Senaste uppdateringen :
18/03/2026
Antikoagulans   Bivalirudin  
injektion
Lösningars stabilitet Stabilitet i blandningar Faktorer som påverkar stabiliteten Kompatibilitet Administreringssätt Hänvisningar pdf
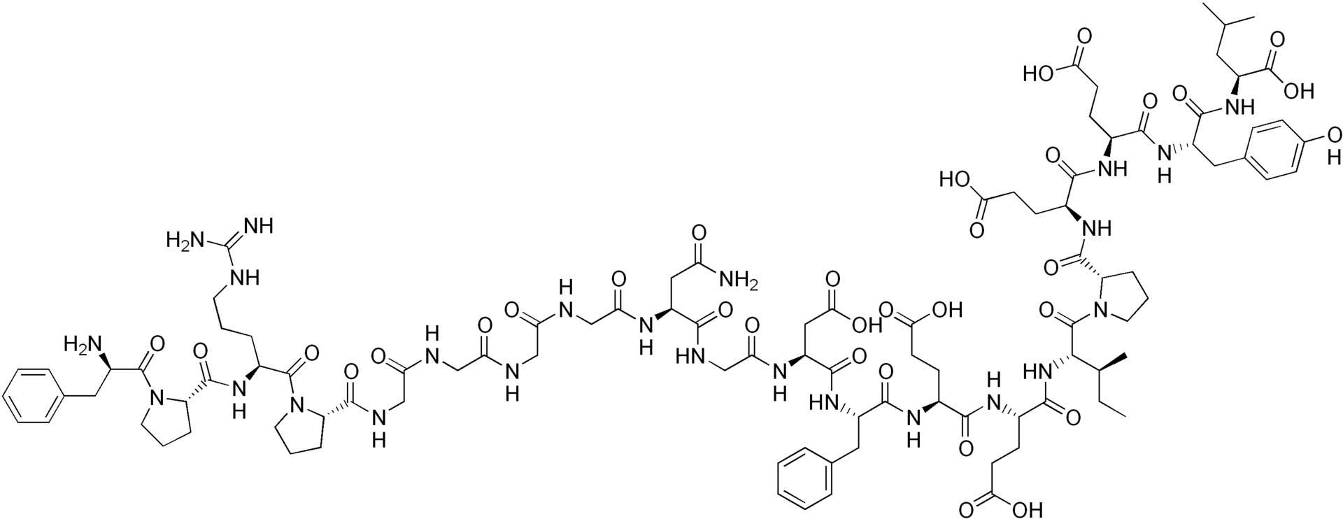
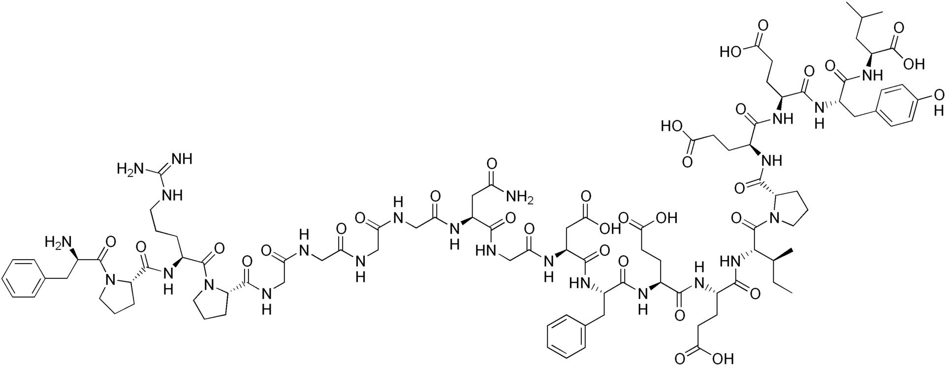
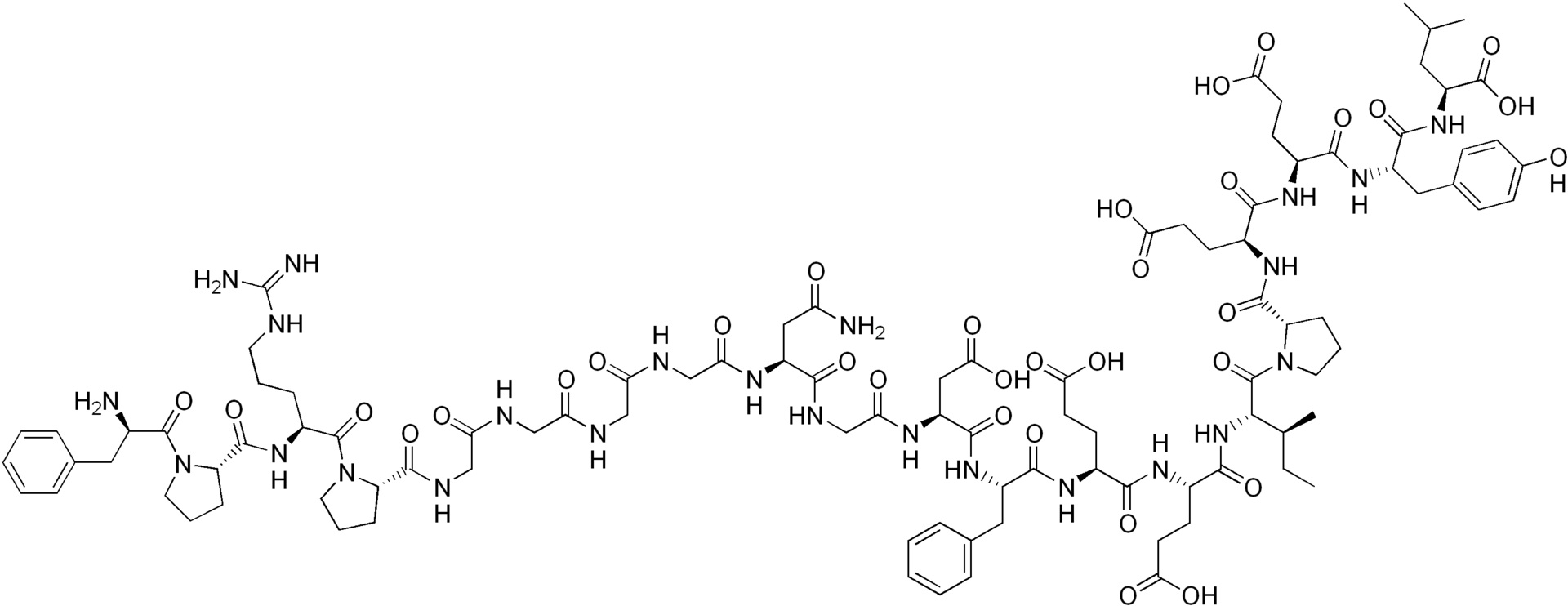
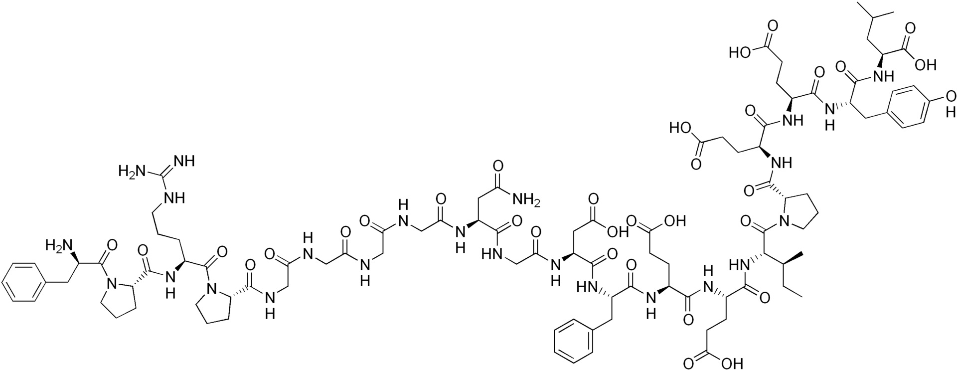
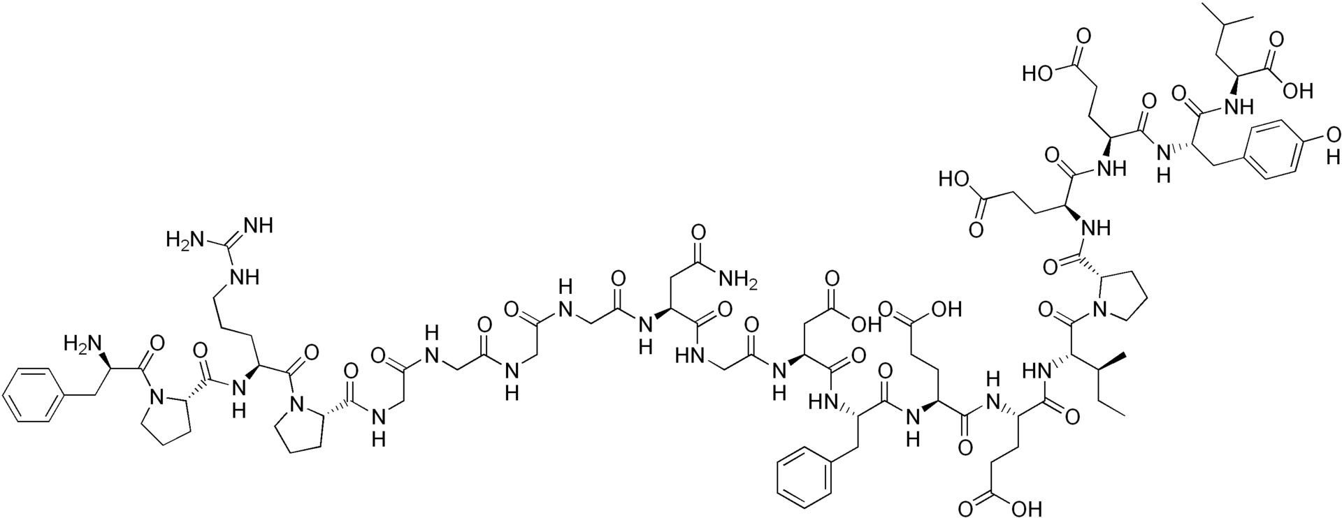
   Molekylstruktur  

Varunamn   Varunamn     

Angivna handelsnamn på läkemedel är enbart vägledande då formulering inklusive hjälpämnen kan variera mellan länder och tillverkare

Amuprux Argentina
Angiomax Australien, Chile, Förenta Staterna, Kanada, nya Zeeland, Peru, Venezuela
Angiox Danmark, Finland, Förenta Staterna, Grekland, Island, Italien, Nederländerna, Norge, Österrike, Polen, Rumänien, Slovenien, Spanien, Storbritannien, Ungern
Bivalirudin Belgien, Danmark, Finland, Slovenien, Storbritannien, Sverige, Tyskland
Bivalirudina Italien, Spanien
Kompatibilitet   injektion   Kompatibilitet : Bivalirudin              
Den här skärmen visar kompatibiliteten eller inkompatibiliteten med, i detta fall, typen av inkompatibilitet (utfällning, färgförändring, modifiering av en emulsion, etc.). De kompatibiliteter som visas här är oftast endast fysiska, varvid den kemiska stabiliteten för varje molekyl sällan utvärderas. Utvärderingen av dessa blandningar studerades för att överväga möjligheten för Y-platsadministrering till patienten. Dessa data kan inte användas för att göra blandningar i förväg i påsar eller sprutor. Denna typ av information finns på skärmen "Stabilitet i blandning".
Substans Lösningsmedel Hänvisningar
Kompatibel
injektion Bivalirudin 5 mg/ml
injektion Alfentanil hydrochloride 125 µg/ml
Glukos 5 % 1713
Omedelbar nederbörd Oförenlig
injektion Bivalirudin 5 mg/ml
injektion Alteplase 1 mg/ml
Glukos 5 % 1713
Omedelbar nederbörd Oförenlig
injektion Bivalirudin
injektion Alteplase
3539
Kompatibel
injektion Bivalirudin 5 mg/ml
injektion Amikacin sulfate 5 mg/ml
Glukos 5 % 1713
Kompatibel
injektion Bivalirudin 5 mg/ml
injektion Aminophylline 2.5 mg/ml
Glukos 5 % 1713
Omedelbar nederbörd Oförenlig
injektion Bivalirudin
injektion Amiodarone hydrochloride
3539
Omedelbar grumlighet Oförenlig
injektion Bivalirudin 5 mg/ml
injektion Amiodarone hydrochloride 4 mg/ml
Glukos 5 % 1713
Omedelbar nederbörd Oförenlig
injektion Bivalirudin
injektion Amphotericin B
3539
Omedelbar nederbörd Oförenlig
injektion Bivalirudin 5 mg/ml
injektion Amphotericin B 0.6 mg/ml
Glukos 5 % 1713
Kompatibel
injektion Bivalirudin 5 mg/ml
injektion Ampicillin sodium 20 mg/ml
Glukos 5 % 1713
Kompatibel
injektion Bivalirudin 5 mg/ml
injektion Ampicillin sodium - sulbactam sodium 20/10 mg/ml
Glukos 5 % 1713
Kompatibel
injektion Bivalirudin 5 mg/ml
injektion Atropine sulfate 0,4 mg/ml
Glukos 5 % 1944
Kompatibel
injektion Bivalirudin 5 mg/ml
injektion Atropine sulfate 0,4 mg/ml
Natriumklorid 0,9 % 1944
Kompatibel
injektion Bivalirudin 5 mg/ml
injektion Azithromycine 2 mg/ml
Glukos 5 % 1713
Kompatibel
injektion Bivalirudin 5 mg/ml
injektion Aztreonam 40 mg/ml
Glukos 5 % 1713
Kompatibel
injektion Bivalirudin 5 mg/ml
injektion Bretylium tosilate 50 mg/ml
Glukos 5 % 1713
Kompatibel
injektion Bivalirudin 5 mg/ml
injektion Bumetanide 0.04 mg/ml
Glukos 5 % 1713
Kompatibel
injektion Bivalirudin 5 mg/ml
injektion Butorphanol tartrate 0.04 mg/ml
Glukos 5 % 1713
Kompatibel
injektion Bivalirudin 5 mg/ml
injektion Calcium gluconate 40 mg/ml
Glukos 5 % 1713
Kompatibel
injektion Bivalirudin 5 mg/ml
injektion Cefazolin sodium 20 mg/ml
Glukos 5 % 1713
Kompatibel
injektion Bivalirudin 5 mg/ml
injektion Cefepime dihydrochloride 20 mg/ml
Glukos 5 % 1713
Kompatibel
injektion Bivalirudin 5 mg/ml
injektion Cefoperazone sodium 40 mg/ml
Glukos 5 % 1713
Kompatibel
injektion Bivalirudin 5 mg/ml
injektion Cefotaxime sodium 20 mg/ml
Glukos 5 % 1713
Kompatibel
injektion Bivalirudin 5 mg/ml
injektion Ceftazidime 40 mg/ml
Glukos 5 % 1713
Omedelbar nederbörd Oförenlig
injektion Bivalirudin
injektion Chlorpromazine hydrochloride
3539
Kompatibel
injektion Bivalirudin
Glukos 5 % 3539
Kompatibel
injektion Bivalirudin 5 mg/ml
injektion Cefoxitin sodium 20 mg/ml
Glukos 5 % 1713
Kompatibel
injektion Bivalirudin 5 mg/ml
injektion Ceftizoxime sodium 20 mg/ml
Glukos 5 % 1713
Kompatibel
injektion Bivalirudin 5 mg/ml
injektion Ceftriaxone disodium 20 mg/ml
Glukos 5 % 1713
Kompatibel
injektion Bivalirudin 5 mg/ml
injektion Cefuroxime sodium 30 mg/ml
Glukos 5 % 1713
Omedelbar nederbörd Oförenlig
injektion Bivalirudin 5 mg/ml
injektion Chlorpromazine hydrochloride 2 mg/ml
Glukos 5 % 1713
Kompatibel
injektion Bivalirudin 5 mg/ml
injektion Cimetidine hydrochloride 12 mg/ml
Glukos 5 % 1713
Kompatibel
injektion Bivalirudin 5 mg/ml
injektion Ciprofloxacin lactate 2 mg/ml
Glukos 5 % 1713
Kompatibel
injektion Bivalirudin 5 mg/ml
injektion Clindamycin phosphate 10 mg/ml
Glukos 5 % 1713
Kompatibel
injektion Bivalirudin 5 mg/ml
injektion Co-trimoxazole 4/0.8 mg/ml
Glukos 5 % 1713
Kompatibel
injektion Bivalirudin 5 mg/ml
injektion Dexamethasone sodium phosphate 1 mg/ml
Glukos 5 % 1713
Omedelbar nederbörd Oförenlig
injektion Bivalirudin 5 mg/ml
injektion Diazepam 5 mg/ml
Glukos 5 % 1713
Omedelbar nederbörd Oförenlig
injektion Bivalirudin
injektion Diazepam
3539
Kompatibel
injektion Bivalirudin 5 mg/ml
injektion Digoxin 250 µg/ml
Glukos 5 % 1713
Kompatibel
injektion Bivalirudin 5 mg/ml
injektion Diltiazem hydrochloride 5 mg/ml
Natriumklorid 0,9 % 1944
Kompatibel
injektion Bivalirudin 5 mg/ml
injektion Diltiazem hydrochloride 5 mg/ml
Glukos 5 % 1713
Kompatibel
injektion Bivalirudin 5 mg/ml
injektion Diltiazem hydrochloride 5 mg/ml
Glukos 5 % 1944
Kompatibel
injektion Bivalirudin 5 mg/ml
injektion Diphenhydramine hydrochloride 2 mg/ml
Glukos 5 % 1713
Kompatibel
injektion Bivalirudin 5 mg/ml
injektion Dobutamine hydrochloride 4 mg/ml
Glukos 5 % 1713
Kompatibel
injektion Bivalirudin
injektion Dobutamine hydrochloride 4 mg/ml
3539
Omedelbar nederbörd Oförenlig
injektion Bivalirudin 5 mg/ml
injektion Dobutamine hydrochloride 12,5 mg/ml
Glukos 5 % 1944
Ospecificerad inkompatibilitet Oförenlig
injektion Bivalirudin
injektion Dobutamine hydrochloride 12.5 mg/ml
3539
Omedelbar nederbörd Oförenlig
injektion Bivalirudin 5 mg/ml
injektion Dobutamine hydrochloride 12,5 mg/ml
Natriumklorid 0,9 % 1944
Kompatibel
injektion Bivalirudin 5 mg/ml
injektion Dopamine hydrochloride 80 mg/ml
Natriumklorid 0,9 % 1944
Kompatibel
injektion Bivalirudin 5 mg/ml
injektion Dopamine hydrochloride 80 mg/ml
Glukos 5 % 1944
Kompatibel
injektion Bivalirudin 5 mg/ml
injektion Dopamine hydrochloride 3.2 mg/ml
Glukos 5 % 1713
Kompatibel
injektion Bivalirudin 5 mg/ml
injektion Doxycycline hyclate 1 mg/ml
Glukos 5 % 1713
Kompatibel
injektion Bivalirudin 5 mg/ml
injektion Droperidol 2.5 mg/ml
Glukos 5 % 1713
Kompatibel
injektion Bivalirudin 5 mg/ml
injektion Enalaprilate 0.1 mg/ml
Glukos 5 % 1713
Kompatibel
injektion Bivalirudin 5 mg/ml
injektion Ephedrine hydrochloride 5 mg/ml
Glukos 5 % 1713
Kompatibel
injektion Bivalirudin 5 mg/ml
injektion Epinephrine hydrochloride 50 µg/ml
Glukos 5 % 1713
Kompatibel
injektion Bivalirudin 5 mg/ml
injektion Eptifibatide 2 mg/ml
Glukos 5 % 1713
Kompatibel
injektion Bivalirudin 5 mg/ml
injektion Erythromycin lactobionate 5 mg/ml
Glukos 5 % 1713
Kompatibel
injektion Bivalirudin 5 mg/ml
injektion Esmolol hydrochloride 10 mg/ml
Glukos 5 % 1713
Kompatibel
injektion Bivalirudin
injektion Famotidine 2 mg/ml
3539
Ospecificerad inkompatibilitet Oförenlig
injektion Bivalirudin
injektion Famotidine 10 mg/ml
3539
Kompatibel
injektion Bivalirudin 5 mg/ml
injektion Famotidine 2 mg/ml
Glukos 5 % 1713
Kompatibel
injektion Bivalirudin 5 mg/ml
injektion Fentanyl citrate 50 µg/ml
Natriumklorid 0,9 % 1944
Kompatibel
injektion Bivalirudin 5 mg/ml
injektion Fentanyl citrate 50 µg/ml
Glukos 5 % 1944
Kompatibel
injektion Bivalirudin 5 mg/ml
injektion Fentanyl citrate 50 µg/ml
Glukos 5 % 1713
Kompatibel
injektion Bivalirudin 5 mg/ml
injektion Fluconazole 2 mg/ml
Glukos 5 % 1713
Kompatibel
injektion Bivalirudin 5 mg/ml
injektion Furosemide 3 mg/ml
Glukos 5 % 1713
Kompatibel
injektion Bivalirudin 5 mg/ml
injektion Gentamicin sulfate 5 mg/ml
Glukos 5 % 1713
Kompatibel
injektion Bivalirudin
injektion Haloperidol lactate 0.2 mg/ml
3539
Kompatibel
injektion Bivalirudin 5 mg/ml
injektion Haloperidol lactate 0.2 mg/ml
Glukos 5 % 1713
Ospecificerad inkompatibilitet Oförenlig
injektion Bivalirudin
injektion Haloperidol lactate 5 mg/ml
3539
Kompatibel
injektion Bivalirudin 5 mg/ml
injektion Heparin sodium 100 UI/ml
Glukos 5 % 1713
Kompatibel
injektion Bivalirudin 5 mg/ml
injektion Hydrocortisone sodium succinate 50 mg/ml
Natriumklorid 0,9 % 1944
Kompatibel
injektion Bivalirudin 5 mg/ml
injektion Hydrocortisone sodium succinate 50 mg/ml
Glukos 5 % 1944
Kompatibel
injektion Bivalirudin 5 mg/ml
injektion Hydrocortisone sodium succinate 1 mg/ml
Glukos 5 % 1713
Kompatibel
injektion Bivalirudin 5 mg/ml
injektion Hydromorphone hydrochloride 0.5 mg/ml
Glukos 5 % 1713
Kompatibel
injektion Bivalirudin 5 mg/ml
injektion Isoprenaline hydrochloride 0.02 mg/ml
Glukos 5 % 1713
Ospecificerad inkompatibilitet Oförenlig
injektion Bivalirudin
injektion Labetalol hydrochloride 5 mg/ml
3539
Kompatibel
injektion Bivalirudin 5 mg/ml
injektion Labetalol hydrochloride 2 mg/ml
Glukos 5 % 1713
Kompatibel
injektion Bivalirudin
injektion Labetalol hydrochloride 2 mg/ml
3539
Kompatibel
injektion Bivalirudin 5 mg/ml
injektion Levofloxacine 5 mg/ml
Glukos 5 % 1713
Kompatibel
injektion Bivalirudin 5 mg/ml
injektion Lidocaine hydrochloride 10 mg/ml
Glukos 5 % 1713
Ospecificerad inkompatibilitet Oförenlig
injektion Bivalirudin
injektion Lorazepam 2 mg/ml
3539
Kompatibel
injektion Bivalirudin
injektion Lorazepam 0.5 mg/ml
3539
Kompatibel
injektion Bivalirudin 5 mg/ml
injektion Lorazepam 0.5 mg/ml
Glukos 5 % 1713
Kompatibel
injektion Bivalirudin 5 mg/ml
injektion Magnesium sulfate 100 mg/ml
Glukos 5 % 1713
Kompatibel
injektion Bivalirudin 5 mg/ml
injektion Mannitol 150 mg/ml
Glukos 5 % 1713
Kompatibel
injektion Bivalirudin 5 mg/ml
injektion Methylprednisolone sodium succinate 5 mg/ml
Glukos 5 % 1713
Kompatibel
injektion Bivalirudin 5 mg/ml
injektion Metoclopramide hydrochloride 5 mg/ml
Glukos 5 % 1713
Kompatibel
injektion Bivalirudin 5 mg/ml
injektion Metoprolol tartrate 1 mg/ml
Natriumklorid 0,9 % 1944
Kompatibel
injektion Bivalirudin 5 mg/ml
injektion Metoprolol tartrate 1 mg/ml
Glukos 5 % 1944
Kompatibel
injektion Bivalirudin 5 mg/ml
injektion Metronidazole 5 mg/ml
Glukos 5 % 1713
Kompatibel
injektion Bivalirudin 5 mg/ml
injektion Midazolam hydrochloride 2 mg/ml
Glukos 5 % 1944
Kompatibel
injektion Bivalirudin 5 mg/ml
injektion Midazolam hydrochloride 1 mg/ml
Glukos 5 % 1713
Kompatibel
injektion Bivalirudin 5 mg/ml
injektion Midazolam hydrochloride 2 mg/ml
Natriumklorid 0,9 % 1944
Kompatibel
injektion Bivalirudin 5 mg/ml
injektion Milrinone lactate 0.2 mg/ml
Glukos 5 % 1713
Kompatibel
injektion Bivalirudin 5 mg/ml
injektion Morphine sulfate 10 mg/ml
Natriumklorid 0,9 % 1944
Kompatibel
injektion Bivalirudin 5 mg/ml
injektion Morphine sulfate 10 mg/ml
Glukos 5 % 1944
Kompatibel
injektion Bivalirudin 5 mg/ml
injektion Morphine sulfate 1 mg/ml
Glukos 5 % 1713
Kompatibel
injektion Bivalirudin 5 mg/ml
injektion Nalbuphine hydrochloride 10 mg/ml
Glukos 5 % 1713
Kompatibel
injektion Bivalirudin 5 mg/ml
injektion Nitroprusside sodium 2 mg/ml
Glukos 5 % 1713
Kompatibel
injektion Bivalirudin
Natriumklorid 0,9 % 3539
Kompatibel
injektion Bivalirudin 5 mg/ml
injektion Nitroglycerin 0.4 mg/ml
Glukos 5 % 1713
Kompatibel
injektion Bivalirudin 5 mg/ml
injektion Norepinephrine bitartrate 0.12 mg/ml
Glukos 5 % 1713
Kompatibel
injektion Bivalirudin 5 mg/ml
injektion Ofloxacin 4 mg/ml
Glukos 5 % 1713
Kompatibel
injektion Bivalirudin 5 mg/ml
injektion Pethidine hydrochloride 10 mg/ml
Glukos 5 % 1713
Kompatibel
injektion Bivalirudin 5 mg/ml
injektion Phenylephrine hydrochloride 10 mg/ml
Glukos 5 % 1944
Kompatibel
injektion Bivalirudin 5 mg/ml
injektion Phenylephrine hydrochloride 1 mg/ml
Glukos 5 % 1713
Kompatibel
injektion Bivalirudin 5 mg/ml
injektion Phenylephrine hydrochloride 10 mg/ml
Natriumklorid 0,9 % 1944
Kompatibel
injektion Bivalirudin 5 mg/ml
injektion Piperacillin sodium 40 mg/ml
Glukos 5 % 1713
Kompatibel
injektion Bivalirudin 5 mg/ml
injektion Piperacillin sodium / tazobactam 40/5 mg/ml
Glukos 5 % 1713
Kompatibel
injektion Bivalirudin 5 mg/ml
injektion Potassium chloride 100 mEq/l
Glukos 5 % 1713
Kompatibel
injektion Bivalirudin 5 mg/ml
injektion Procainamide hydrochloride 10 mg/ml
Glukos 5 % 1713
Omedelbar nederbörd Oförenlig
injektion Bivalirudin
injektion Prochlorperazine edysilate 25 mg/ml
3539
Omedelbar nederbörd Oförenlig
injektion Bivalirudin 5 mg/ml
injektion Prochlorperazine edysilate 0.5 mg/ml
Glukos 5 % 1713
Kompatibel
injektion Bivalirudin
injektion Promethazine hydrochloride 2 mg/ml
3539
Ospecificerad inkompatibilitet Oförenlig
injektion Bivalirudin
injektion Promethazine hydrochloride 25 mg/ml
3539
Kompatibel
injektion Bivalirudin 5 mg/ml
injektion Promethazine hydrochloride 2 mg/ml
Glukos 5 % 1713
Kompatibel
injektion Bivalirudin 5 mg/ml
injektion Ranitidine hydrochloride 2 mg/ml
Glukos 5 % 1713
Omedelbar nederbörd Oförenlig
injektion Bivalirudin 5 mg/ml
injektion Reteplase 1 UI/ml
Glukos 5 % 1713
Omedelbar nederbörd Oförenlig
injektion Bivalirudin
injektion Reteplase
3539
Kompatibel
injektion Bivalirudin 5 mg/ml
injektion Sodium bicarbonate 84 mg/ml
Glukos 5 % 1713
Omedelbar nederbörd Oförenlig
injektion Bivalirudin 5 mg/ml
injektion Streptokinase 30000 UI/ml
Glukos 5 % 1713
Omedelbar nederbörd Oförenlig
injektion Bivalirudin
injektion Streptokinase
3539
Kompatibel
injektion Bivalirudin 5 mg/ml
injektion Sufentanil citrate 0.05 mg/ml
Glukos 5 % 1713
Kompatibel
injektion Bivalirudin 5 mg/ml
injektion Theophylline 4 mg/ml
Glukos 5 % 1713
Kompatibel
injektion Bivalirudin 5 mg/ml
injektion Thiopental sodium 25 mg/ml
Glukos 5 % 1713
Kompatibel
injektion Bivalirudin 5 mg/ml
injektion Ticarcillin / clavulanic acid 31 mg/ml
Glukos 5 % 1713
Kompatibel
injektion Bivalirudin 5 mg/ml
injektion Tirofiban 50 µg/ml
Glukos 5 % 1713
Kompatibel
injektion Bivalirudin 5 mg/ml
injektion Tobramycin sulfate 5 mg/ml
Glukos 5 % 1713
Omedelbar nederbörd Oförenlig
injektion Bivalirudin 5 mg/ml
injektion Vancomycin hydrochloride 10 mg/ml
Glukos 5 % 1713
Omedelbar nederbörd Oförenlig
injektion Bivalirudin
injektion Vancomycin hydrochloride
3539
Kompatibel
injektion Bivalirudin 5 mg/ml
injektion Verapamil hydrochloride 2,5 mg/ml
Natriumklorid 0,9 % 1944
Kompatibel
injektion Bivalirudin 5 mg/ml
injektion Verapamil hydrochloride 2,5 mg/ml
Glukos 5 % 1944
Kompatibel
injektion Bivalirudin 5 mg/ml
injektion Verapamil hydrochloride 1.25 mg/ml
Glukos 5 % 1713
Kompatibel
injektion Bivalirudin 5 mg/ml
injektion Warfarin sodium 2 mg/ml
Glukos 5 % 1713

  Mentions Légales