zadnja posodobitev :
18/03/2026
Antikoagulant   Bivalirudin  
Brizgalka
Stabilnost raztopine Stabilnost mešanice Faktorji, ki vplivajo na stabilnost Kompatibilnost način aplikacije Viri pdf
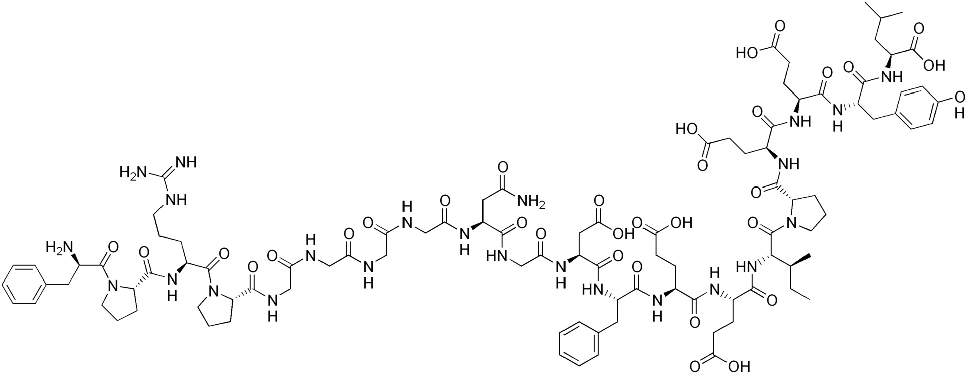
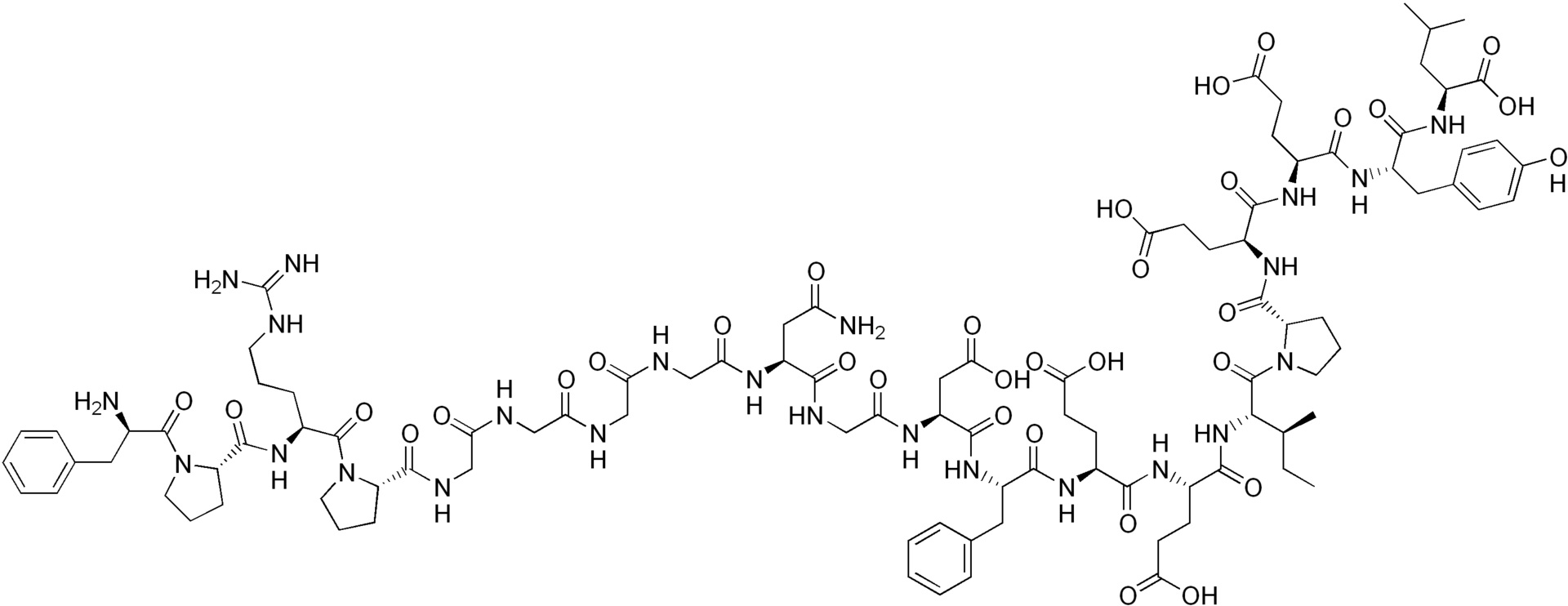
   Kemična formula  

Lastniško ime   Lastniško ime     

Sestava pomožnih snovi je med paralelami lahko različna

Amuprux Argentina
Angiomax Avstralija, Čile, Kanada, nova Zelandija, Peru, Venezuela, Združene države Amerike
Angiox Avstrija, Danska, Finska, Grčija, Islandija, Italija, Madžarska, Nizozemska, Norveška, Poljska, Romunija, Slovenija, Španija, Velika Britanija, Združene države Amerike
Bivalirudin Belgija, Danska, Finska, Nemčija, Slovenija, Švedska, Velika Britanija
Bivalirudina Italija, Španija
Kompatibilnost   Brizgalka   Kompatibilnost : Bivalirudin              
Ta zaslon prikazuje združljivost ali nezdružljivost s, v tem primeru, vrsto nezdružljivosti (padavine, sprememba barve, sprememba emulzije itd.). Tu prikazane združljivosti so večinoma samo fizične, pri čemer se kemijska stabilnost vsake molekule redko ocenjuje. Vrednotenje teh zmesi so preučevali, da bi preučili možnost pacientovega dajanja na mestu Y. Teh podatkov ni mogoče uporabiti za pripravo mešanic v vrečkah ali brizgah. Ta vrsta informacij je na voljo na zaslonu "Obstojnost v mešanici".
Sestava Topilo Viri
Združljivo
Brizgalka Bivalirudin 5 mg/ml
Brizgalka Alfentanil hydrochloride 125 µg/ml
Glukoza 5% 1713
Takoj padavine Nezdružljivo
Brizgalka Bivalirudin 5 mg/ml
Brizgalka Alteplase 1 mg/ml
Glukoza 5% 1713
Takoj padavine Nezdružljivo
Brizgalka Bivalirudin
Brizgalka Alteplase
3539
Združljivo
Brizgalka Bivalirudin 5 mg/ml
Brizgalka Amikacin sulfate 5 mg/ml
Glukoza 5% 1713
Združljivo
Brizgalka Bivalirudin 5 mg/ml
Brizgalka Aminophylline 2.5 mg/ml
Glukoza 5% 1713
Takoj padavine Nezdružljivo
Brizgalka Bivalirudin
Brizgalka Amiodarone hydrochloride
3539
Takojšnja motnost Nezdružljivo
Brizgalka Bivalirudin 5 mg/ml
Brizgalka Amiodarone hydrochloride 4 mg/ml
Glukoza 5% 1713
Takoj padavine Nezdružljivo
Brizgalka Bivalirudin
Brizgalka Amphotericin B
3539
Takoj padavine Nezdružljivo
Brizgalka Bivalirudin 5 mg/ml
Brizgalka Amphotericin B 0.6 mg/ml
Glukoza 5% 1713
Združljivo
Brizgalka Bivalirudin 5 mg/ml
Brizgalka Ampicillin sodium 20 mg/ml
Glukoza 5% 1713
Združljivo
Brizgalka Bivalirudin 5 mg/ml
Brizgalka Ampicillin sodium - sulbactam sodium 20/10 mg/ml
Glukoza 5% 1713
Združljivo
Brizgalka Bivalirudin 5 mg/ml
Brizgalka Atropine sulfate 0,4 mg/ml
Glukoza 5% 1944
Združljivo
Brizgalka Bivalirudin 5 mg/ml
Brizgalka Atropine sulfate 0,4 mg/ml
Natrijev klorid 0,9% 1944
Združljivo
Brizgalka Bivalirudin 5 mg/ml
Brizgalka Azithromycine 2 mg/ml
Glukoza 5% 1713
Združljivo
Brizgalka Bivalirudin 5 mg/ml
Brizgalka Aztreonam 40 mg/ml
Glukoza 5% 1713
Združljivo
Brizgalka Bivalirudin 5 mg/ml
Brizgalka Bretylium tosilate 50 mg/ml
Glukoza 5% 1713
Združljivo
Brizgalka Bivalirudin 5 mg/ml
Brizgalka Bumetanide 0.04 mg/ml
Glukoza 5% 1713
Združljivo
Brizgalka Bivalirudin 5 mg/ml
Brizgalka Butorphanol tartrate 0.04 mg/ml
Glukoza 5% 1713
Združljivo
Brizgalka Bivalirudin 5 mg/ml
Brizgalka Calcium gluconate 40 mg/ml
Glukoza 5% 1713
Združljivo
Brizgalka Bivalirudin 5 mg/ml
Brizgalka Cefazolin sodium 20 mg/ml
Glukoza 5% 1713
Združljivo
Brizgalka Bivalirudin 5 mg/ml
Brizgalka Cefepime dihydrochloride 20 mg/ml
Glukoza 5% 1713
Združljivo
Brizgalka Bivalirudin 5 mg/ml
Brizgalka Cefoperazone sodium 40 mg/ml
Glukoza 5% 1713
Združljivo
Brizgalka Bivalirudin 5 mg/ml
Brizgalka Cefotaxime sodium 20 mg/ml
Glukoza 5% 1713
Združljivo
Brizgalka Bivalirudin 5 mg/ml
Brizgalka Ceftazidime 40 mg/ml
Glukoza 5% 1713
Takoj padavine Nezdružljivo
Brizgalka Bivalirudin
Brizgalka Chlorpromazine hydrochloride
3539
Združljivo
Brizgalka Bivalirudin
Glukoza 5% 3539
Združljivo
Brizgalka Bivalirudin 5 mg/ml
Brizgalka Cefoxitin sodium 20 mg/ml
Glukoza 5% 1713
Združljivo
Brizgalka Bivalirudin 5 mg/ml
Brizgalka Ceftizoxime sodium 20 mg/ml
Glukoza 5% 1713
Združljivo
Brizgalka Bivalirudin 5 mg/ml
Brizgalka Ceftriaxone disodium 20 mg/ml
Glukoza 5% 1713
Združljivo
Brizgalka Bivalirudin 5 mg/ml
Brizgalka Cefuroxime sodium 30 mg/ml
Glukoza 5% 1713
Takoj padavine Nezdružljivo
Brizgalka Bivalirudin 5 mg/ml
Brizgalka Chlorpromazine hydrochloride 2 mg/ml
Glukoza 5% 1713
Združljivo
Brizgalka Bivalirudin 5 mg/ml
Brizgalka Cimetidine hydrochloride 12 mg/ml
Glukoza 5% 1713
Združljivo
Brizgalka Bivalirudin 5 mg/ml
Brizgalka Ciprofloxacin lactate 2 mg/ml
Glukoza 5% 1713
Združljivo
Brizgalka Bivalirudin 5 mg/ml
Brizgalka Clindamycin phosphate 10 mg/ml
Glukoza 5% 1713
Združljivo
Brizgalka Bivalirudin 5 mg/ml
Brizgalka Co-trimoxazole 4/0.8 mg/ml
Glukoza 5% 1713
Združljivo
Brizgalka Bivalirudin 5 mg/ml
Brizgalka Dexamethasone sodium phosphate 1 mg/ml
Glukoza 5% 1713
Takoj padavine Nezdružljivo
Brizgalka Bivalirudin 5 mg/ml
Brizgalka Diazepam 5 mg/ml
Glukoza 5% 1713
Takoj padavine Nezdružljivo
Brizgalka Bivalirudin
Brizgalka Diazepam
3539
Združljivo
Brizgalka Bivalirudin 5 mg/ml
Brizgalka Digoxin 250 µg/ml
Glukoza 5% 1713
Združljivo
Brizgalka Bivalirudin 5 mg/ml
Brizgalka Diltiazem hydrochloride 5 mg/ml
Natrijev klorid 0,9% 1944
Združljivo
Brizgalka Bivalirudin 5 mg/ml
Brizgalka Diltiazem hydrochloride 5 mg/ml
Glukoza 5% 1713
Združljivo
Brizgalka Bivalirudin 5 mg/ml
Brizgalka Diltiazem hydrochloride 5 mg/ml
Glukoza 5% 1944
Združljivo
Brizgalka Bivalirudin 5 mg/ml
Brizgalka Diphenhydramine hydrochloride 2 mg/ml
Glukoza 5% 1713
Združljivo
Brizgalka Bivalirudin 5 mg/ml
Brizgalka Dobutamine hydrochloride 4 mg/ml
Glukoza 5% 1713
Združljivo
Brizgalka Bivalirudin
Brizgalka Dobutamine hydrochloride 4 mg/ml
3539
Takoj padavine Nezdružljivo
Brizgalka Bivalirudin 5 mg/ml
Brizgalka Dobutamine hydrochloride 12,5 mg/ml
Glukoza 5% 1944
Nedoločena nezdružljivost Nezdružljivo
Brizgalka Bivalirudin
Brizgalka Dobutamine hydrochloride 12.5 mg/ml
3539
Takoj padavine Nezdružljivo
Brizgalka Bivalirudin 5 mg/ml
Brizgalka Dobutamine hydrochloride 12,5 mg/ml
Natrijev klorid 0,9% 1944
Združljivo
Brizgalka Bivalirudin 5 mg/ml
Brizgalka Dopamine hydrochloride 80 mg/ml
Natrijev klorid 0,9% 1944
Združljivo
Brizgalka Bivalirudin 5 mg/ml
Brizgalka Dopamine hydrochloride 80 mg/ml
Glukoza 5% 1944
Združljivo
Brizgalka Bivalirudin 5 mg/ml
Brizgalka Dopamine hydrochloride 3.2 mg/ml
Glukoza 5% 1713
Združljivo
Brizgalka Bivalirudin 5 mg/ml
Brizgalka Doxycycline hyclate 1 mg/ml
Glukoza 5% 1713
Združljivo
Brizgalka Bivalirudin 5 mg/ml
Brizgalka Droperidol 2.5 mg/ml
Glukoza 5% 1713
Združljivo
Brizgalka Bivalirudin 5 mg/ml
Brizgalka Enalaprilate 0.1 mg/ml
Glukoza 5% 1713
Združljivo
Brizgalka Bivalirudin 5 mg/ml
Brizgalka Ephedrine hydrochloride 5 mg/ml
Glukoza 5% 1713
Združljivo
Brizgalka Bivalirudin 5 mg/ml
Brizgalka Epinephrine hydrochloride 50 µg/ml
Glukoza 5% 1713
Združljivo
Brizgalka Bivalirudin 5 mg/ml
Brizgalka Eptifibatide 2 mg/ml
Glukoza 5% 1713
Združljivo
Brizgalka Bivalirudin 5 mg/ml
Brizgalka Erythromycin lactobionate 5 mg/ml
Glukoza 5% 1713
Združljivo
Brizgalka Bivalirudin 5 mg/ml
Brizgalka Esmolol hydrochloride 10 mg/ml
Glukoza 5% 1713
Združljivo
Brizgalka Bivalirudin
Brizgalka Famotidine 2 mg/ml
3539
Nedoločena nezdružljivost Nezdružljivo
Brizgalka Bivalirudin
Brizgalka Famotidine 10 mg/ml
3539
Združljivo
Brizgalka Bivalirudin 5 mg/ml
Brizgalka Famotidine 2 mg/ml
Glukoza 5% 1713
Združljivo
Brizgalka Bivalirudin 5 mg/ml
Brizgalka Fentanyl citrate 50 µg/ml
Natrijev klorid 0,9% 1944
Združljivo
Brizgalka Bivalirudin 5 mg/ml
Brizgalka Fentanyl citrate 50 µg/ml
Glukoza 5% 1944
Združljivo
Brizgalka Bivalirudin 5 mg/ml
Brizgalka Fentanyl citrate 50 µg/ml
Glukoza 5% 1713
Združljivo
Brizgalka Bivalirudin 5 mg/ml
Brizgalka Fluconazole 2 mg/ml
Glukoza 5% 1713
Združljivo
Brizgalka Bivalirudin 5 mg/ml
Brizgalka Furosemide 3 mg/ml
Glukoza 5% 1713
Združljivo
Brizgalka Bivalirudin 5 mg/ml
Brizgalka Gentamicin sulfate 5 mg/ml
Glukoza 5% 1713
Združljivo
Brizgalka Bivalirudin
Brizgalka Haloperidol lactate 0.2 mg/ml
3539
Združljivo
Brizgalka Bivalirudin 5 mg/ml
Brizgalka Haloperidol lactate 0.2 mg/ml
Glukoza 5% 1713
Nedoločena nezdružljivost Nezdružljivo
Brizgalka Bivalirudin
Brizgalka Haloperidol lactate 5 mg/ml
3539
Združljivo
Brizgalka Bivalirudin 5 mg/ml
Brizgalka Heparin sodium 100 UI/ml
Glukoza 5% 1713
Združljivo
Brizgalka Bivalirudin 5 mg/ml
Brizgalka Hydrocortisone sodium succinate 50 mg/ml
Natrijev klorid 0,9% 1944
Združljivo
Brizgalka Bivalirudin 5 mg/ml
Brizgalka Hydrocortisone sodium succinate 50 mg/ml
Glukoza 5% 1944
Združljivo
Brizgalka Bivalirudin 5 mg/ml
Brizgalka Hydrocortisone sodium succinate 1 mg/ml
Glukoza 5% 1713
Združljivo
Brizgalka Bivalirudin 5 mg/ml
Brizgalka Hydromorphone hydrochloride 0.5 mg/ml
Glukoza 5% 1713
Združljivo
Brizgalka Bivalirudin 5 mg/ml
Brizgalka Isoprenaline hydrochloride 0.02 mg/ml
Glukoza 5% 1713
Nedoločena nezdružljivost Nezdružljivo
Brizgalka Bivalirudin
Brizgalka Labetalol hydrochloride 5 mg/ml
3539
Združljivo
Brizgalka Bivalirudin 5 mg/ml
Brizgalka Labetalol hydrochloride 2 mg/ml
Glukoza 5% 1713
Združljivo
Brizgalka Bivalirudin
Brizgalka Labetalol hydrochloride 2 mg/ml
3539
Združljivo
Brizgalka Bivalirudin 5 mg/ml
Brizgalka Levofloxacine 5 mg/ml
Glukoza 5% 1713
Združljivo
Brizgalka Bivalirudin 5 mg/ml
Brizgalka Lidocaine hydrochloride 10 mg/ml
Glukoza 5% 1713
Nedoločena nezdružljivost Nezdružljivo
Brizgalka Bivalirudin
Brizgalka Lorazepam 2 mg/ml
3539
Združljivo
Brizgalka Bivalirudin
Brizgalka Lorazepam 0.5 mg/ml
3539
Združljivo
Brizgalka Bivalirudin 5 mg/ml
Brizgalka Lorazepam 0.5 mg/ml
Glukoza 5% 1713
Združljivo
Brizgalka Bivalirudin 5 mg/ml
Brizgalka Magnesium sulfate 100 mg/ml
Glukoza 5% 1713
Združljivo
Brizgalka Bivalirudin 5 mg/ml
Brizgalka Mannitol 150 mg/ml
Glukoza 5% 1713
Združljivo
Brizgalka Bivalirudin 5 mg/ml
Brizgalka Methylprednisolone sodium succinate 5 mg/ml
Glukoza 5% 1713
Združljivo
Brizgalka Bivalirudin 5 mg/ml
Brizgalka Metoclopramide hydrochloride 5 mg/ml
Glukoza 5% 1713
Združljivo
Brizgalka Bivalirudin 5 mg/ml
Brizgalka Metoprolol tartrate 1 mg/ml
Natrijev klorid 0,9% 1944
Združljivo
Brizgalka Bivalirudin 5 mg/ml
Brizgalka Metoprolol tartrate 1 mg/ml
Glukoza 5% 1944
Združljivo
Brizgalka Bivalirudin 5 mg/ml
Brizgalka Metronidazole 5 mg/ml
Glukoza 5% 1713
Združljivo
Brizgalka Bivalirudin 5 mg/ml
Brizgalka Midazolam hydrochloride 2 mg/ml
Glukoza 5% 1944
Združljivo
Brizgalka Bivalirudin 5 mg/ml
Brizgalka Midazolam hydrochloride 1 mg/ml
Glukoza 5% 1713
Združljivo
Brizgalka Bivalirudin 5 mg/ml
Brizgalka Midazolam hydrochloride 2 mg/ml
Natrijev klorid 0,9% 1944
Združljivo
Brizgalka Bivalirudin 5 mg/ml
Brizgalka Milrinone lactate 0.2 mg/ml
Glukoza 5% 1713
Združljivo
Brizgalka Bivalirudin 5 mg/ml
Brizgalka Morphine sulfate 10 mg/ml
Natrijev klorid 0,9% 1944
Združljivo
Brizgalka Bivalirudin 5 mg/ml
Brizgalka Morphine sulfate 10 mg/ml
Glukoza 5% 1944
Združljivo
Brizgalka Bivalirudin 5 mg/ml
Brizgalka Morphine sulfate 1 mg/ml
Glukoza 5% 1713
Združljivo
Brizgalka Bivalirudin 5 mg/ml
Brizgalka Nalbuphine hydrochloride 10 mg/ml
Glukoza 5% 1713
Združljivo
Brizgalka Bivalirudin 5 mg/ml
Brizgalka Nitroprusside sodium 2 mg/ml
Glukoza 5% 1713
Združljivo
Brizgalka Bivalirudin
Natrijev klorid 0,9% 3539
Združljivo
Brizgalka Bivalirudin 5 mg/ml
Brizgalka Nitroglycerin 0.4 mg/ml
Glukoza 5% 1713
Združljivo
Brizgalka Bivalirudin 5 mg/ml
Brizgalka Norepinephrine bitartrate 0.12 mg/ml
Glukoza 5% 1713
Združljivo
Brizgalka Bivalirudin 5 mg/ml
Brizgalka Ofloxacin 4 mg/ml
Glukoza 5% 1713
Združljivo
Brizgalka Bivalirudin 5 mg/ml
Brizgalka Pethidine hydrochloride 10 mg/ml
Glukoza 5% 1713
Združljivo
Brizgalka Bivalirudin 5 mg/ml
Brizgalka Phenylephrine hydrochloride 10 mg/ml
Glukoza 5% 1944
Združljivo
Brizgalka Bivalirudin 5 mg/ml
Brizgalka Phenylephrine hydrochloride 1 mg/ml
Glukoza 5% 1713
Združljivo
Brizgalka Bivalirudin 5 mg/ml
Brizgalka Phenylephrine hydrochloride 10 mg/ml
Natrijev klorid 0,9% 1944
Združljivo
Brizgalka Bivalirudin 5 mg/ml
Brizgalka Piperacillin sodium 40 mg/ml
Glukoza 5% 1713
Združljivo
Brizgalka Bivalirudin 5 mg/ml
Brizgalka Piperacillin sodium / tazobactam 40/5 mg/ml
Glukoza 5% 1713
Združljivo
Brizgalka Bivalirudin 5 mg/ml
Brizgalka Potassium chloride 100 mEq/l
Glukoza 5% 1713
Združljivo
Brizgalka Bivalirudin 5 mg/ml
Brizgalka Procainamide hydrochloride 10 mg/ml
Glukoza 5% 1713
Takoj padavine Nezdružljivo
Brizgalka Bivalirudin
Brizgalka Prochlorperazine edysilate 25 mg/ml
3539
Takoj padavine Nezdružljivo
Brizgalka Bivalirudin 5 mg/ml
Brizgalka Prochlorperazine edysilate 0.5 mg/ml
Glukoza 5% 1713
Združljivo
Brizgalka Bivalirudin
Brizgalka Promethazine hydrochloride 2 mg/ml
3539
Nedoločena nezdružljivost Nezdružljivo
Brizgalka Bivalirudin
Brizgalka Promethazine hydrochloride 25 mg/ml
3539
Združljivo
Brizgalka Bivalirudin 5 mg/ml
Brizgalka Promethazine hydrochloride 2 mg/ml
Glukoza 5% 1713
Združljivo
Brizgalka Bivalirudin 5 mg/ml
Brizgalka Ranitidine hydrochloride 2 mg/ml
Glukoza 5% 1713
Takoj padavine Nezdružljivo
Brizgalka Bivalirudin 5 mg/ml
Brizgalka Reteplase 1 UI/ml
Glukoza 5% 1713
Takoj padavine Nezdružljivo
Brizgalka Bivalirudin
Brizgalka Reteplase
3539
Združljivo
Brizgalka Bivalirudin 5 mg/ml
Brizgalka Sodium bicarbonate 84 mg/ml
Glukoza 5% 1713
Takoj padavine Nezdružljivo
Brizgalka Bivalirudin 5 mg/ml
Brizgalka Streptokinase 30000 UI/ml
Glukoza 5% 1713
Takoj padavine Nezdružljivo
Brizgalka Bivalirudin
Brizgalka Streptokinase
3539
Združljivo
Brizgalka Bivalirudin 5 mg/ml
Brizgalka Sufentanil citrate 0.05 mg/ml
Glukoza 5% 1713
Združljivo
Brizgalka Bivalirudin 5 mg/ml
Brizgalka Theophylline 4 mg/ml
Glukoza 5% 1713
Združljivo
Brizgalka Bivalirudin 5 mg/ml
Brizgalka Thiopental sodium 25 mg/ml
Glukoza 5% 1713
Združljivo
Brizgalka Bivalirudin 5 mg/ml
Brizgalka Ticarcillin / clavulanic acid 31 mg/ml
Glukoza 5% 1713
Združljivo
Brizgalka Bivalirudin 5 mg/ml
Brizgalka Tirofiban 50 µg/ml
Glukoza 5% 1713
Združljivo
Brizgalka Bivalirudin 5 mg/ml
Brizgalka Tobramycin sulfate 5 mg/ml
Glukoza 5% 1713
Takoj padavine Nezdružljivo
Brizgalka Bivalirudin 5 mg/ml
Brizgalka Vancomycin hydrochloride 10 mg/ml
Glukoza 5% 1713
Takoj padavine Nezdružljivo
Brizgalka Bivalirudin
Brizgalka Vancomycin hydrochloride
3539
Združljivo
Brizgalka Bivalirudin 5 mg/ml
Brizgalka Verapamil hydrochloride 2,5 mg/ml
Natrijev klorid 0,9% 1944
Združljivo
Brizgalka Bivalirudin 5 mg/ml
Brizgalka Verapamil hydrochloride 2,5 mg/ml
Glukoza 5% 1944
Združljivo
Brizgalka Bivalirudin 5 mg/ml
Brizgalka Verapamil hydrochloride 1.25 mg/ml
Glukoza 5% 1713
Združljivo
Brizgalka Bivalirudin 5 mg/ml
Brizgalka Warfarin sodium 2 mg/ml
Glukoza 5% 1713

  Mentions Légales