Cập nhật lần cuối :
18/03/2026
Kháng sinh   Piperacillin sodium / tazobactam  
Dạng tiêm
Tính ổn định của các dung dịch Độ ổn định khi trộn lẫn Những yếu tố ảnh hưởng đến độ ổn định Khả năng tương thích Đường dùng Tài liệu tham khảo Pdf
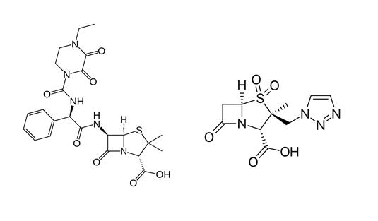
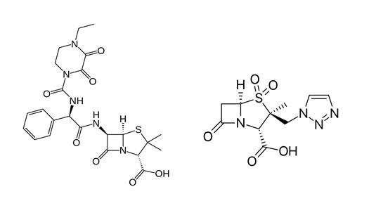
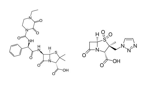
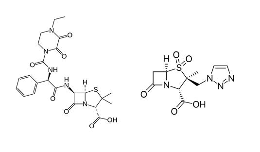
   Cấu trúc hóa học  

Tên thương mại   Tên thương mại     

Các tên thương mại được cung cấp và thành phần tá dược có thể khác nhau giữa các quốc gia và các hãng dược

Bagotaz Argentina
Betampil Ecuador
Bioval Chile
Petezam Argentina
Piperac Đức
Piperacillin tazobactam Bỉ, Canada, Đức
Piperazam Brazil
Pipetazo Chile
Pipitaz Áo
Pixamol Colombia
Tazobac Bồ Đào Nha, Ecuador, Thụy Sỹ, Ý
Tazocel Tây Ban Nha
Tazocilline Pháp
Tazocin Ả Rập, Anh, Argentina, Ba Lan, Bắc ireland, Brazil, Colombia, Cộng hòa Nam Phi, Croatia, Hà Lan, Hungary, Hy Lạp, Luxembourg, Mexico, Na Uy, new zealand, Peru, Phần Lan, Thổ Nhĩ Kỳ, Thụy Điển, Úc, United Arab Emirates, Ý, Đan Mạch
Tazonam Áo, Chile
Tazopip Úc
Tazpen Colombia, Mexico
Tazrobida Colombia
Tigux Chile
Tratac Chile
Trital Ecuador
Zosyn Hoa Kỳ, Nhật
Khả năng tương thích   Dạng tiêm   Khả năng tương thích : Piperacillin sodium / tazobactam              
Màn hình này cho biết khả năng tương thích hoặc không tương thích, trong trường hợp này là loại không tương thích (kết tủa, thay đổi màu sắc, sửa đổi nhũ tương, v.v.). Sự tương hợp được chỉ ra ở đây chủ yếu chỉ là vật lý, với độ ổn định hóa học của mỗi phân tử hiếm khi được đánh giá. Việc đánh giá các hỗn hợp này được nghiên cứu để xem xét khả năng sử dụng vị trí Y cho bệnh nhân. Những dữ liệu này không thể được sử dụng để tạo hỗn hợp trước trong túi hoặc ống tiêm. Loại thông tin này có sẵn trong màn hình "Độ ổn định trong hỗn hợp».
Phân tử Dung môi Mục lục
Lượng mưa sau 1 giờ Không tương thích
Dạng tiêm Piperacillin sodium / tazobactam 40/5 mg/ml
Dạng tiêm Aciclovir sodium 7 mg/ml
Glucose 5% 81
Tương thích
Dạng tiêm Piperacillin sodium / tazobactam 40/5 mg/ml
Dinh dưỡng đường tĩnh mạch (có lipids) 1415
Tương thích
Dạng tiêm Piperacillin sodium / tazobactam 200 mg/ml
Dung dịch Ringer’s lactate 4603
Tương thích
Dạng tiêm Piperacillin sodium / tazobactam 80 mg/ml
Dinh dưỡng đường tĩnh mạch (có lipids) 3948
Không ổn định hóa học Không tương thích
Dạng tiêm Piperacillin sodium / tazobactam
Dạng tiêm Amikacin sulfate
3586
Tương thích
Dạng tiêm Piperacillin sodium / tazobactam 200 mg/ml
Dinh dưỡng đường tĩnh mạch (có lipids) 4924
Độ đục trong 24 giờ Không tương thích
Dạng tiêm Piperacillin sodium / tazobactam 60 mg/ml
Dạng tiêm Amiodarone hydrochloride 6 mg/ml
Glucose 5% 1611
Lượng mưa ngay lập tức Không tương thích
Dạng tiêm Piperacillin sodium / tazobactam 40/5 mg/ml
Dạng tiêm Amphotericin B 0.6 mg/ml
Glucose 5% 81
Lượng mưa ngay lập tức Không tương thích
Dạng tiêm Piperacillin sodium / tazobactam 40/5 mg/ml
Dạng tiêm Amphotericin B cholesteryl sulfate complex 0.83 mg/ml
Glucose 5% 921
Tương thích
Dạng tiêm Piperacillin sodium / tazobactam 40/5 mg/ml
Dạng tiêm Anidulafungin 0.5 mg/ml
Glucose 5% 1982
Tương thích
Dạng tiêm Piperacillin sodium / tazobactam 40/5 mg/ml
Dạng tiêm Aztreonam 40 mg/ml
Glucose 5% 81
Tương thích
Dạng tiêm Piperacillin sodium / tazobactam 40/5 mg/ml
Dạng tiêm Bivalirudin 5 mg/ml
Glucose 5% 1713
Tương thích
Dạng tiêm Piperacillin sodium / tazobactam 40/5 mg/ml
Dạng tiêm Bleomycin sulfate 1 mg/ml
Glucose 5% 81
Tương thích
Dạng tiêm Piperacillin sodium / tazobactam 200 mg/ml
Dạng tiêm Caffeine 10 mg/ml
Không 3964
Tương thích
Dạng tiêm Piperacillin sodium / tazobactam 40/5 mg/ml
Dạng tiêm Carboplatin 5 mg/ml
Glucose 5% 81
Tương thích
Dạng tiêm Piperacillin sodium / tazobactam 40/5 mg/ml
Dạng tiêm Carmustine 1.5 mg/ml
Glucose 5% 81
Tương thích
Dạng tiêm Piperacillin sodium / tazobactam 40/5 mg/ml
Dạng tiêm Ceftolozane / tazobactam 10/5 mg/ml
NaCl 0,9% 3828
Độ đục ngay lập tức Không tương thích
Dạng tiêm Piperacillin sodium / tazobactam 40/5 mg/ml
Dạng tiêm Chlorpromazine hydrochloride 2 mg/ml
Glucose 5% 81
Tương thích
Dạng tiêm Piperacillin sodium / tazobactam 40/5 mg/ml
Dạng tiêm Cisatracurium besylate 0.1 & 2 mg/ml
Glucose 5% 299
Lượng mưa sau 1 giờ Không tương thích
Dạng tiêm Piperacillin sodium / tazobactam 40/5 mg/ml
Dạng tiêm Cisplatin 1 mg/ml
Glucose 5% 81
Tương thích
Dạng tiêm Piperacillin sodium / tazobactam 40/5 mg/ml
Dạng tiêm Clindamycin phosphate 10 mg/ml
Glucose 5% 81
Tương thích
Dạng tiêm Piperacillin sodium / tazobactam 40/5 mg/ml
Dạng tiêm Co-trimoxazole 0.8/4 mg/ml
Glucose 5% 81
Tương thích
Dạng tiêm Piperacillin sodium / tazobactam 40/0.5 mg/ml
Dạng tiêm Colistin mesilate sodium 1.5 mg/ml
NaCl 0,9% 3997
Tương thích
Dạng tiêm Piperacillin sodium / tazobactam 40/5 mg/ml
Dạng tiêm Cyclophosphamide 10 mg/ml
Glucose 5% 81
Tương thích
Dạng tiêm Piperacillin sodium / tazobactam 40/5 mg/ml
Dạng tiêm Cytarabine 50 mg/ml
Glucose 5% 81
Lượng mưa ngay lập tức Không tương thích
Dạng tiêm Piperacillin sodium / tazobactam 40/5 mg/ml
Dạng tiêm Dacarbazine 4 mg/ml
Glucose 5% 81
Độ đục ngay lập tức Không tương thích
Dạng tiêm Piperacillin sodium / tazobactam 40/5 mg/ml
Dạng tiêm Daunorubicin hydrochloride 1 mg/ml
Glucose 5% 81
Độ đục ngay lập tức Không tương thích
Dạng tiêm Piperacillin sodium / tazobactam
Dạng tiêm Daunorubicin/cytarabine liposomale 0,4 mg/mL
NaCl 0,9% 4654
Độ đục ngay lập tức Không tương thích
Dạng tiêm Piperacillin sodium / tazobactam 40/5 mg/ml
Dạng tiêm Dobutamine hydrochloride 4 mg/ml
Glucose 5% 81
Tương thích
Dạng tiêm Piperacillin sodium / tazobactam 40/5 mg/ml
Dạng tiêm Docetaxel 0.9 mg/ml
Glucose 5% 1754
Độ đục ngay lập tức Không tương thích
Dạng tiêm Piperacillin sodium / tazobactam 40/5 mg/ml
Dạng tiêm Doxorubicin hydrochloride 2 mg/ml
Glucose 5% 81
Độ đục ngay lập tức Không tương thích
Dạng tiêm Piperacillin sodium / tazobactam 40/5 mg/ml
Dạng tiêm Doxycycline hyclate 1 mg/ml
Glucose 5% 81
Lượng mưa ngay lập tức Không tương thích
Dạng tiêm Piperacillin sodium / tazobactam 40/5 mg/ml
Dạng tiêm Droperidol 0.4 mg/ml
Glucose 5% 81
Tương thích
Dạng tiêm Piperacillin sodium / tazobactam 40/5 mg/ml
Dạng tiêm Etoposide 0.4 mg/ml
Glucose 5% 81
Tương thích
Dạng tiêm Piperacillin sodium / tazobactam 40/5 mg/ml
Dạng tiêm Etoposide phosphate 5 mg/ml
NaCl 0,9% 1410
Lượng mưa ngay lập tức Không tương thích
Dạng tiêm Piperacillin sodium / tazobactam 40/5 mg/ml
Dạng tiêm Famotidine 2 mg/ml
Glucose 5% 81
Tương thích
Dạng tiêm Piperacillin sodium / tazobactam 40/5 mg/ml
Dạng tiêm Fenoldopam mesylate 80 µg/ml
NaCl 0,9% 1803
Tương thích
Dạng tiêm Piperacillin sodium / tazobactam 40/5 mg/ml
Dạng tiêm Floxuridine 3 mg/ml
Glucose 5% 81
Tương thích
Dạng tiêm Piperacillin sodium / tazobactam 40/5 mg/ml
Dạng tiêm Fluconazole 2 mg/ml
Glucose 5% 81
Tương thích
Dạng tiêm Piperacillin sodium / tazobactam 40/5 mg/ml
Dạng tiêm Fludarabine phosphate 1 mg/ml
Glucose 5% 81
Tương thích
Dạng tiêm Piperacillin sodium / tazobactam 40/5 mg/ml
Dạng tiêm Fluorouracil 16 mg/ml
Glucose 5% 81
Tương thích
Dạng tiêm Piperacillin sodium / tazobactam 40/5 mg/ml
Dạng tiêm Fosfomycin 30 mg/ml
NaCl 0,9% 4055
Lượng mưa sau 1 giờ Không tương thích
Dạng tiêm Piperacillin sodium / tazobactam 40/5 mg/ml
Dạng tiêm Ganciclovir sodium 20 mg/ml
Glucose 5% 81
Không ổn định hóa học Không tương thích
Dạng tiêm Piperacillin sodium / tazobactam
Dạng tiêm Gentamicin sulfate
3586
Tương thích
Dạng tiêm Piperacillin sodium / tazobactam 40/5 mg/ml
Dạng tiêm Granisetron hydrochloride 0.05 mg/ml
Glucose 5% 182
Lượng mưa ngay lập tức Không tương thích
Dạng tiêm Piperacillin sodium / tazobactam 40/5 mg/ml
Dạng tiêm Haloperidol lactate 0.2 mg/ml
Glucose 5% 81
Không tương thích không xác định Không tương thích
Dạng tiêm Piperacillin sodium / tazobactam
Dung dịch Ringer’s lactate 3586
Không tương thích không xác định Không tương thích
Dạng tiêm Piperacillin sodium / tazobactam
Dạng tiêm Aciclovir sodium
3595
Không ổn định hóa học Không tương thích
Dạng tiêm Piperacillin sodium / tazobactam
Dạng tiêm Amikacin sulfate
3549
Tương thích
Dạng tiêm Piperacillin sodium / tazobactam 40/5 mg/ml
Dạng tiêm Aminophylline 2.5 mg/ml
Glucose 5% 81
Tương thích
Dạng tiêm Piperacillin sodium / tazobactam 100 mg/ml
Dạng tiêm Amoxicillin sodium / clavulanic acid 100/10 mg/ml
3824
Lượng mưa ngay lập tức Không tương thích
Dạng tiêm Piperacillin sodium / tazobactam 112.5 mg/ml
Dạng tiêm Azithromycine 2 mg/ml
NaCl 0,9% 1800
Tương thích
Dạng tiêm Piperacillin sodium / tazobactam 40/5 mg/ml
Dạng tiêm Bumetanide 0.04 mg/ml
Glucose 5% 81
Tương thích
Dạng tiêm Piperacillin sodium / tazobactam 40/5 mg/ml
Dạng tiêm Buprenorphine hydrochloride 0.04 mg/ml
Glucose 5% 81
Tương thích
Dạng tiêm Piperacillin sodium / tazobactam 40/5 mg/ml
Dạng tiêm Butorphanol tartrate 0.04 mg/ml
Glucose 5% 81
Tương thích
Dạng tiêm Piperacillin sodium / tazobactam 200 mg/ml
Dạng tiêm Caffeine 10 mg/ml
Nước cất pha tiêm 4837
Tương thích
Dạng tiêm Piperacillin sodium / tazobactam 200 mg/ml
Dạng tiêm Caffeine citrate 20 mg/ml
Nước cất pha tiêm 4837
Tương thích
Dạng tiêm Piperacillin sodium / tazobactam 40/5 mg/ml
Dạng tiêm Calcium gluconate 40 mg/ml
Glucose 5% 81
Lượng mưa ngay lập tức Không tương thích
Dạng tiêm Piperacillin sodium / tazobactam 90 mg/ml
Dạng tiêm Caspofungin acetate 0.5 mg/ml
NaCl 0,9% 2233
Lượng mưa ngay lập tức Không tương thích
Dạng tiêm Piperacillin sodium / tazobactam 40/5 mg/ml
Dạng tiêm Caspofungin acetate 0,7 mg/ml
NaCl 0,9% 2247
Tương thích
Dạng tiêm Piperacillin sodium / tazobactam 40/5 mg/ml
Dạng tiêm Ceftolozane / tazobactam 10/5 mg/ml
Glucose 5% 3828
Tương thích
Dạng tiêm Piperacillin sodium / tazobactam 40/5 mg/ml
Dạng tiêm Cimetidine hydrochloride 12 mg/ml
Glucose 5% 81
Không tương thích không xác định Không tương thích
Dạng tiêm Piperacillin sodium / tazobactam
Dạng tiêm Ciprofloxacin lactate
3529
Lượng mưa sau 4 giờ Không tương thích
Dạng tiêm Piperacillin sodium / tazobactam 40/5 mg/ml
Dạng tiêm Cisatracurium besylate 5 mg/ml
Glucose 5% 299
Tương thích
Dạng tiêm Piperacillin sodium / tazobactam 225 mg/ml
Dạng tiêm Cloxacillin sodium 100 mg/ml
Nước cất pha tiêm 3012
Không tương thích trực quan Không tương thích
Dạng tiêm Piperacillin sodium / tazobactam
Dạng tiêm Daunorubicin/cytarabine liposomale
4354
Tương thích
Dạng tiêm Piperacillin sodium / tazobactam 40/5 mg/ml
Dạng tiêm Dexamethasone sodium phosphate 1 mg/ml
Glucose 5% 81
Tương thích
Dạng tiêm Piperacillin sodium / tazobactam 40/5 mg/ml
Dạng tiêm Dexmedetomidine 4 µg/ml
NaCl 0,9% 1712
Tương thích
Dạng tiêm Piperacillin sodium / tazobactam
Dạng tiêm Dimenhydrinate
2087
Tương thích
Dạng tiêm Piperacillin sodium / tazobactam 40/5 mg/ml
Dạng tiêm Diphenhydramine hydrochloride 2 mg/ml
Glucose 5% 81
Tương thích
Dạng tiêm Piperacillin sodium / tazobactam 40/5 mg/ml
Dạng tiêm Dopamine hydrochloride 3.2 mg/ml
Glucose 5% 81
Mất độ đục Không tương thích
Dạng tiêm Piperacillin sodium / tazobactam 40/5 mg/ml
Dạng tiêm Doxorubicin hydrochloride liposome peg 0.4 mg/ml
Glucose 5% 251
Tương thích
Dạng tiêm Piperacillin sodium / tazobactam 40/5 mg/ml
Dạng tiêm Enalaprilate 0.1 mg/ml
Glucose 5% 81
Tương thích
Dạng tiêm Piperacillin sodium / tazobactam 40/5 mg/ml
Dạng tiêm Eravacycline 0,6 mg/ml
NaCl 0,9% 4434
Không tương thích không xác định Không tương thích
Dạng tiêm Piperacillin sodium / tazobactam
Dạng tiêm Erythromycin lactobionate
3674
Tương thích
Dạng tiêm Piperacillin sodium / tazobactam 40/5 mg/ml
Dạng tiêm Folinate calcium 2 mg/ml
Glucose 5% 81
Tương thích
Dạng tiêm Piperacillin sodium / tazobactam 40/5 mg/ml
Dạng tiêm Fosfomycin 30 mg/ml
Glucose 5% 4055
Tương thích
Dạng tiêm Piperacillin sodium / tazobactam 40/5 mg/ml
Dạng tiêm Furosemide 3 mg/ml
Glucose 5% 81
Tương thích
Dạng tiêm Piperacillin sodium / tazobactam 40/5 mg/ml
Dạng tiêm Gallium nitrate 0.4 mg/ml
Glucose 5% 81
Độ đục ngay lập tức Không tương thích
Dạng tiêm Piperacillin sodium / tazobactam 40/5 mg/ml
Dạng tiêm Gemcitabine hydrochloride 10 mg/ml
NaCl 0,9% 1423
Không tương thích không xác định Không tương thích
Dạng tiêm Piperacillin sodium / tazobactam
Dạng tiêm Gentamicin sulfate
3520
Không tương thích không xác định Không tương thích
Dạng tiêm Piperacillin sodium / tazobactam
Dạng tiêm Gentamicin sulfate
3643
Tương thích
Dạng tiêm Piperacillin sodium / tazobactam 0.5/0.0625 mg/ml
Dạng tiêm Heparin sodium 0.5 UI/ml
Dianéal® 1.5% glucose (Baxter) 4180
Tương thích
Dạng tiêm Piperacillin sodium / tazobactam 0.5/0.0625 mg/ml
Dạng tiêm Heparin sodium 0.5 UI/ml
Extraneal® (Baxter) 4180
Tương thích
Dạng tiêm Piperacillin sodium / tazobactam 1.38/0.1725 mg/ml
Dạng tiêm Heparin sodium 1.4 UI/ml
Physionéal® 2.27 (Baxter) 4180
Tương thích
Dạng tiêm Piperacillin sodium / tazobactam 0.5/0.0625 mg/ml
Dạng tiêm Heparin sodium 0.5 UI/ml
Dianéal® 4.25% glucose (Baxter) 4180
Tương thích
Dạng tiêm Piperacillin sodium / tazobactam 1.38/0.1725 mg/ml
Dạng tiêm Heparin sodium 1.4 UI/ml
Physionéal® 3.86 (Baxter) 4180
Tương thích
Dạng tiêm Piperacillin sodium / tazobactam 1.38/0.1725 mg/ml
Dạng tiêm Heparin sodium 1.4 UI/ml
Physionéal® 1.36 (Baxter) 4180
Tương thích
Dạng tiêm Piperacillin sodium / tazobactam 0.5/0.0625 mg/ml
Dạng tiêm Heparin sodium 0.5 UI/ml
Dianéal® 2.5% glucose (Baxter) 4180
Tương thích
Dạng tiêm Piperacillin sodium / tazobactam 40/5 mg/ml
Dạng tiêm Heparin sodium 100 UI/ml
Glucose 5% 81
Tương thích
Dạng tiêm Piperacillin sodium / tazobactam 40/5 mg/ml
Dạng tiêm Hetastarch 60 mg/ml
dung môi cụ thể 1721
Tương thích
Dạng tiêm Piperacillin sodium / tazobactam 40/5 mg/ml
Dạng tiêm Hydrocortisone sodium succinate 1 mg/ml
Glucose 5% 81
Tương thích
Dạng tiêm Piperacillin sodium / tazobactam 40/5 mg/ml
Dạng tiêm Hydromorphone hydrochloride 0.5 mg/ml
Glucose 5% 81
Lượng mưa ngay lập tức Không tương thích
Dạng tiêm Piperacillin sodium / tazobactam 40/5 mg/ml
Dạng tiêm Hydroxyzine dihydrochloride 4 mg/ml
Glucose 5% 81
Độ đục ngay lập tức Không tương thích
Dạng tiêm Piperacillin sodium / tazobactam 40/5 mg/ml
Dạng tiêm Idarubicin hydrochloride 0.5 mg/ml
Glucose 5% 81
Tương thích
Dạng tiêm Piperacillin sodium / tazobactam 40/5 mg/ml
Dạng tiêm Ifosfamide 25 mg/ml
Glucose 5% 81
Tương thích
Dạng tiêm Piperacillin sodium / tazobactam 166/20.83 mg/ml
Dạng tiêm Insulin 1 UI/ml
NaCl 0,9% 4254
Tương thích
Dạng tiêm Piperacillin sodium / tazobactam 45 mg/ml
Dạng tiêm Insulin aspart 1 UI/ml
NaCl 0,9% 1508
Tương thích
Dạng tiêm Piperacillin sodium / tazobactam 45 mg/ml
Dạng tiêm Insulin aspart 1 UI/ml
Glucose 5% 1508
Tương thích
Dạng tiêm Piperacillin sodium / tazobactam 40/5 mg/ml
Dạng tiêm Isavuconazonium sulfate 1.5 mg/ml
NaCl 0,9% 3829
Tương thích
Dạng tiêm Piperacillin sodium / tazobactam 40/5 mg/ml
Dạng tiêm Lansoprazole 0.55 mg/ml
NaCl 0,9% 1625
Tương thích
Dạng tiêm Piperacillin sodium / tazobactam 166/20.83 mg/ml
Dạng tiêm Levetiracetam 20.83 mg/ml
Glucose 5% 4254
Tương thích
Dạng tiêm Piperacillin sodium / tazobactam 166/20.83 mg/ml
Dạng tiêm Levetiracetam 20.83 mg/ml
NaCl 0,9% 4254
Tương thích
Dạng tiêm Piperacillin sodium / tazobactam 80 mg/ml
Dinh dưỡng đường tĩnh mạch (hỗn hợp 2 thành phần) 3948
Tương thích
Dạng tiêm Piperacillin sodium / tazobactam 166/20.83 mg/ml
Dạng tiêm Insulin 1 UI/ml
Glucose 5% 4254
Tương thích
Dạng tiêm Piperacillin sodium / tazobactam 33,75 mg/ml
Dạng tiêm Levetiracetam 5 mg/ml
NaCl 0,9% 4569
Tương thích
Dạng tiêm Piperacillin sodium / tazobactam 40/5 mg/ml
Dinh dưỡng đường tĩnh mạch (hỗn hợp 2 thành phần) 301
Độ đục ngay lập tức Không tương thích
Dạng tiêm Piperacillin sodium / tazobactam 40/5 mg/ml
Dạng tiêm Isavuconazonium sulfate 1.5 mg/ml
Glucose 5% 3829
Không tương thích không xác định Không tương thích
Dạng tiêm Piperacillin sodium / tazobactam
NaHCO3 3586
Không ổn định hóa học Không tương thích
Dạng tiêm Piperacillin sodium / tazobactam
Dạng tiêm Kanamycin sulfate
3586
Tương thích
Dạng tiêm Piperacillin sodium / tazobactam 200 mg/ml
Dạng tiêm Ketamine hydrochloride 50 mg/ml
2109
Không tương thích trực quan Không tương thích
Dạng tiêm Piperacillin sodium / tazobactam 45 mg/ml
Dạng tiêm Levetiracetam 5 mg/ml
NaCl 0,9% 4569
Tương thích
Dạng tiêm Piperacillin sodium / tazobactam 125 mg/ml
Dạng tiêm Linezolid 2 mg/ml
4928
Tương thích
Dạng tiêm Piperacillin sodium / tazobactam 40/5 mg/ml
Dạng tiêm Linezolid 2 mg/ml
Không 1925
Tương thích
Dạng tiêm Piperacillin sodium / tazobactam 40/5 mg/ml
Dạng tiêm Lorazepam 0.1 mg/ml
Glucose 5% 81
Tương thích
Dạng tiêm Piperacillin sodium / tazobactam 40/5 mg/ml
Dạng tiêm Magnesium sulfate 100 mg/ml
Glucose 5% 81
Tương thích
Dạng tiêm Piperacillin sodium / tazobactam 40/5 mg/ml
Dạng tiêm Mannitol 150 mg/ml
Glucose 5% 81
Tương thích
Dạng tiêm Piperacillin sodium / tazobactam 200 mg/ml
Dạng tiêm Meropenem 50 mg/ml
Nước cất pha tiêm 4319
Tương thích
Dạng tiêm Piperacillin sodium / tazobactam 40/5 mg/ml
Dạng tiêm Mesna 10 mg/ml
Glucose 5% 81
Tương thích
Dạng tiêm Piperacillin sodium / tazobactam 40/5 mg/ml
Dạng tiêm Methotrexate sodium 15 mg/ml
Glucose 5% 81
Tương thích
Dạng tiêm Piperacillin sodium / tazobactam 40/5 mg/ml
Dạng tiêm Methylprednisolone sodium succinate 5 mg/ml
Glucose 5% 81
Tương thích
Dạng tiêm Piperacillin sodium / tazobactam 40/5 mg/ml
Dạng tiêm Metoclopramide hydrochloride 5 mg/ml
Glucose 5% 81
Tương thích
Dạng tiêm Piperacillin sodium / tazobactam 40/5 mg/ml
Dạng tiêm Metronidazole 5 mg/ml
Glucose 5% 81
Lượng mưa ngay lập tức Không tương thích
Dạng tiêm Piperacillin sodium / tazobactam 40/5 mg/ml
Dạng tiêm Minocycline hydrochloride 1 mg/ml
Glucose 5% 81
Thay đổi màu sau 4 giờ Không tương thích
Dạng tiêm Piperacillin sodium / tazobactam 40/5 mg/ml
Dạng tiêm Mitomycin 0.5 mg/ml
Glucose 5% 81
Lượng mưa ngay lập tức Không tương thích
Dạng tiêm Piperacillin sodium / tazobactam 40/5 mg/ml
Dạng tiêm Mitoxantrone dihydrochloride 0.5 mg/ml
Glucose 5% 81
Tương thích
Dạng tiêm Piperacillin sodium / tazobactam 40/5 mg/ml
Dạng tiêm Morphine sulfate 1 mg/ml
Glucose 5% 81
Tương thích
Dạng tiêm Piperacillin sodium / tazobactam
Dạng tiêm N-acetylcysteine 200 mg/ml
Không 3766
Độ đục ngay lập tức Không tương thích
Dạng tiêm Piperacillin sodium / tazobactam 40/5 mg/ml
Dạng tiêm Nalbuphine hydrochloride 10 mg/ml
Glucose 5% 81
Tương thích
Dạng tiêm Piperacillin sodium / tazobactam 200 mg/ml
Dạng tiêm Naloxone hydrochloride 0.4 mg/ml
Không 3408
Không ổn định hóa học Không tương thích
Dạng tiêm Piperacillin sodium / tazobactam
Dạng tiêm Netilmicin sulfate
3586
Tương thích
Dạng tiêm Piperacillin sodium / tazobactam 20/2,5 & 40/5 mg/ml
Dạng tiêm Ondansetron hydrochloride 0,015 >> 0,15 mg/ml
NaCl 0,9% 16
Tương thích
Dạng tiêm Piperacillin sodium / tazobactam 40/5 mg/ml
Dạng tiêm Ondansetron hydrochloride 0.1 mg/ml
Glucose 5% 81
Tương thích
Dạng tiêm Piperacillin sodium / tazobactam 200/25 mg/ml
Dạng tiêm Oxycodone hydrochloride 1 mg/ml
NaCl 0,9% 4842
Lượng mưa sau 1 giờ Không tương thích
Dạng tiêm Piperacillin sodium / tazobactam
Dạng tiêm Pantoprazole sodium
2090
Tương thích
Dạng tiêm Piperacillin sodium / tazobactam 100 mg/ml
Dạng tiêm Paracetamol 10 mg/ml
Không 3571
Tương thích
Dạng tiêm Piperacillin sodium / tazobactam 100 mg/ml
Dạng tiêm Paracetamol 10 mg/ml
4742
Tương thích
Dạng tiêm Piperacillin sodium / tazobactam 200 mg/ml
Dạng tiêm Pentoxifyllin 5 mg/ml
NaCl 0,9% 4538
Tương thích
Dạng tiêm Piperacillin sodium / tazobactam 40/5 mg/ml
Dạng tiêm Pethidine hydrochloride 4 mg/ml
Glucose 5% 81
Không ổn định hóa học Không tương thích
Dạng tiêm Piperacillin sodium / tazobactam
Dạng tiêm Plazomicin sulfate
3586
Tương thích
Dạng tiêm Piperacillin sodium / tazobactam 40/5 mg/ml
Dạng tiêm Plazomicin sulfate 24 mg/ml
NaCl 0,9% 4145
Lượng mưa ngay lập tức Không tương thích
Dạng tiêm Piperacillin sodium / tazobactam 160 mg/ml
Dạng tiêm Posaconazole 1,2 mg/ml
NaCl 0,9% 4521
Tương thích
Dạng tiêm Piperacillin sodium / tazobactam 40/5 mg/ml
Dạng tiêm Potassium chloride 100 mEq/l
Glucose 5% 81
Độ đục ngay lập tức Không tương thích
Dạng tiêm Piperacillin sodium / tazobactam 40/5 mg/ml
Dạng tiêm Prochlorperazine edysilate 0.5 mg/ml
Glucose 5% 81
Độ đục ngay lập tức Không tương thích
Dạng tiêm Piperacillin sodium / tazobactam 40/5 mg/ml
Dạng tiêm Promethazine hydrochloride 2 mg/ml
Glucose 5% 81
Tương thích
Dạng tiêm Piperacillin sodium / tazobactam 40/5 mg/ml
Dạng tiêm Ranitidine hydrochloride 2 mg/ml
Glucose 5% 81
Tương thích
Dạng tiêm Piperacillin sodium / tazobactam 40/5 mg/ml
Dạng tiêm Remifentanil hydrochloride 25 & 250 µg/ml
NaCl 0,9% 59
Lượng mưa ngay lập tức Không tương thích
Dạng tiêm Piperacillin sodium / tazobactam 200 mg/ml
Dạng tiêm Salbutamol sulfate 1 mg/ml
Không 3216
Tương thích
Dạng tiêm Piperacillin sodium / tazobactam 40/5 mg/ml
Dạng tiêm Sargramostim 10 µg/ml
Glucose 5% 81
Tương thích
Dạng tiêm Piperacillin sodium / tazobactam 200 mg/ml
Dạng tiêm Sildenafil citrate 0,6 mg/ml
Glucose 5% 4845
Không tương thích không xác định Không tương thích
Dạng tiêm Piperacillin sodium / tazobactam
Dạng tiêm Sodium bicarbonate
3586
Tương thích
Dạng tiêm Piperacillin sodium / tazobactam 40/5 mg/ml
Dạng tiêm Sodium bicarbonate 84 mg/ml
Glucose 5% 81
Không ổn định hóa học Không tương thích
Dạng tiêm Piperacillin sodium / tazobactam
Dạng tiêm Streptomycin sulfate
3586
Lượng mưa sau 1 giờ Không tương thích
Dạng tiêm Piperacillin sodium / tazobactam 40/5 mg/ml
Dạng tiêm Streptozocin 40 mg/ml
Glucose 5% 81
Tương thích
Dạng tiêm Piperacillin sodium / tazobactam 40/5 mg/ml
Dạng tiêm Sulbactam/durlobactam 15/15 mg/ml
NaCl 0,9% 4801
Tương thích
Dạng tiêm Piperacillin sodium / tazobactam 40/5 mg/ml
Dạng tiêm Tedizolid phosphate 0.8 mg/ml
NaCl 0,9% 3827
Tương thích
Dạng tiêm Piperacillin sodium / tazobactam 40/5 mg/ml
Dạng tiêm Telavancin hydrochloride 7.5 mg/ml
Glucose 5% 3254
Tương thích
Dạng tiêm Piperacillin sodium / tazobactam 40/5 mg/ml
Dạng tiêm Telavancin hydrochloride 7.5 mg/ml
NaCl 0,9% 3254
Tương thích
Dạng tiêm Piperacillin sodium / tazobactam 40/5 mg/ml
Dạng tiêm Telavancin hydrochloride 7.5 mg/ml
Dung dịch Ringer’s lactate 3254
Không ổn định hóa học Không tương thích
Dạng tiêm Piperacillin sodium / tazobactam 200 mg/ml
Dạng tiêm Temocilline 83.33 mg/ml
Nước cất pha tiêm 2231
Không tương thích không xác định Không tương thích
Dạng tiêm Piperacillin sodium / tazobactam
Dạng tiêm Temocilline
4470
Tương thích
Dạng tiêm Piperacillin sodium / tazobactam 166/20.83 mg/ml
Dạng tiêm Thiamine hydrochloride 0.4 mg/ml
Glucose 5% 4254
Lượng mưa ngay lập tức Không tương thích
Dạng tiêm Piperacillin sodium / tazobactam 200 mg/ml
Dạng tiêm Thiopental sodium 25 mg/ml
NaCl 0,9% 3767
Tương thích
Dạng tiêm Piperacillin sodium / tazobactam 40/5 mg/ml
Dạng tiêm Thiotepa 1 mg/ml
Glucose 5% 81
Tương thích
Dạng tiêm Piperacillin sodium / tazobactam
Dạng tiêm Tigecycline
NaCl 0,9% 3332
Không ổn định hóa học Không tương thích
Dạng tiêm Piperacillin sodium / tazobactam
Dạng tiêm Tobramycin sulfate
3586
Lượng mưa ngay lập tức Không tương thích
Dạng tiêm Piperacillin sodium / tazobactam 112,5 mg/ml
Dạng tiêm Vancomycin hydrochloride 10 mg/ml
Glucose 5% 3428
Tương thích
Dạng tiêm Piperacillin sodium / tazobactam
Glucose 5% 3586
Tương thích
Dạng tiêm Piperacillin sodium / tazobactam
NaCl 0,9% 5069
Lượng mưa ngay lập tức Không tương thích
Dạng tiêm Piperacillin sodium / tazobactam 100/12,5 mg/ml
Dạng tiêm Vancomycin hydrochloride 10 mg/ml
3365
Lượng mưa ngay lập tức Không tương thích
Dạng tiêm Piperacillin sodium / tazobactam 40 >> 100 mg/ml
Dạng tiêm Vancomycin hydrochloride 10 mg/ml
NaCl 0,9% 2475
Lượng mưa ngay lập tức Không tương thích
Dạng tiêm Piperacillin sodium / tazobactam
Dạng tiêm Vancomycin hydrochloride >8 mg/ml
NaCl 0,9% 3841
Tương thích
Dạng tiêm Piperacillin sodium / tazobactam 16 >> 100 mg/ml
Dạng tiêm Vancomycin hydrochloride 2 mg/ml
NaCl 0,9% 2475
Tương thích
Dạng tiêm Piperacillin sodium / tazobactam 16 >> 100 mg/ml
Dạng tiêm Vancomycin hydrochloride 5 mg/ml
NaCl 0,9% 2475
Tương thích
Dạng tiêm Piperacillin sodium / tazobactam 16 >> 30 mg/ml
Dạng tiêm Vancomycin hydrochloride 10 mg/ml
NaCl 0,9% 2475
Tương thích
Dạng tiêm Piperacillin sodium / tazobactam 30/3,75 mg/ml
Dạng tiêm Vancomycin hydrochloride 4 mg/ml
NaCl 0,9% 3421
Tương thích
Dạng tiêm Piperacillin sodium / tazobactam 40/5 mg/ml
Dạng tiêm Vancomycin hydrochloride 4 mg/ml
NaCl 0,9% 3421
Tương thích
Dạng tiêm Piperacillin sodium / tazobactam 33.75 >> 90 mg/ml
Dạng tiêm Vancomycin hydrochloride 4 >> 7 mg/ml
NaCl 0,9% 3841
Lượng mưa ngay lập tức Không tương thích
Dạng tiêm Piperacillin sodium / tazobactam 80 & 90 mg/ml
Dạng tiêm Vancomycin hydrochloride 8 mg/ml
NaCl 0,9% 3841
Tương thích
Dạng tiêm Piperacillin sodium / tazobactam 33.75 >> 67.5 mg/ml
Dạng tiêm Vancomycin hydrochloride 8 mg/ml
NaCl 0,9% 3841
Độ đục ngay lập tức Không tương thích
Dạng tiêm Piperacillin sodium / tazobactam 40/5 mg/ml
Dạng tiêm Vancomycin hydrochloride 10 mg/ml
Glucose 5% 81
Không tương thích không xác định Không tương thích
Dạng tiêm Piperacillin sodium / tazobactam 200 mg/ml
Dạng tiêm Vancomycin hydrochloride 10 mg/ml
Glucose 5% 3385
Lượng mưa ngay lập tức Không tương thích
Dạng tiêm Piperacillin sodium / tazobactam 10/1.25 >> 200/25 mg/ml
Dạng tiêm Vancomycin hydrochloride 20 mg/ml
Glucose 5% 1674
Lượng mưa ngay lập tức Không tương thích
Dạng tiêm Piperacillin sodium / tazobactam 80 >> 100 mg/ml
Dạng tiêm Vancomycin hydrochloride 4 mg/ml
Glucose 5% 2475
Lượng mưa ngay lập tức Không tương thích
Dạng tiêm Piperacillin sodium / tazobactam 16 >> 100 mg/ml
Dạng tiêm Vancomycin hydrochloride 8 mg/ml
Glucose 5% 2475
Lượng mưa ngay lập tức Không tương thích
Dạng tiêm Piperacillin sodium / tazobactam 28 mg/ml
Dạng tiêm Vancomycin hydrochloride 10 & 15 mg/ml
Glucose 5% 3984
Lượng mưa ngay lập tức Không tương thích
Dạng tiêm Piperacillin sodium / tazobactam 67,5 mg/ml
Dạng tiêm Vancomycin hydrochloride 5 mg/ml
Glucose 5% 3960
Tương thích
Dạng tiêm Piperacillin sodium / tazobactam 16 >> 40 mg/ml
Dạng tiêm Vancomycin hydrochloride 4 mg/ml
Glucose 5% 2475
Tương thích
Dạng tiêm Piperacillin sodium / tazobactam 28 mg/ml
Dạng tiêm Vancomycin hydrochloride 5 mg/ml
Glucose 5% 3984
Tương thích
Dạng tiêm Piperacillin sodium / tazobactam 1/0.125 >> 200/25 mg/ml
Dạng tiêm Vancomycin hydrochloride 2 mg/ml
Glucose 5% 1674
Tương thích
Dạng tiêm Piperacillin sodium / tazobactam 1/0.125 mg/ml
Dạng tiêm Vancomycin hydrochloride 20 mg/ml
Glucose 5% 1674
Tương thích
Dạng tiêm Piperacillin sodium / tazobactam 112.5 mg/ml
Dạng tiêm Vasopressin 0.2 UI/ml
NaCl 0,9% 2017
Tương thích
Dạng tiêm Piperacillin sodium / tazobactam 40/5 mg/ml
Dạng tiêm Vinblastine sulfate 0.12 mg/ml
Glucose 5% 81
Tương thích
Dạng tiêm Piperacillin sodium / tazobactam 40/5 mg/ml
Dạng tiêm Vincristine sulfate 0.05 mg/ml
Glucose 5% 81
Tương thích
Dạng tiêm Piperacillin sodium / tazobactam 40/5 mg/ml
Dạng tiêm Zidovudine 4 mg/ml
Glucose 5% 81
Tương thích
Dạng tiêm Piperacillin sodium / tazobactam 40/5 mg/ml
Normosol® 4655

  Mentions Légales