Last update :
18/03/2026
Anticoagulant   Bivalirudin  
injection
Stability in solutions Stability of mixtures Factors which affect stability Compatibility Route of administration References pdf
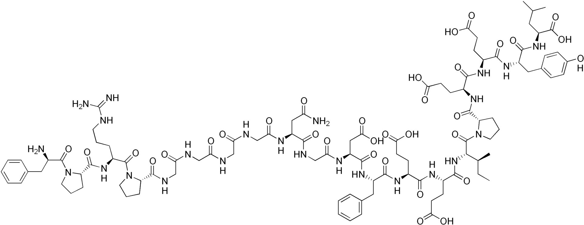
   Chemical structure  

Tradename   Tradename     

Trade names are indicative and excipients composition can be different depending on the country and manufacturers

Amuprux Argentina
Angiomax Australia, Canada, Chile, New Zealand, Peru, United States of America, Venezuela
Angiox Austria, Denmark, Finland, Great Britain, Greece, Hungary, Iceland, Italy, Netherlands, Norway, Poland, Romania, Slovenia, Spain, United States of America
Bivalirudin Belgium, Denmark, Finland, Germany, Great Britain, Slovenia, Sweden
Bivalirudina Italy, Spain
Compatibility   injection   Compatibility : Bivalirudin              
This screen indicates the compatibilities or incompatibilities with, in this case, the type of incompatibility (precipitation, color change, modification of an emulsion, etc.). The compatibilities shown here are mostly physical only, with the chemical stability of each molecule rarely being assessed. The evaluation of these mixtures was studied to consider the possibility of Y-site administration to the patient. These data cannot be used for making mixtures in advance in bags or syringes. This type of information is available in the screen "Stability in mixture ».
Compound Solvent References
Compatible
injection Bivalirudin 5 mg/ml
injection Alfentanil hydrochloride 125 µg/ml
Glucose 5% 1713
Immediate precipitation Incompatible
injection Bivalirudin 5 mg/ml
injection Alteplase 1 mg/ml
Glucose 5% 1713
Immediate precipitation Incompatible
injection Bivalirudin
injection Alteplase
3539
Compatible
injection Bivalirudin 5 mg/ml
injection Amikacin sulfate 5 mg/ml
Glucose 5% 1713
Compatible
injection Bivalirudin 5 mg/ml
injection Aminophylline 2.5 mg/ml
Glucose 5% 1713
Immediate precipitation Incompatible
injection Bivalirudin
injection Amiodarone hydrochloride
3539
Immediate turbidity Incompatible
injection Bivalirudin 5 mg/ml
injection Amiodarone hydrochloride 4 mg/ml
Glucose 5% 1713
Immediate precipitation Incompatible
injection Bivalirudin
injection Amphotericin B
3539
Immediate precipitation Incompatible
injection Bivalirudin 5 mg/ml
injection Amphotericin B 0.6 mg/ml
Glucose 5% 1713
Compatible
injection Bivalirudin 5 mg/ml
injection Ampicillin sodium 20 mg/ml
Glucose 5% 1713
Compatible
injection Bivalirudin 5 mg/ml
injection Ampicillin sodium - sulbactam sodium 20/10 mg/ml
Glucose 5% 1713
Compatible
injection Bivalirudin 5 mg/ml
injection Atropine sulfate 0,4 mg/ml
Glucose 5% 1944
Compatible
injection Bivalirudin 5 mg/ml
injection Atropine sulfate 0,4 mg/ml
Sodium chloride 0,9% 1944
Compatible
injection Bivalirudin 5 mg/ml
injection Azithromycine 2 mg/ml
Glucose 5% 1713
Compatible
injection Bivalirudin 5 mg/ml
injection Aztreonam 40 mg/ml
Glucose 5% 1713
Compatible
injection Bivalirudin 5 mg/ml
injection Bretylium tosilate 50 mg/ml
Glucose 5% 1713
Compatible
injection Bivalirudin 5 mg/ml
injection Bumetanide 0.04 mg/ml
Glucose 5% 1713
Compatible
injection Bivalirudin 5 mg/ml
injection Butorphanol tartrate 0.04 mg/ml
Glucose 5% 1713
Compatible
injection Bivalirudin 5 mg/ml
injection Calcium gluconate 40 mg/ml
Glucose 5% 1713
Compatible
injection Bivalirudin 5 mg/ml
injection Cefazolin sodium 20 mg/ml
Glucose 5% 1713
Compatible
injection Bivalirudin 5 mg/ml
injection Cefepime dihydrochloride 20 mg/ml
Glucose 5% 1713
Compatible
injection Bivalirudin 5 mg/ml
injection Cefoperazone sodium 40 mg/ml
Glucose 5% 1713
Compatible
injection Bivalirudin 5 mg/ml
injection Cefotaxime sodium 20 mg/ml
Glucose 5% 1713
Compatible
injection Bivalirudin 5 mg/ml
injection Ceftazidime 40 mg/ml
Glucose 5% 1713
Immediate precipitation Incompatible
injection Bivalirudin
injection Chlorpromazine hydrochloride
3539
Compatible
injection Bivalirudin
Glucose 5% 3539
Compatible
injection Bivalirudin 5 mg/ml
injection Cefoxitin sodium 20 mg/ml
Glucose 5% 1713
Compatible
injection Bivalirudin 5 mg/ml
injection Ceftizoxime sodium 20 mg/ml
Glucose 5% 1713
Compatible
injection Bivalirudin 5 mg/ml
injection Ceftriaxone disodium 20 mg/ml
Glucose 5% 1713
Compatible
injection Bivalirudin 5 mg/ml
injection Cefuroxime sodium 30 mg/ml
Glucose 5% 1713
Immediate precipitation Incompatible
injection Bivalirudin 5 mg/ml
injection Chlorpromazine hydrochloride 2 mg/ml
Glucose 5% 1713
Compatible
injection Bivalirudin 5 mg/ml
injection Cimetidine hydrochloride 12 mg/ml
Glucose 5% 1713
Compatible
injection Bivalirudin 5 mg/ml
injection Ciprofloxacin lactate 2 mg/ml
Glucose 5% 1713
Compatible
injection Bivalirudin 5 mg/ml
injection Clindamycin phosphate 10 mg/ml
Glucose 5% 1713
Compatible
injection Bivalirudin 5 mg/ml
injection Co-trimoxazole 4/0.8 mg/ml
Glucose 5% 1713
Compatible
injection Bivalirudin 5 mg/ml
injection Dexamethasone sodium phosphate 1 mg/ml
Glucose 5% 1713
Immediate precipitation Incompatible
injection Bivalirudin 5 mg/ml
injection Diazepam 5 mg/ml
Glucose 5% 1713
Immediate precipitation Incompatible
injection Bivalirudin
injection Diazepam
3539
Compatible
injection Bivalirudin 5 mg/ml
injection Digoxin 250 µg/ml
Glucose 5% 1713
Compatible
injection Bivalirudin 5 mg/ml
injection Diltiazem hydrochloride 5 mg/ml
Sodium chloride 0,9% 1944
Compatible
injection Bivalirudin 5 mg/ml
injection Diltiazem hydrochloride 5 mg/ml
Glucose 5% 1713
Compatible
injection Bivalirudin 5 mg/ml
injection Diltiazem hydrochloride 5 mg/ml
Glucose 5% 1944
Compatible
injection Bivalirudin 5 mg/ml
injection Diphenhydramine hydrochloride 2 mg/ml
Glucose 5% 1713
Compatible
injection Bivalirudin 5 mg/ml
injection Dobutamine hydrochloride 4 mg/ml
Glucose 5% 1713
Compatible
injection Bivalirudin
injection Dobutamine hydrochloride 4 mg/ml
3539
Immediate precipitation Incompatible
injection Bivalirudin 5 mg/ml
injection Dobutamine hydrochloride 12,5 mg/ml
Glucose 5% 1944
Unspecified incompatibility Incompatible
injection Bivalirudin
injection Dobutamine hydrochloride 12.5 mg/ml
3539
Immediate precipitation Incompatible
injection Bivalirudin 5 mg/ml
injection Dobutamine hydrochloride 12,5 mg/ml
Sodium chloride 0,9% 1944
Compatible
injection Bivalirudin 5 mg/ml
injection Dopamine hydrochloride 80 mg/ml
Sodium chloride 0,9% 1944
Compatible
injection Bivalirudin 5 mg/ml
injection Dopamine hydrochloride 80 mg/ml
Glucose 5% 1944
Compatible
injection Bivalirudin 5 mg/ml
injection Dopamine hydrochloride 3.2 mg/ml
Glucose 5% 1713
Compatible
injection Bivalirudin 5 mg/ml
injection Doxycycline hyclate 1 mg/ml
Glucose 5% 1713
Compatible
injection Bivalirudin 5 mg/ml
injection Droperidol 2.5 mg/ml
Glucose 5% 1713
Compatible
injection Bivalirudin 5 mg/ml
injection Enalaprilate 0.1 mg/ml
Glucose 5% 1713
Compatible
injection Bivalirudin 5 mg/ml
injection Ephedrine hydrochloride 5 mg/ml
Glucose 5% 1713
Compatible
injection Bivalirudin 5 mg/ml
injection Epinephrine hydrochloride 50 µg/ml
Glucose 5% 1713
Compatible
injection Bivalirudin 5 mg/ml
injection Eptifibatide 2 mg/ml
Glucose 5% 1713
Compatible
injection Bivalirudin 5 mg/ml
injection Erythromycin lactobionate 5 mg/ml
Glucose 5% 1713
Compatible
injection Bivalirudin 5 mg/ml
injection Esmolol hydrochloride 10 mg/ml
Glucose 5% 1713
Compatible
injection Bivalirudin
injection Famotidine 2 mg/ml
3539
Unspecified incompatibility Incompatible
injection Bivalirudin
injection Famotidine 10 mg/ml
3539
Compatible
injection Bivalirudin 5 mg/ml
injection Famotidine 2 mg/ml
Glucose 5% 1713
Compatible
injection Bivalirudin 5 mg/ml
injection Fentanyl citrate 50 µg/ml
Sodium chloride 0,9% 1944
Compatible
injection Bivalirudin 5 mg/ml
injection Fentanyl citrate 50 µg/ml
Glucose 5% 1944
Compatible
injection Bivalirudin 5 mg/ml
injection Fentanyl citrate 50 µg/ml
Glucose 5% 1713
Compatible
injection Bivalirudin 5 mg/ml
injection Fluconazole 2 mg/ml
Glucose 5% 1713
Compatible
injection Bivalirudin 5 mg/ml
injection Furosemide 3 mg/ml
Glucose 5% 1713
Compatible
injection Bivalirudin 5 mg/ml
injection Gentamicin sulfate 5 mg/ml
Glucose 5% 1713
Compatible
injection Bivalirudin
injection Haloperidol lactate 0.2 mg/ml
3539
Compatible
injection Bivalirudin 5 mg/ml
injection Haloperidol lactate 0.2 mg/ml
Glucose 5% 1713
Unspecified incompatibility Incompatible
injection Bivalirudin
injection Haloperidol lactate 5 mg/ml
3539
Compatible
injection Bivalirudin 5 mg/ml
injection Heparin sodium 100 UI/ml
Glucose 5% 1713
Compatible
injection Bivalirudin 5 mg/ml
injection Hydrocortisone sodium succinate 50 mg/ml
Sodium chloride 0,9% 1944
Compatible
injection Bivalirudin 5 mg/ml
injection Hydrocortisone sodium succinate 50 mg/ml
Glucose 5% 1944
Compatible
injection Bivalirudin 5 mg/ml
injection Hydrocortisone sodium succinate 1 mg/ml
Glucose 5% 1713
Compatible
injection Bivalirudin 5 mg/ml
injection Hydromorphone hydrochloride 0.5 mg/ml
Glucose 5% 1713
Compatible
injection Bivalirudin 5 mg/ml
injection Isoprenaline hydrochloride 0.02 mg/ml
Glucose 5% 1713
Unspecified incompatibility Incompatible
injection Bivalirudin
injection Labetalol hydrochloride 5 mg/ml
3539
Compatible
injection Bivalirudin 5 mg/ml
injection Labetalol hydrochloride 2 mg/ml
Glucose 5% 1713
Compatible
injection Bivalirudin
injection Labetalol hydrochloride 2 mg/ml
3539
Compatible
injection Bivalirudin 5 mg/ml
injection Levofloxacine 5 mg/ml
Glucose 5% 1713
Compatible
injection Bivalirudin 5 mg/ml
injection Lidocaine hydrochloride 10 mg/ml
Glucose 5% 1713
Unspecified incompatibility Incompatible
injection Bivalirudin
injection Lorazepam 2 mg/ml
3539
Compatible
injection Bivalirudin
injection Lorazepam 0.5 mg/ml
3539
Compatible
injection Bivalirudin 5 mg/ml
injection Lorazepam 0.5 mg/ml
Glucose 5% 1713
Compatible
injection Bivalirudin 5 mg/ml
injection Magnesium sulfate 100 mg/ml
Glucose 5% 1713
Compatible
injection Bivalirudin 5 mg/ml
injection Mannitol 150 mg/ml
Glucose 5% 1713
Compatible
injection Bivalirudin 5 mg/ml
injection Methylprednisolone sodium succinate 5 mg/ml
Glucose 5% 1713
Compatible
injection Bivalirudin 5 mg/ml
injection Metoclopramide hydrochloride 5 mg/ml
Glucose 5% 1713
Compatible
injection Bivalirudin 5 mg/ml
injection Metoprolol tartrate 1 mg/ml
Sodium chloride 0,9% 1944
Compatible
injection Bivalirudin 5 mg/ml
injection Metoprolol tartrate 1 mg/ml
Glucose 5% 1944
Compatible
injection Bivalirudin 5 mg/ml
injection Metronidazole 5 mg/ml
Glucose 5% 1713
Compatible
injection Bivalirudin 5 mg/ml
injection Midazolam hydrochloride 2 mg/ml
Glucose 5% 1944
Compatible
injection Bivalirudin 5 mg/ml
injection Midazolam hydrochloride 1 mg/ml
Glucose 5% 1713
Compatible
injection Bivalirudin 5 mg/ml
injection Midazolam hydrochloride 2 mg/ml
Sodium chloride 0,9% 1944
Compatible
injection Bivalirudin 5 mg/ml
injection Milrinone lactate 0.2 mg/ml
Glucose 5% 1713
Compatible
injection Bivalirudin 5 mg/ml
injection Morphine sulfate 10 mg/ml
Sodium chloride 0,9% 1944
Compatible
injection Bivalirudin 5 mg/ml
injection Morphine sulfate 10 mg/ml
Glucose 5% 1944
Compatible
injection Bivalirudin 5 mg/ml
injection Morphine sulfate 1 mg/ml
Glucose 5% 1713
Compatible
injection Bivalirudin 5 mg/ml
injection Nalbuphine hydrochloride 10 mg/ml
Glucose 5% 1713
Compatible
injection Bivalirudin 5 mg/ml
injection Nitroprusside sodium 2 mg/ml
Glucose 5% 1713
Compatible
injection Bivalirudin
Sodium chloride 0,9% 3539
Compatible
injection Bivalirudin 5 mg/ml
injection Nitroglycerin 0.4 mg/ml
Glucose 5% 1713
Compatible
injection Bivalirudin 5 mg/ml
injection Norepinephrine bitartrate 0.12 mg/ml
Glucose 5% 1713
Compatible
injection Bivalirudin 5 mg/ml
injection Ofloxacin 4 mg/ml
Glucose 5% 1713
Compatible
injection Bivalirudin 5 mg/ml
injection Pethidine hydrochloride 10 mg/ml
Glucose 5% 1713
Compatible
injection Bivalirudin 5 mg/ml
injection Phenylephrine hydrochloride 10 mg/ml
Glucose 5% 1944
Compatible
injection Bivalirudin 5 mg/ml
injection Phenylephrine hydrochloride 1 mg/ml
Glucose 5% 1713
Compatible
injection Bivalirudin 5 mg/ml
injection Phenylephrine hydrochloride 10 mg/ml
Sodium chloride 0,9% 1944
Compatible
injection Bivalirudin 5 mg/ml
injection Piperacillin sodium 40 mg/ml
Glucose 5% 1713
Compatible
injection Bivalirudin 5 mg/ml
injection Piperacillin sodium / tazobactam 40/5 mg/ml
Glucose 5% 1713
Compatible
injection Bivalirudin 5 mg/ml
injection Potassium chloride 100 mEq/l
Glucose 5% 1713
Compatible
injection Bivalirudin 5 mg/ml
injection Procainamide hydrochloride 10 mg/ml
Glucose 5% 1713
Immediate precipitation Incompatible
injection Bivalirudin
injection Prochlorperazine edysilate 25 mg/ml
3539
Immediate precipitation Incompatible
injection Bivalirudin 5 mg/ml
injection Prochlorperazine edysilate 0.5 mg/ml
Glucose 5% 1713
Compatible
injection Bivalirudin
injection Promethazine hydrochloride 2 mg/ml
3539
Unspecified incompatibility Incompatible
injection Bivalirudin
injection Promethazine hydrochloride 25 mg/ml
3539
Compatible
injection Bivalirudin 5 mg/ml
injection Promethazine hydrochloride 2 mg/ml
Glucose 5% 1713
Compatible
injection Bivalirudin 5 mg/ml
injection Ranitidine hydrochloride 2 mg/ml
Glucose 5% 1713
Immediate precipitation Incompatible
injection Bivalirudin 5 mg/ml
injection Reteplase 1 UI/ml
Glucose 5% 1713
Immediate precipitation Incompatible
injection Bivalirudin
injection Reteplase
3539
Compatible
injection Bivalirudin 5 mg/ml
injection Sodium bicarbonate 84 mg/ml
Glucose 5% 1713
Immediate precipitation Incompatible
injection Bivalirudin 5 mg/ml
injection Streptokinase 30000 UI/ml
Glucose 5% 1713
Immediate precipitation Incompatible
injection Bivalirudin
injection Streptokinase
3539
Compatible
injection Bivalirudin 5 mg/ml
injection Sufentanil citrate 0.05 mg/ml
Glucose 5% 1713
Compatible
injection Bivalirudin 5 mg/ml
injection Theophylline 4 mg/ml
Glucose 5% 1713
Compatible
injection Bivalirudin 5 mg/ml
injection Thiopental sodium 25 mg/ml
Glucose 5% 1713
Compatible
injection Bivalirudin 5 mg/ml
injection Ticarcillin / clavulanic acid 31 mg/ml
Glucose 5% 1713
Compatible
injection Bivalirudin 5 mg/ml
injection Tirofiban 50 µg/ml
Glucose 5% 1713
Compatible
injection Bivalirudin 5 mg/ml
injection Tobramycin sulfate 5 mg/ml
Glucose 5% 1713
Immediate precipitation Incompatible
injection Bivalirudin 5 mg/ml
injection Vancomycin hydrochloride 10 mg/ml
Glucose 5% 1713
Immediate precipitation Incompatible
injection Bivalirudin
injection Vancomycin hydrochloride
3539
Compatible
injection Bivalirudin 5 mg/ml
injection Verapamil hydrochloride 2,5 mg/ml
Sodium chloride 0,9% 1944
Compatible
injection Bivalirudin 5 mg/ml
injection Verapamil hydrochloride 2,5 mg/ml
Glucose 5% 1944
Compatible
injection Bivalirudin 5 mg/ml
injection Verapamil hydrochloride 1.25 mg/ml
Glucose 5% 1713
Compatible
injection Bivalirudin 5 mg/ml
injection Warfarin sodium 2 mg/ml
Glucose 5% 1713

  Mentions Légales