Ultimo aggiornamento :
03/02/2026
Anticoagulante   Bivalirudin  
Iniezione
Stabilità in soluzione Stabilità in miscela Fattori che influenzano la stabilità Compatibilità metodo di iniezione Bibliografia pdf
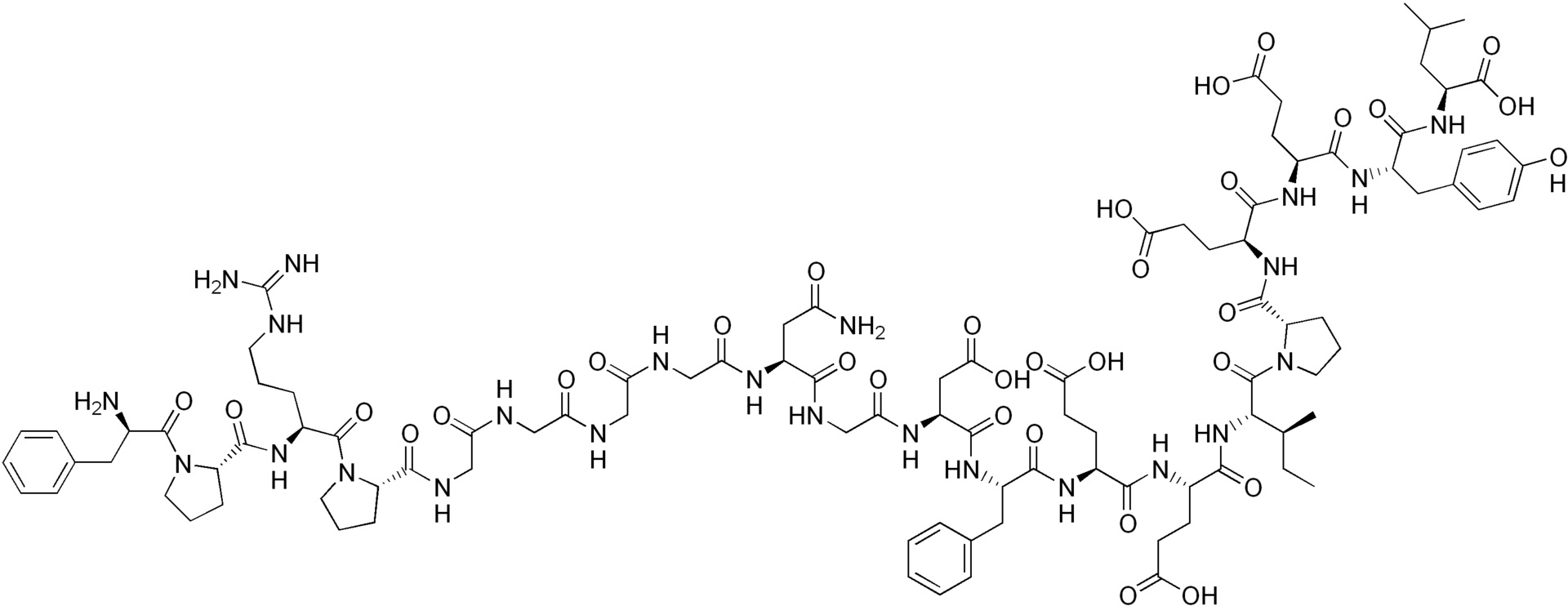
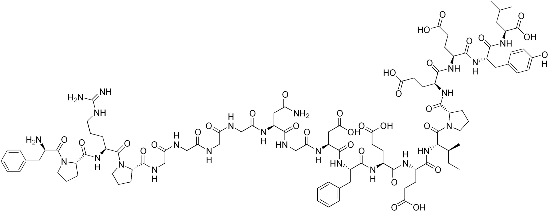
   Struttura chimica  

Nome commerciale   Nome commerciale     

Trade names are indicative and excipients composition can be different depending on the country and manufacturers

Amuprux Argentina
Angiomax Australia, Canada, Chile, nuova Zelanda, Perù, Stati Uniti d’America, Venezuela
Angiox Austria, Danimarca, Finlandia, Gran Bretagna, Grecia, Islanda, Italia, Norvegia, Paesi Bassi, Polonia, Romania, Slovenia, Spagna, Stati Uniti d’America, Ungheria
Bivalirudin Belgio, Danimarca, Finlandia, Germania, Gran Bretagna, Slovenia, Svezia
Bivalirudina Italia, Spagna
metodo di iniezione   metodo di iniezione :Bivalirudin     
Voie
Endovenosa

  Mentions Légales