Injekció Bivalirudin 5 mg/ml
Injekció Calcium gluconate 40 mg/ml
5% glükóz 1713
Összeegyeztethető
Injekció Bivalirudin 5 mg/ml
Injekció Cefazolin sodium 20 mg/ml
5% glükóz 1713
Összeegyeztethető
Injekció Bivalirudin 5 mg/ml
Injekció Cefepime dihydrochloride 20 mg/ml
5% glükóz 1713
Összeegyeztethető
Injekció Bivalirudin 5 mg/ml
Injekció Cefoperazone sodium 40 mg/ml
5% glükóz 1713
Összeegyeztethető
Injekció Bivalirudin 5 mg/ml
Injekció Cefotaxime sodium 20 mg/ml
5% glükóz 1713
Összeegyeztethető
Injekció Bivalirudin 5 mg/ml
Injekció Ceftazidime 40 mg/ml
5% glükóz 1713
Azonnali csapadék Összeegyeztethetetlen
Injekció Bivalirudin
Injekció Chlorpromazine hydrochloride
3539
Összeegyeztethető
Injekció Bivalirudin
5% glükóz 3539
Összeegyeztethető
Injekció Bivalirudin 5 mg/ml
Injekció Cefoxitin sodium 20 mg/ml
5% glükóz 1713
Összeegyeztethető
Injekció Bivalirudin 5 mg/ml
Injekció Ceftizoxime sodium 20 mg/ml
5% glükóz 1713
Összeegyeztethető
Injekció Bivalirudin 5 mg/ml
Injekció Ceftriaxone disodium 20 mg/ml
5% glükóz 1713
Összeegyeztethető
Injekció Bivalirudin 5 mg/ml
Injekció Cefuroxime sodium 30 mg/ml
5% glükóz 1713
Azonnali csapadék Összeegyeztethetetlen
Injekció Bivalirudin 5 mg/ml
Injekció Chlorpromazine hydrochloride 2 mg/ml
5% glükóz 1713
Összeegyeztethető
Injekció Bivalirudin 5 mg/ml
Injekció Cimetidine hydrochloride 12 mg/ml
5% glükóz 1713
Összeegyeztethető
Injekció Bivalirudin 5 mg/ml
Injekció Ciprofloxacin lactate 2 mg/ml
5% glükóz 1713
Összeegyeztethető
Injekció Bivalirudin 5 mg/ml
Injekció Clindamycin phosphate 10 mg/ml
5% glükóz 1713
Összeegyeztethető
Injekció Bivalirudin 5 mg/ml
Injekció Co-trimoxazole 4/0.8 mg/ml
5% glükóz 1713
Összeegyeztethető
Injekció Bivalirudin 5 mg/ml
Injekció Dexamethasone sodium phosphate 1 mg/ml
5% glükóz 1713
Azonnali csapadék Összeegyeztethetetlen
Injekció Bivalirudin 5 mg/ml
Injekció Diazepam 5 mg/ml
5% glükóz 1713
Azonnali csapadék Összeegyeztethetetlen
Injekció Bivalirudin
Injekció Diazepam
3539
Összeegyeztethető
Injekció Bivalirudin 5 mg/ml
Injekció Digoxin 250 µg/ml
5% glükóz 1713
Összeegyeztethető
Injekció Bivalirudin 5 mg/ml
Injekció Diltiazem hydrochloride 5 mg/ml
0,9% nátrium-klorid 1944
Összeegyeztethető
Injekció Bivalirudin 5 mg/ml
Injekció Diltiazem hydrochloride 5 mg/ml
5% glükóz 1713
Összeegyeztethető
Injekció Bivalirudin 5 mg/ml
Injekció Diltiazem hydrochloride 5 mg/ml
5% glükóz 1944
Összeegyeztethető
Injekció Bivalirudin 5 mg/ml
Injekció Diphenhydramine hydrochloride 2 mg/ml
5% glükóz 1713
Összeegyeztethető
Injekció Bivalirudin 5 mg/ml
Injekció Dobutamine hydrochloride 4 mg/ml
5% glükóz 1713
Összeegyeztethető
Injekció Bivalirudin
Injekció Dobutamine hydrochloride 4 mg/ml
3539
Azonnali csapadék Összeegyeztethetetlen
Injekció Bivalirudin 5 mg/ml
Injekció Dobutamine hydrochloride 12,5 mg/ml
5% glükóz 1944
Meghatározatlan összeférhetetlenség Összeegyeztethetetlen
Injekció Bivalirudin
Injekció Dobutamine hydrochloride 12.5 mg/ml
3539
Azonnali csapadék Összeegyeztethetetlen
Injekció Bivalirudin 5 mg/ml
Injekció Dobutamine hydrochloride 12,5 mg/ml
0,9% nátrium-klorid 1944
Összeegyeztethető
Injekció Bivalirudin 5 mg/ml
Injekció Dopamine hydrochloride 80 mg/ml
0,9% nátrium-klorid 1944
Összeegyeztethető
Injekció Bivalirudin 5 mg/ml
Injekció Dopamine hydrochloride 80 mg/ml
5% glükóz 1944
Összeegyeztethető
Injekció Bivalirudin 5 mg/ml
Injekció Dopamine hydrochloride 3.2 mg/ml
5% glükóz 1713
Összeegyeztethető
Injekció Bivalirudin 5 mg/ml
Injekció Doxycycline hyclate 1 mg/ml
5% glükóz 1713
Összeegyeztethető
Injekció Bivalirudin 5 mg/ml
Injekció Droperidol 2.5 mg/ml
5% glükóz 1713
Összeegyeztethető
Injekció Bivalirudin 5 mg/ml
Injekció Enalaprilate 0.1 mg/ml
5% glükóz 1713
Összeegyeztethető
Injekció Bivalirudin 5 mg/ml
Injekció Ephedrine hydrochloride 5 mg/ml
5% glükóz 1713
Összeegyeztethető
Injekció Bivalirudin 5 mg/ml
Injekció Epinephrine hydrochloride 50 µg/ml
5% glükóz 1713
Összeegyeztethető
Injekció Bivalirudin 5 mg/ml
Injekció Eptifibatide 2 mg/ml
5% glükóz 1713
Összeegyeztethető
Injekció Bivalirudin 5 mg/ml
Injekció Erythromycin lactobionate 5 mg/ml
5% glükóz 1713
Összeegyeztethető
Injekció Bivalirudin 5 mg/ml
Injekció Esmolol hydrochloride 10 mg/ml
5% glükóz 1713
Összeegyeztethető
Injekció Bivalirudin
Injekció Famotidine 2 mg/ml
3539
Meghatározatlan összeférhetetlenség Összeegyeztethetetlen
Injekció Bivalirudin
Injekció Famotidine 10 mg/ml
3539
Összeegyeztethető
Injekció Bivalirudin 5 mg/ml
Injekció Famotidine 2 mg/ml
5% glükóz 1713
Összeegyeztethető
Injekció Bivalirudin 5 mg/ml
Injekció Fentanyl citrate 50 µg/ml
0,9% nátrium-klorid 1944
Összeegyeztethető
Injekció Bivalirudin 5 mg/ml
Injekció Fentanyl citrate 50 µg/ml
5% glükóz 1944
Összeegyeztethető
Injekció Bivalirudin 5 mg/ml
Injekció Fentanyl citrate 50 µg/ml
5% glükóz 1713
Összeegyeztethető
Injekció Bivalirudin 5 mg/ml
Injekció Fluconazole 2 mg/ml
5% glükóz 1713
Összeegyeztethető
Injekció Bivalirudin 5 mg/ml
Injekció Furosemide 3 mg/ml
5% glükóz 1713
Összeegyeztethető
Injekció Bivalirudin 5 mg/ml
Injekció Gentamicin sulfate 5 mg/ml
5% glükóz 1713
Összeegyeztethető
Injekció Bivalirudin
Injekció Haloperidol lactate 0.2 mg/ml
3539
Összeegyeztethető
Injekció Bivalirudin 5 mg/ml
Injekció Haloperidol lactate 0.2 mg/ml
5% glükóz 1713
Meghatározatlan összeférhetetlenség Összeegyeztethetetlen
Injekció Bivalirudin
Injekció Haloperidol lactate 5 mg/ml
3539
Összeegyeztethető
Injekció Bivalirudin 5 mg/ml
Injekció Heparin sodium 100 UI/ml
5% glükóz 1713
Összeegyeztethető
Injekció Bivalirudin 5 mg/ml
Injekció Hydrocortisone sodium succinate 50 mg/ml
0,9% nátrium-klorid 1944
Összeegyeztethető
Injekció Bivalirudin 5 mg/ml
Injekció Hydrocortisone sodium succinate 50 mg/ml
5% glükóz 1944
Összeegyeztethető
Injekció Bivalirudin 5 mg/ml
Injekció Hydrocortisone sodium succinate 1 mg/ml
5% glükóz 1713
Összeegyeztethető
Injekció Bivalirudin 5 mg/ml
Injekció Hydromorphone hydrochloride 0.5 mg/ml
5% glükóz 1713
Összeegyeztethető
Injekció Bivalirudin 5 mg/ml
Injekció Isoprenaline hydrochloride 0.02 mg/ml
5% glükóz 1713
Meghatározatlan összeférhetetlenség Összeegyeztethetetlen
Injekció Bivalirudin
Injekció Labetalol hydrochloride 5 mg/ml
3539
Összeegyeztethető
Injekció Bivalirudin 5 mg/ml
Injekció Labetalol hydrochloride 2 mg/ml
5% glükóz 1713
Összeegyeztethető
Injekció Bivalirudin
Injekció Labetalol hydrochloride 2 mg/ml
3539
Összeegyeztethető
Injekció Bivalirudin 5 mg/ml
Injekció Levofloxacine 5 mg/ml
5% glükóz 1713
Összeegyeztethető
Injekció Bivalirudin 5 mg/ml
Injekció Lidocaine hydrochloride 10 mg/ml
5% glükóz 1713
Meghatározatlan összeférhetetlenség Összeegyeztethetetlen
Injekció Bivalirudin
Injekció Lorazepam 2 mg/ml
3539
Összeegyeztethető
Injekció Bivalirudin
Injekció Lorazepam 0.5 mg/ml
3539
Összeegyeztethető
Injekció Bivalirudin 5 mg/ml
Injekció Lorazepam 0.5 mg/ml
5% glükóz 1713
Összeegyeztethető
Injekció Bivalirudin 5 mg/ml
Injekció Magnesium sulfate 100 mg/ml
5% glükóz 1713
Összeegyeztethető
Injekció Bivalirudin 5 mg/ml
Injekció Mannitol 150 mg/ml
5% glükóz 1713
Összeegyeztethető
Injekció Bivalirudin 5 mg/ml
Injekció Methylprednisolone sodium succinate 5 mg/ml
5% glükóz 1713
Összeegyeztethető
Injekció Bivalirudin 5 mg/ml
Injekció Metoclopramide hydrochloride 5 mg/ml
5% glükóz 1713
Összeegyeztethető
Injekció Bivalirudin 5 mg/ml
Injekció Metoprolol tartrate 1 mg/ml
0,9% nátrium-klorid 1944
Összeegyeztethető
Injekció Bivalirudin 5 mg/ml
Injekció Metoprolol tartrate 1 mg/ml
5% glükóz 1944
Összeegyeztethető
Injekció Bivalirudin 5 mg/ml
Injekció Metronidazole 5 mg/ml
5% glükóz 1713
Összeegyeztethető
Injekció Bivalirudin 5 mg/ml
Injekció Midazolam hydrochloride 2 mg/ml
5% glükóz 1944
Összeegyeztethető
Injekció Bivalirudin 5 mg/ml
Injekció Midazolam hydrochloride 1 mg/ml
5% glükóz 1713
Összeegyeztethető
Injekció Bivalirudin 5 mg/ml
Injekció Midazolam hydrochloride 2 mg/ml
0,9% nátrium-klorid 1944
Összeegyeztethető
Injekció Bivalirudin 5 mg/ml
Injekció Milrinone lactate 0.2 mg/ml
5% glükóz 1713
Összeegyeztethető
Injekció Bivalirudin 5 mg/ml
Injekció Morphine sulfate 10 mg/ml
0,9% nátrium-klorid 1944
Összeegyeztethető
Injekció Bivalirudin 5 mg/ml
Injekció Morphine sulfate 10 mg/ml
5% glükóz 1944
Összeegyeztethető
Injekció Bivalirudin 5 mg/ml
Injekció Morphine sulfate 1 mg/ml
5% glükóz 1713
Összeegyeztethető
Injekció Bivalirudin 5 mg/ml
Injekció Nalbuphine hydrochloride 10 mg/ml
5% glükóz 1713
Összeegyeztethető
Injekció Bivalirudin 5 mg/ml
Injekció Nitroprusside sodium 2 mg/ml
5% glükóz 1713
Összeegyeztethető
Injekció Bivalirudin
0,9% nátrium-klorid 3539
Összeegyeztethető
Injekció Bivalirudin 5 mg/ml
Injekció Nitroglycerin 0.4 mg/ml
5% glükóz 1713
Összeegyeztethető
Injekció Bivalirudin 5 mg/ml
Injekció Norepinephrine bitartrate 0.12 mg/ml
5% glükóz 1713
Összeegyeztethető
Injekció Bivalirudin 5 mg/ml
Injekció Ofloxacin 4 mg/ml
5% glükóz 1713
Összeegyeztethető
Injekció Bivalirudin 5 mg/ml
Injekció Pethidine hydrochloride 10 mg/ml
5% glükóz 1713
Összeegyeztethető
Injekció Bivalirudin 5 mg/ml
Injekció Phenylephrine hydrochloride 10 mg/ml
5% glükóz 1944
Összeegyeztethető
Injekció Bivalirudin 5 mg/ml
Injekció Phenylephrine hydrochloride 1 mg/ml
5% glükóz 1713
Összeegyeztethető
Injekció Bivalirudin 5 mg/ml
Injekció Phenylephrine hydrochloride 10 mg/ml
0,9% nátrium-klorid 1944
Összeegyeztethető
Injekció Bivalirudin 5 mg/ml
Injekció Piperacillin sodium 40 mg/ml
5% glükóz 1713
Összeegyeztethető
Injekció Bivalirudin 5 mg/ml
Injekció Piperacillin sodium / tazobactam 40/5 mg/ml
5% glükóz 1713
Összeegyeztethető
Injekció Bivalirudin 5 mg/ml
Injekció Potassium chloride 100 mEq/l
5% glükóz 1713
Összeegyeztethető
Injekció Bivalirudin 5 mg/ml
Injekció Procainamide hydrochloride 10 mg/ml
5% glükóz 1713
Azonnali csapadék Összeegyeztethetetlen
Injekció Bivalirudin
Injekció Prochlorperazine edysilate 25 mg/ml
3539
Azonnali csapadék Összeegyeztethetetlen
Injekció Bivalirudin 5 mg/ml
Injekció Prochlorperazine edysilate 0.5 mg/ml
5% glükóz 1713
Összeegyeztethető
Injekció Bivalirudin
Injekció Promethazine hydrochloride 2 mg/ml
3539
Meghatározatlan összeférhetetlenség Összeegyeztethetetlen
Injekció Bivalirudin
Injekció Promethazine hydrochloride 25 mg/ml
3539
Összeegyeztethető
Injekció Bivalirudin 5 mg/ml
Injekció Promethazine hydrochloride 2 mg/ml
5% glükóz 1713
Összeegyeztethető
Injekció Bivalirudin 5 mg/ml
Injekció Ranitidine hydrochloride 2 mg/ml
5% glükóz 1713
Azonnali csapadék Összeegyeztethetetlen
Injekció Bivalirudin 5 mg/ml
Injekció Reteplase 1 UI/ml
5% glükóz 1713
Azonnali csapadék Összeegyeztethetetlen
Injekció Bivalirudin
Injekció Reteplase
3539
Összeegyeztethető
Injekció Bivalirudin 5 mg/ml
Injekció Sodium bicarbonate 84 mg/ml
5% glükóz 1713
Azonnali csapadék Összeegyeztethetetlen
Injekció Bivalirudin 5 mg/ml
Injekció Streptokinase 30000 UI/ml
5% glükóz 1713
Azonnali csapadék Összeegyeztethetetlen
Injekció Bivalirudin
Injekció Streptokinase
3539
Összeegyeztethető
Injekció Bivalirudin 5 mg/ml
Injekció Sufentanil citrate 0.05 mg/ml
5% glükóz 1713
Összeegyeztethető
Injekció Bivalirudin 5 mg/ml
Injekció Theophylline 4 mg/ml
5% glükóz 1713
Összeegyeztethető
Injekció Bivalirudin 5 mg/ml
Injekció Thiopental sodium 25 mg/ml
5% glükóz 1713
Összeegyeztethető
Injekció Bivalirudin 5 mg/ml
Injekció Ticarcillin / clavulanic acid 31 mg/ml
5% glükóz 1713
Összeegyeztethető
Injekció Bivalirudin 5 mg/ml
Injekció Tirofiban 50 µg/ml
5% glükóz 1713
Összeegyeztethető
Injekció Bivalirudin 5 mg/ml
Injekció Tobramycin sulfate 5 mg/ml
5% glükóz 1713
Azonnali csapadék Összeegyeztethetetlen
Injekció Bivalirudin 5 mg/ml
Injekció Vancomycin hydrochloride 10 mg/ml
5% glükóz 1713
Azonnali csapadék Összeegyeztethetetlen
Injekció Bivalirudin
Injekció Vancomycin hydrochloride
3539
Összeegyeztethető
Injekció Bivalirudin 5 mg/ml
Injekció Verapamil hydrochloride 2,5 mg/ml
0,9% nátrium-klorid 1944
Összeegyeztethető
Injekció Bivalirudin 5 mg/ml
Injekció Verapamil hydrochloride 2,5 mg/ml
5% glükóz 1944
Összeegyeztethető
Injekció Bivalirudin 5 mg/ml
Injekció Verapamil hydrochloride 1.25 mg/ml
5% glükóz 1713
Összeegyeztethető
Injekció Bivalirudin 5 mg/ml
Injekció Warfarin sodium 2 mg/ml
5% glükóz 1713

  Mentions Légales