Última actualización :
18/03/2026
Anticoagulante   Bivalirudin  
Inyectables
Estabilidad en solucion Estabilidad en mezcla Factores que influyen sobre la estabilidad Compatibilidades método de inyección Bibliografía pdf
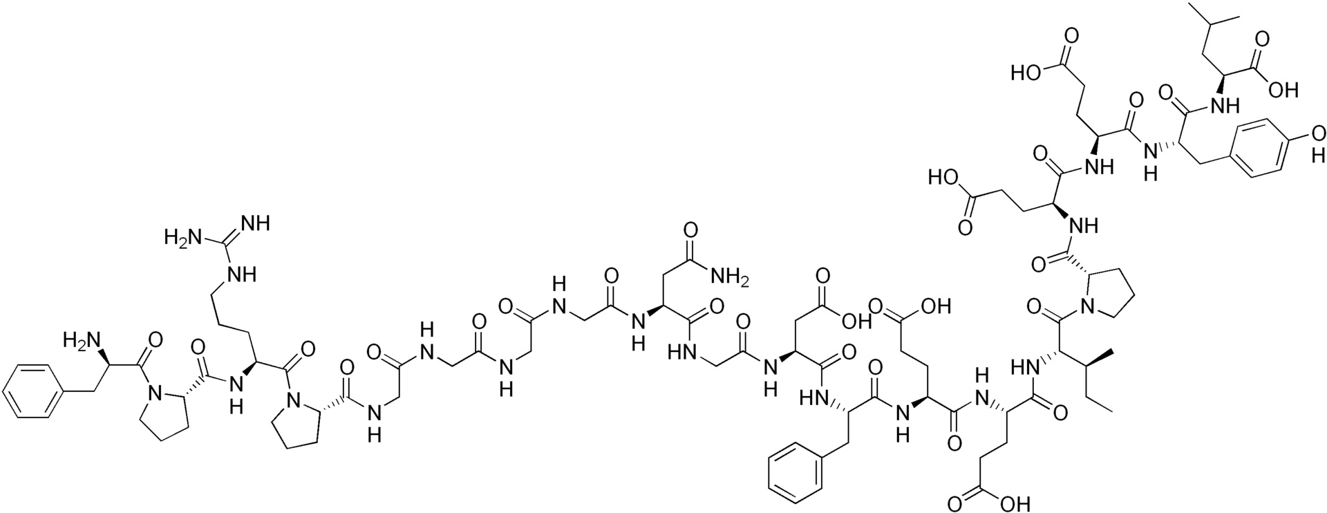
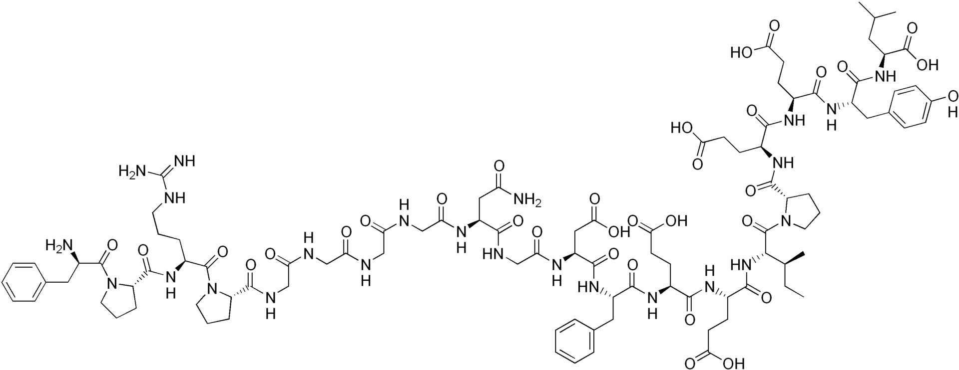
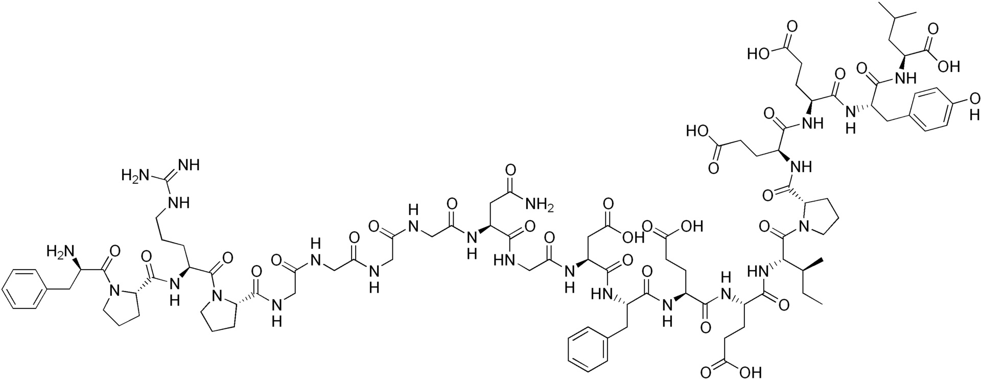
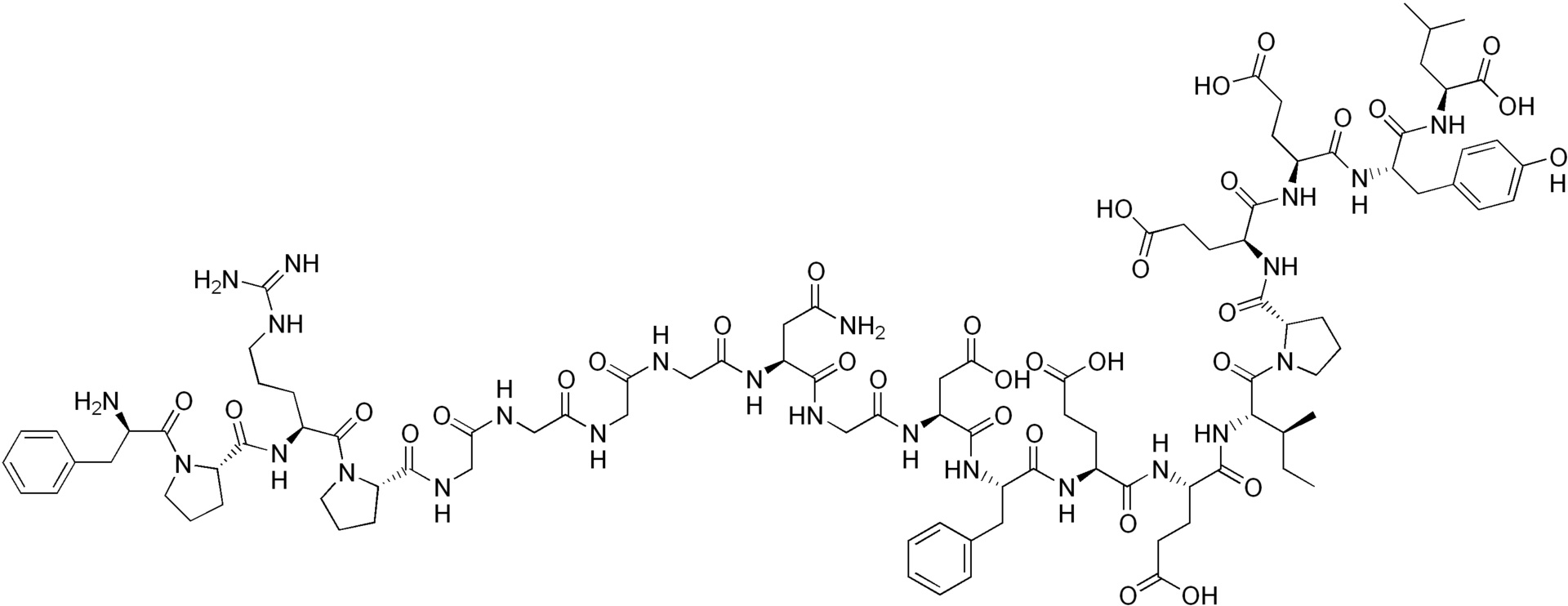
   Estructura química  

Nombre comercial   Nombre comercial     

Los nombres comerciales son orientativos y los excipientes de la formulación pueden ser distintos dependiendo del país y del laboratorio fabricante.

Amuprux Argentina
Angiomax Australia, Canadá, Chile, Estados Unidos de América, Marruecos, Nueva Zelanda, Venezuela
Angiox Austria, Dinamarca, Eslovenia, España, Estados Unidos de América, Finlandia, Gran Bretaña, Grecia, Hungría, Islandia, Italia, Noruega, Países Bajos, Polonia, Rumania
Bivalirudin Alemania, Bélgica, Dinamarca, Eslovenia, Finlandia, Gran Bretaña, Suecia
Bivalirudina España, Italia
Compatibilidades   Inyectables   Compatibilidades : Bivalirudin              
Esta pantalla muestra las compatibilidades o incompatibilidades, así como el tipo de incompatibilidad (precipitación, cambio de color, modificación de una emulsión, etc). Las compatibilidades que se recogen aquí son fundamentalmente físicas, mostrando raramente la estabilidad química de la molécula. La evaluación de estas mezclas se estudió con el fin de de comprobar la posibilidad de administración en Y al paciente. Estos datos no pueden utilizarse en el caso de la preparación de mezclas dentro de bolsas o jeringas. Este tipo de información está disponible en la pantalla “Estabilidad en mezcla”.
Molécula Solvente Bibliografía
Compatible
Inyectables Bivalirudin 5 mg/ml
Inyectables Alfentanil hydrochloride 125 µg/ml
Glucosa 5% 1713
Precipitación inmediata Incompatible
Inyectables Bivalirudin 5 mg/ml
Inyectables Alteplase 1 mg/ml
Glucosa 5% 1713
Precipitación inmediata Incompatible
Inyectables Bivalirudin
Inyectables Alteplase
3539
Compatible
Inyectables Bivalirudin 5 mg/ml
Inyectables Amikacin sulfate 5 mg/ml
Glucosa 5% 1713
Compatible
Inyectables Bivalirudin 5 mg/ml
Inyectables Aminophylline 2.5 mg/ml
Glucosa 5% 1713
Precipitación inmediata Incompatible
Inyectables Bivalirudin
Inyectables Amiodarone hydrochloride
3539
Turbidez inmediata Incompatible
Inyectables Bivalirudin 5 mg/ml
Inyectables Amiodarone hydrochloride 4 mg/ml
Glucosa 5% 1713
Precipitación inmediata Incompatible
Inyectables Bivalirudin
Inyectables Amphotericin B
3539
Precipitación inmediata Incompatible
Inyectables Bivalirudin 5 mg/ml
Inyectables Amphotericin B 0.6 mg/ml
Glucosa 5% 1713
Compatible
Inyectables Bivalirudin 5 mg/ml
Inyectables Ampicillin sodium 20 mg/ml
Glucosa 5% 1713
Compatible
Inyectables Bivalirudin 5 mg/ml
Inyectables Ampicillin sodium - sulbactam sodium 20/10 mg/ml
Glucosa 5% 1713
Compatible
Inyectables Bivalirudin 5 mg/ml
Inyectables Atropine sulfate 0,4 mg/ml
Glucosa 5% 1944
Compatible
Inyectables Bivalirudin 5 mg/ml
Inyectables Atropine sulfate 0,4 mg/ml
Cloruro de sodio 0,9% 1944
Compatible
Inyectables Bivalirudin 5 mg/ml
Inyectables Azithromycine 2 mg/ml
Glucosa 5% 1713
Compatible
Inyectables Bivalirudin 5 mg/ml
Inyectables Aztreonam 40 mg/ml
Glucosa 5% 1713
Compatible
Inyectables Bivalirudin 5 mg/ml
Inyectables Bretylium tosilate 50 mg/ml
Glucosa 5% 1713
Compatible
Inyectables Bivalirudin 5 mg/ml
Inyectables Bumetanide 0.04 mg/ml
Glucosa 5% 1713
Compatible
Inyectables Bivalirudin 5 mg/ml
Inyectables Butorphanol tartrate 0.04 mg/ml
Glucosa 5% 1713
Compatible
Inyectables Bivalirudin 5 mg/ml
Inyectables Calcium gluconate 40 mg/ml
Glucosa 5% 1713
Compatible
Inyectables Bivalirudin 5 mg/ml
Inyectables Cefazolin sodium 20 mg/ml
Glucosa 5% 1713
Compatible
Inyectables Bivalirudin 5 mg/ml
Inyectables Cefepime dihydrochloride 20 mg/ml
Glucosa 5% 1713
Compatible
Inyectables Bivalirudin 5 mg/ml
Inyectables Cefoperazone sodium 40 mg/ml
Glucosa 5% 1713
Compatible
Inyectables Bivalirudin 5 mg/ml
Inyectables Cefotaxime sodium 20 mg/ml
Glucosa 5% 1713
Compatible
Inyectables Bivalirudin 5 mg/ml
Inyectables Ceftazidime 40 mg/ml
Glucosa 5% 1713
Precipitación inmediata Incompatible
Inyectables Bivalirudin
Inyectables Chlorpromazine hydrochloride
3539
Compatible
Inyectables Bivalirudin
Glucosa 5% 3539
Compatible
Inyectables Bivalirudin 5 mg/ml
Inyectables Cefoxitin sodium 20 mg/ml
Glucosa 5% 1713
Compatible
Inyectables Bivalirudin 5 mg/ml
Inyectables Ceftizoxime sodium 20 mg/ml
Glucosa 5% 1713
Compatible
Inyectables Bivalirudin 5 mg/ml
Inyectables Ceftriaxone disodium 20 mg/ml
Glucosa 5% 1713
Compatible
Inyectables Bivalirudin 5 mg/ml
Inyectables Cefuroxime sodium 30 mg/ml
Glucosa 5% 1713
Precipitación inmediata Incompatible
Inyectables Bivalirudin 5 mg/ml
Inyectables Chlorpromazine hydrochloride 2 mg/ml
Glucosa 5% 1713
Compatible
Inyectables Bivalirudin 5 mg/ml
Inyectables Cimetidine hydrochloride 12 mg/ml
Glucosa 5% 1713
Compatible
Inyectables Bivalirudin 5 mg/ml
Inyectables Ciprofloxacin lactate 2 mg/ml
Glucosa 5% 1713
Compatible
Inyectables Bivalirudin 5 mg/ml
Inyectables Clindamycin phosphate 10 mg/ml
Glucosa 5% 1713
Compatible
Inyectables Bivalirudin 5 mg/ml
Inyectables Co-trimoxazole 4/0.8 mg/ml
Glucosa 5% 1713
Compatible
Inyectables Bivalirudin 5 mg/ml
Inyectables Dexamethasone sodium phosphate 1 mg/ml
Glucosa 5% 1713
Precipitación inmediata Incompatible
Inyectables Bivalirudin 5 mg/ml
Inyectables Diazepam 5 mg/ml
Glucosa 5% 1713
Precipitación inmediata Incompatible
Inyectables Bivalirudin
Inyectables Diazepam
3539
Compatible
Inyectables Bivalirudin 5 mg/ml
Inyectables Digoxin 250 µg/ml
Glucosa 5% 1713
Compatible
Inyectables Bivalirudin 5 mg/ml
Inyectables Diltiazem hydrochloride 5 mg/ml
Cloruro de sodio 0,9% 1944
Compatible
Inyectables Bivalirudin 5 mg/ml
Inyectables Diltiazem hydrochloride 5 mg/ml
Glucosa 5% 1713
Compatible
Inyectables Bivalirudin 5 mg/ml
Inyectables Diltiazem hydrochloride 5 mg/ml
Glucosa 5% 1944
Compatible
Inyectables Bivalirudin 5 mg/ml
Inyectables Diphenhydramine hydrochloride 2 mg/ml
Glucosa 5% 1713
Compatible
Inyectables Bivalirudin 5 mg/ml
Inyectables Dobutamine hydrochloride 4 mg/ml
Glucosa 5% 1713
Compatible
Inyectables Bivalirudin
Inyectables Dobutamine hydrochloride 4 mg/ml
3539
Precipitación inmediata Incompatible
Inyectables Bivalirudin 5 mg/ml
Inyectables Dobutamine hydrochloride 12,5 mg/ml
Glucosa 5% 1944
Incompatibilidad no especificada Incompatible
Inyectables Bivalirudin
Inyectables Dobutamine hydrochloride 12.5 mg/ml
3539
Precipitación inmediata Incompatible
Inyectables Bivalirudin 5 mg/ml
Inyectables Dobutamine hydrochloride 12,5 mg/ml
Cloruro de sodio 0,9% 1944
Compatible
Inyectables Bivalirudin 5 mg/ml
Inyectables Dopamine hydrochloride 80 mg/ml
Cloruro de sodio 0,9% 1944
Compatible
Inyectables Bivalirudin 5 mg/ml
Inyectables Dopamine hydrochloride 80 mg/ml
Glucosa 5% 1944
Compatible
Inyectables Bivalirudin 5 mg/ml
Inyectables Dopamine hydrochloride 3.2 mg/ml
Glucosa 5% 1713
Compatible
Inyectables Bivalirudin 5 mg/ml
Inyectables Doxycycline hyclate 1 mg/ml
Glucosa 5% 1713
Compatible
Inyectables Bivalirudin 5 mg/ml
Inyectables Droperidol 2.5 mg/ml
Glucosa 5% 1713
Compatible
Inyectables Bivalirudin 5 mg/ml
Inyectables Enalaprilate 0.1 mg/ml
Glucosa 5% 1713
Compatible
Inyectables Bivalirudin 5 mg/ml
Inyectables Ephedrine hydrochloride 5 mg/ml
Glucosa 5% 1713
Compatible
Inyectables Bivalirudin 5 mg/ml
Inyectables Epinephrine hydrochloride 50 µg/ml
Glucosa 5% 1713
Compatible
Inyectables Bivalirudin 5 mg/ml
Inyectables Eptifibatide 2 mg/ml
Glucosa 5% 1713
Compatible
Inyectables Bivalirudin 5 mg/ml
Inyectables Erythromycin lactobionate 5 mg/ml
Glucosa 5% 1713
Compatible
Inyectables Bivalirudin 5 mg/ml
Inyectables Esmolol hydrochloride 10 mg/ml
Glucosa 5% 1713
Compatible
Inyectables Bivalirudin
Inyectables Famotidine 2 mg/ml
3539
Incompatibilidad no especificada Incompatible
Inyectables Bivalirudin
Inyectables Famotidine 10 mg/ml
3539
Compatible
Inyectables Bivalirudin 5 mg/ml
Inyectables Famotidine 2 mg/ml
Glucosa 5% 1713
Compatible
Inyectables Bivalirudin 5 mg/ml
Inyectables Fentanyl citrate 50 µg/ml
Cloruro de sodio 0,9% 1944
Compatible
Inyectables Bivalirudin 5 mg/ml
Inyectables Fentanyl citrate 50 µg/ml
Glucosa 5% 1944
Compatible
Inyectables Bivalirudin 5 mg/ml
Inyectables Fentanyl citrate 50 µg/ml
Glucosa 5% 1713
Compatible
Inyectables Bivalirudin 5 mg/ml
Inyectables Fluconazole 2 mg/ml
Glucosa 5% 1713
Compatible
Inyectables Bivalirudin 5 mg/ml
Inyectables Furosemide 3 mg/ml
Glucosa 5% 1713
Compatible
Inyectables Bivalirudin 5 mg/ml
Inyectables Gentamicin sulfate 5 mg/ml
Glucosa 5% 1713
Compatible
Inyectables Bivalirudin
Inyectables Haloperidol lactate 0.2 mg/ml
3539
Compatible
Inyectables Bivalirudin 5 mg/ml
Inyectables Haloperidol lactate 0.2 mg/ml
Glucosa 5% 1713
Incompatibilidad no especificada Incompatible
Inyectables Bivalirudin
Inyectables Haloperidol lactate 5 mg/ml
3539
Compatible
Inyectables Bivalirudin 5 mg/ml
Inyectables Heparin sodium 100 UI/ml
Glucosa 5% 1713
Compatible
Inyectables Bivalirudin 5 mg/ml
Inyectables Hydrocortisone sodium succinate 50 mg/ml
Cloruro de sodio 0,9% 1944
Compatible
Inyectables Bivalirudin 5 mg/ml
Inyectables Hydrocortisone sodium succinate 50 mg/ml
Glucosa 5% 1944
Compatible
Inyectables Bivalirudin 5 mg/ml
Inyectables Hydrocortisone sodium succinate 1 mg/ml
Glucosa 5% 1713
Compatible
Inyectables Bivalirudin 5 mg/ml
Inyectables Hydromorphone hydrochloride 0.5 mg/ml
Glucosa 5% 1713
Compatible
Inyectables Bivalirudin 5 mg/ml
Inyectables Isoprenaline hydrochloride 0.02 mg/ml
Glucosa 5% 1713
Incompatibilidad no especificada Incompatible
Inyectables Bivalirudin
Inyectables Labetalol hydrochloride 5 mg/ml
3539
Compatible
Inyectables Bivalirudin 5 mg/ml
Inyectables Labetalol hydrochloride 2 mg/ml
Glucosa 5% 1713
Compatible
Inyectables Bivalirudin
Inyectables Labetalol hydrochloride 2 mg/ml
3539
Compatible
Inyectables Bivalirudin 5 mg/ml
Inyectables Levofloxacine 5 mg/ml
Glucosa 5% 1713
Compatible
Inyectables Bivalirudin 5 mg/ml
Inyectables Lidocaine hydrochloride 10 mg/ml
Glucosa 5% 1713
Incompatibilidad no especificada Incompatible
Inyectables Bivalirudin
Inyectables Lorazepam 2 mg/ml
3539
Compatible
Inyectables Bivalirudin
Inyectables Lorazepam 0.5 mg/ml
3539
Compatible
Inyectables Bivalirudin 5 mg/ml
Inyectables Lorazepam 0.5 mg/ml
Glucosa 5% 1713
Compatible
Inyectables Bivalirudin 5 mg/ml
Inyectables Magnesium sulfate 100 mg/ml
Glucosa 5% 1713
Compatible
Inyectables Bivalirudin 5 mg/ml
Inyectables Mannitol 150 mg/ml
Glucosa 5% 1713
Compatible
Inyectables Bivalirudin 5 mg/ml
Inyectables Methylprednisolone sodium succinate 5 mg/ml
Glucosa 5% 1713
Compatible
Inyectables Bivalirudin 5 mg/ml
Inyectables Metoclopramide hydrochloride 5 mg/ml
Glucosa 5% 1713
Compatible
Inyectables Bivalirudin 5 mg/ml
Inyectables Metoprolol tartrate 1 mg/ml
Cloruro de sodio 0,9% 1944
Compatible
Inyectables Bivalirudin 5 mg/ml
Inyectables Metoprolol tartrate 1 mg/ml
Glucosa 5% 1944
Compatible
Inyectables Bivalirudin 5 mg/ml
Inyectables Metronidazole 5 mg/ml
Glucosa 5% 1713
Compatible
Inyectables Bivalirudin 5 mg/ml
Inyectables Midazolam hydrochloride 2 mg/ml
Glucosa 5% 1944
Compatible
Inyectables Bivalirudin 5 mg/ml
Inyectables Midazolam hydrochloride 1 mg/ml
Glucosa 5% 1713
Compatible
Inyectables Bivalirudin 5 mg/ml
Inyectables Midazolam hydrochloride 2 mg/ml
Cloruro de sodio 0,9% 1944
Compatible
Inyectables Bivalirudin 5 mg/ml
Inyectables Milrinone lactate 0.2 mg/ml
Glucosa 5% 1713
Compatible
Inyectables Bivalirudin 5 mg/ml
Inyectables Morphine sulfate 10 mg/ml
Cloruro de sodio 0,9% 1944
Compatible
Inyectables Bivalirudin 5 mg/ml
Inyectables Morphine sulfate 10 mg/ml
Glucosa 5% 1944
Compatible
Inyectables Bivalirudin 5 mg/ml
Inyectables Morphine sulfate 1 mg/ml
Glucosa 5% 1713
Compatible
Inyectables Bivalirudin 5 mg/ml
Inyectables Nalbuphine hydrochloride 10 mg/ml
Glucosa 5% 1713
Compatible
Inyectables Bivalirudin 5 mg/ml
Inyectables Nitroprusside sodium 2 mg/ml
Glucosa 5% 1713
Compatible
Inyectables Bivalirudin
Cloruro de sodio 0,9% 3539
Compatible
Inyectables Bivalirudin 5 mg/ml
Inyectables Nitroglycerin 0.4 mg/ml
Glucosa 5% 1713
Compatible
Inyectables Bivalirudin 5 mg/ml
Inyectables Norepinephrine bitartrate 0.12 mg/ml
Glucosa 5% 1713
Compatible
Inyectables Bivalirudin 5 mg/ml
Inyectables Ofloxacin 4 mg/ml
Glucosa 5% 1713
Compatible
Inyectables Bivalirudin 5 mg/ml
Inyectables Pethidine hydrochloride 10 mg/ml
Glucosa 5% 1713
Compatible
Inyectables Bivalirudin 5 mg/ml
Inyectables Phenylephrine hydrochloride 10 mg/ml
Glucosa 5% 1944
Compatible
Inyectables Bivalirudin 5 mg/ml
Inyectables Phenylephrine hydrochloride 1 mg/ml
Glucosa 5% 1713
Compatible
Inyectables Bivalirudin 5 mg/ml
Inyectables Phenylephrine hydrochloride 10 mg/ml
Cloruro de sodio 0,9% 1944
Compatible
Inyectables Bivalirudin 5 mg/ml
Inyectables Piperacillin sodium 40 mg/ml
Glucosa 5% 1713
Compatible
Inyectables Bivalirudin 5 mg/ml
Inyectables Piperacillin sodium / tazobactam 40/5 mg/ml
Glucosa 5% 1713
Compatible
Inyectables Bivalirudin 5 mg/ml
Inyectables Potassium chloride 100 mEq/l
Glucosa 5% 1713
Compatible
Inyectables Bivalirudin 5 mg/ml
Inyectables Procainamide hydrochloride 10 mg/ml
Glucosa 5% 1713
Precipitación inmediata Incompatible
Inyectables Bivalirudin
Inyectables Prochlorperazine edysilate 25 mg/ml
3539
Precipitación inmediata Incompatible
Inyectables Bivalirudin 5 mg/ml
Inyectables Prochlorperazine edysilate 0.5 mg/ml
Glucosa 5% 1713
Compatible
Inyectables Bivalirudin
Inyectables Promethazine hydrochloride 2 mg/ml
3539
Incompatibilidad no especificada Incompatible
Inyectables Bivalirudin
Inyectables Promethazine hydrochloride 25 mg/ml
3539
Compatible
Inyectables Bivalirudin 5 mg/ml
Inyectables Promethazine hydrochloride 2 mg/ml
Glucosa 5% 1713
Compatible
Inyectables Bivalirudin 5 mg/ml
Inyectables Ranitidine hydrochloride 2 mg/ml
Glucosa 5% 1713
Precipitación inmediata Incompatible
Inyectables Bivalirudin 5 mg/ml
Inyectables Reteplase 1 UI/ml
Glucosa 5% 1713
Precipitación inmediata Incompatible
Inyectables Bivalirudin
Inyectables Reteplase
3539
Compatible
Inyectables Bivalirudin 5 mg/ml
Inyectables Sodium bicarbonate 84 mg/ml
Glucosa 5% 1713
Precipitación inmediata Incompatible
Inyectables Bivalirudin 5 mg/ml
Inyectables Streptokinase 30000 UI/ml
Glucosa 5% 1713
Precipitación inmediata Incompatible
Inyectables Bivalirudin
Inyectables Streptokinase
3539
Compatible
Inyectables Bivalirudin 5 mg/ml
Inyectables Sufentanil citrate 0.05 mg/ml
Glucosa 5% 1713
Compatible
Inyectables Bivalirudin 5 mg/ml
Inyectables Theophylline 4 mg/ml
Glucosa 5% 1713
Compatible
Inyectables Bivalirudin 5 mg/ml
Inyectables Thiopental sodium 25 mg/ml
Glucosa 5% 1713
Compatible
Inyectables Bivalirudin 5 mg/ml
Inyectables Ticarcillin / clavulanic acid 31 mg/ml
Glucosa 5% 1713
Compatible
Inyectables Bivalirudin 5 mg/ml
Inyectables Tirofiban 50 µg/ml
Glucosa 5% 1713
Compatible
Inyectables Bivalirudin 5 mg/ml
Inyectables Tobramycin sulfate 5 mg/ml
Glucosa 5% 1713
Precipitación inmediata Incompatible
Inyectables Bivalirudin 5 mg/ml
Inyectables Vancomycin hydrochloride 10 mg/ml
Glucosa 5% 1713
Precipitación inmediata Incompatible
Inyectables Bivalirudin
Inyectables Vancomycin hydrochloride
3539
Compatible
Inyectables Bivalirudin 5 mg/ml
Inyectables Verapamil hydrochloride 2,5 mg/ml
Cloruro de sodio 0,9% 1944
Compatible
Inyectables Bivalirudin 5 mg/ml
Inyectables Verapamil hydrochloride 2,5 mg/ml
Glucosa 5% 1944
Compatible
Inyectables Bivalirudin 5 mg/ml
Inyectables Verapamil hydrochloride 1.25 mg/ml
Glucosa 5% 1713
Compatible
Inyectables Bivalirudin 5 mg/ml
Inyectables Warfarin sodium 2 mg/ml
Glucosa 5% 1713

  Mentions Légales