Son güncelleme :
18/03/2026
Antibiyotik   Piperacillin sodium / tazobactam  
Enjeksiyon
Çözeltilerin stabilitesi Karışımlardaki stabilitesi Stabiliteyi etkileyen faktörler Uyumluluk Uygulama yöntemi Kaynaklar pdf
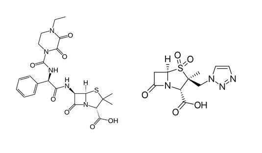
   Kimyasal yapı   

Ticari isim   Ticari isim     

Trade names are indicative and excipients composition can be different depending on the country and manufacturers

Bagotaz Arjantin
Betampil Ekvador
Bioval Şili
Petezam Arjantin
Piperac Almanya
Piperacillin tazobactam Almanya, Belçika, Kanada
Piperazam Brezilya
Pipetazo Şili
Pipitaz Avusturya
Pixamol Kolombiya
Tazobac Ekvador, İsviçre, İtalya, Portekiz
Tazocel İspanya
Tazocilline Fransa
Tazocin Arjantin, Avustralya, Birleşik Arap Emirlikleri, Brezilya, Büyük Britanya, Danimarka, Finlandiya, Güney Afrika Cumhuriyeti, Hırvatistan, Hollanda, İsveç, İtalya, Kolombiya, Kuzey irlanda, Lüksemburg, Macaristan, Meksika, Mısır, Norveç, Peru, Polonya, Türkiye, yeni Zelanda, Yunanistan
Tazonam Avusturya, Şili
Tazopip Avustralya
Tazpen Kolombiya, Meksika
Tazrobida Kolombiya
Tigux Şili
Tratac Şili
Trital Ekvador
Zosyn Amerika Birleşik Devletleri, Japonya
Uyumluluk   Enjeksiyon    Uyumluluk : Piperacillin sodium / tazobactam              
Bu ekran, bu durumda uyumsuzluk tipiyle (çökelme, renk değişimi, bir emülsiyonun modifikasyonu, vb.) Uyumlulukları veya uyumsuzlukları gösterir. Burada gösterilen uyumluluklar çoğunlukla yalnızca fizikseldir ve her molekülün kimyasal stabilitesi nadiren değerlendirilir. Bu karışımların değerlendirilmesi, hastaya Y bölgesi uygulama olasılığını göz önünde bulundurmak için çalışıldı. Bu veriler önceden torba veya şırıngalarda karışım yapmak için kullanılamaz. Bu tür bilgiler "Karışımda stabilite" ekranında mevcuttur.
Bileşik Çözücü Kaynaklar
1 saat sonra yağış uyumsuz
Enjeksiyon Piperacillin sodium / tazobactam 40/5 mg/ml
Enjeksiyon Aciclovir sodium 7 mg/ml
Glukoz %5 81
Uyumlu
Enjeksiyon Piperacillin sodium / tazobactam 40/5 mg/ml
Parenteral beslenme (Lipidler) 1415
Uyumlu
Enjeksiyon Piperacillin sodium / tazobactam 200 mg/ml
Laktatlı ringer 4603
Uyumlu
Enjeksiyon Piperacillin sodium / tazobactam 80 mg/ml
Parenteral beslenme (Lipidler) 3948
Kimyasal kararsızlık uyumsuz
Enjeksiyon Piperacillin sodium / tazobactam
Enjeksiyon Amikacin sulfate
3586
Uyumlu
Enjeksiyon Piperacillin sodium / tazobactam 200 mg/ml
Parenteral beslenme (Lipidler) 4924
24 saat içinde bulanıklık uyumsuz
Enjeksiyon Piperacillin sodium / tazobactam 60 mg/ml
Enjeksiyon Amiodarone hydrochloride 6 mg/ml
Glukoz %5 1611
Acil yağış uyumsuz
Enjeksiyon Piperacillin sodium / tazobactam 40/5 mg/ml
Enjeksiyon Amphotericin B 0.6 mg/ml
Glukoz %5 81
Acil yağış uyumsuz
Enjeksiyon Piperacillin sodium / tazobactam 40/5 mg/ml
Enjeksiyon Amphotericin B cholesteryl sulfate complex 0.83 mg/ml
Glukoz %5 921
Uyumlu
Enjeksiyon Piperacillin sodium / tazobactam 40/5 mg/ml
Enjeksiyon Anidulafungin 0.5 mg/ml
Glukoz %5 1982
Uyumlu
Enjeksiyon Piperacillin sodium / tazobactam 40/5 mg/ml
Enjeksiyon Aztreonam 40 mg/ml
Glukoz %5 81
Uyumlu
Enjeksiyon Piperacillin sodium / tazobactam 40/5 mg/ml
Enjeksiyon Bivalirudin 5 mg/ml
Glukoz %5 1713
Uyumlu
Enjeksiyon Piperacillin sodium / tazobactam 40/5 mg/ml
Enjeksiyon Bleomycin sulfate 1 mg/ml
Glukoz %5 81
Uyumlu
Enjeksiyon Piperacillin sodium / tazobactam 200 mg/ml
Enjeksiyon Caffeine 10 mg/ml
Yok 3964
Uyumlu
Enjeksiyon Piperacillin sodium / tazobactam 40/5 mg/ml
Enjeksiyon Carboplatin 5 mg/ml
Glukoz %5 81
Uyumlu
Enjeksiyon Piperacillin sodium / tazobactam 40/5 mg/ml
Enjeksiyon Carmustine 1.5 mg/ml
Glukoz %5 81
Uyumlu
Enjeksiyon Piperacillin sodium / tazobactam 40/5 mg/ml
Enjeksiyon Ceftolozane / tazobactam 10/5 mg/ml
Sodyum klorür % 0,9 3828
Anında bulanıklık uyumsuz
Enjeksiyon Piperacillin sodium / tazobactam 40/5 mg/ml
Enjeksiyon Chlorpromazine hydrochloride 2 mg/ml
Glukoz %5 81
Uyumlu
Enjeksiyon Piperacillin sodium / tazobactam 40/5 mg/ml
Enjeksiyon Cisatracurium besylate 0.1 & 2 mg/ml
Glukoz %5 299
1 saat sonra yağış uyumsuz
Enjeksiyon Piperacillin sodium / tazobactam 40/5 mg/ml
Enjeksiyon Cisplatin 1 mg/ml
Glukoz %5 81
Uyumlu
Enjeksiyon Piperacillin sodium / tazobactam 40/5 mg/ml
Enjeksiyon Clindamycin phosphate 10 mg/ml
Glukoz %5 81
Uyumlu
Enjeksiyon Piperacillin sodium / tazobactam 40/5 mg/ml
Enjeksiyon Co-trimoxazole 0.8/4 mg/ml
Glukoz %5 81
Uyumlu
Enjeksiyon Piperacillin sodium / tazobactam 40/0.5 mg/ml
Enjeksiyon Colistin mesilate sodium 1.5 mg/ml
Sodyum klorür % 0,9 3997
Uyumlu
Enjeksiyon Piperacillin sodium / tazobactam 40/5 mg/ml
Enjeksiyon Cyclophosphamide 10 mg/ml
Glukoz %5 81
Uyumlu
Enjeksiyon Piperacillin sodium / tazobactam 40/5 mg/ml
Enjeksiyon Cytarabine 50 mg/ml
Glukoz %5 81
Acil yağış uyumsuz
Enjeksiyon Piperacillin sodium / tazobactam 40/5 mg/ml
Enjeksiyon Dacarbazine 4 mg/ml
Glukoz %5 81
Anında bulanıklık uyumsuz
Enjeksiyon Piperacillin sodium / tazobactam 40/5 mg/ml
Enjeksiyon Daunorubicin hydrochloride 1 mg/ml
Glukoz %5 81
Anında bulanıklık uyumsuz
Enjeksiyon Piperacillin sodium / tazobactam
Enjeksiyon Daunorubicin/cytarabine liposomale 0,4 mg/mL
Sodyum klorür % 0,9 4654
Anında bulanıklık uyumsuz
Enjeksiyon Piperacillin sodium / tazobactam 40/5 mg/ml
Enjeksiyon Dobutamine hydrochloride 4 mg/ml
Glukoz %5 81
Uyumlu
Enjeksiyon Piperacillin sodium / tazobactam 40/5 mg/ml
Enjeksiyon Docetaxel 0.9 mg/ml
Glukoz %5 1754
Anında bulanıklık uyumsuz
Enjeksiyon Piperacillin sodium / tazobactam 40/5 mg/ml
Enjeksiyon Doxorubicin hydrochloride 2 mg/ml
Glukoz %5 81
Anında bulanıklık uyumsuz
Enjeksiyon Piperacillin sodium / tazobactam 40/5 mg/ml
Enjeksiyon Doxycycline hyclate 1 mg/ml
Glukoz %5 81
Acil yağış uyumsuz
Enjeksiyon Piperacillin sodium / tazobactam 40/5 mg/ml
Enjeksiyon Droperidol 0.4 mg/ml
Glukoz %5 81
Uyumlu
Enjeksiyon Piperacillin sodium / tazobactam 40/5 mg/ml
Enjeksiyon Etoposide 0.4 mg/ml
Glukoz %5 81
Uyumlu
Enjeksiyon Piperacillin sodium / tazobactam 40/5 mg/ml
Enjeksiyon Etoposide phosphate 5 mg/ml
Sodyum klorür % 0,9 1410
Acil yağış uyumsuz
Enjeksiyon Piperacillin sodium / tazobactam 40/5 mg/ml
Enjeksiyon Famotidine 2 mg/ml
Glukoz %5 81
Uyumlu
Enjeksiyon Piperacillin sodium / tazobactam 40/5 mg/ml
Enjeksiyon Fenoldopam mesylate 80 µg/ml
Sodyum klorür % 0,9 1803
Uyumlu
Enjeksiyon Piperacillin sodium / tazobactam 40/5 mg/ml
Enjeksiyon Floxuridine 3 mg/ml
Glukoz %5 81
Uyumlu
Enjeksiyon Piperacillin sodium / tazobactam 40/5 mg/ml
Enjeksiyon Fluconazole 2 mg/ml
Glukoz %5 81
Uyumlu
Enjeksiyon Piperacillin sodium / tazobactam 40/5 mg/ml
Enjeksiyon Fludarabine phosphate 1 mg/ml
Glukoz %5 81
Uyumlu
Enjeksiyon Piperacillin sodium / tazobactam 40/5 mg/ml
Enjeksiyon Fluorouracil 16 mg/ml
Glukoz %5 81
Uyumlu
Enjeksiyon Piperacillin sodium / tazobactam 40/5 mg/ml
Enjeksiyon Fosfomycin 30 mg/ml
Sodyum klorür % 0,9 4055
1 saat sonra yağış uyumsuz
Enjeksiyon Piperacillin sodium / tazobactam 40/5 mg/ml
Enjeksiyon Ganciclovir sodium 20 mg/ml
Glukoz %5 81
Kimyasal kararsızlık uyumsuz
Enjeksiyon Piperacillin sodium / tazobactam
Enjeksiyon Gentamicin sulfate
3586
Uyumlu
Enjeksiyon Piperacillin sodium / tazobactam 40/5 mg/ml
Enjeksiyon Granisetron hydrochloride 0.05 mg/ml
Glukoz %5 182
Acil yağış uyumsuz
Enjeksiyon Piperacillin sodium / tazobactam 40/5 mg/ml
Enjeksiyon Haloperidol lactate 0.2 mg/ml
Glukoz %5 81
Belirtilmemiş uyumsuzluk uyumsuz
Enjeksiyon Piperacillin sodium / tazobactam
Laktatlı ringer 3586
Belirtilmemiş uyumsuzluk uyumsuz
Enjeksiyon Piperacillin sodium / tazobactam
Enjeksiyon Aciclovir sodium
3595
Kimyasal kararsızlık uyumsuz
Enjeksiyon Piperacillin sodium / tazobactam
Enjeksiyon Amikacin sulfate
3549
Uyumlu
Enjeksiyon Piperacillin sodium / tazobactam 40/5 mg/ml
Enjeksiyon Aminophylline 2.5 mg/ml
Glukoz %5 81
Uyumlu
Enjeksiyon Piperacillin sodium / tazobactam 100 mg/ml
Enjeksiyon Amoxicillin sodium / clavulanic acid 100/10 mg/ml
3824
Acil yağış uyumsuz
Enjeksiyon Piperacillin sodium / tazobactam 112.5 mg/ml
Enjeksiyon Azithromycine 2 mg/ml
Sodyum klorür % 0,9 1800
Uyumlu
Enjeksiyon Piperacillin sodium / tazobactam 40/5 mg/ml
Enjeksiyon Bumetanide 0.04 mg/ml
Glukoz %5 81
Uyumlu
Enjeksiyon Piperacillin sodium / tazobactam 40/5 mg/ml
Enjeksiyon Buprenorphine hydrochloride 0.04 mg/ml
Glukoz %5 81
Uyumlu
Enjeksiyon Piperacillin sodium / tazobactam 40/5 mg/ml
Enjeksiyon Butorphanol tartrate 0.04 mg/ml
Glukoz %5 81
Uyumlu
Enjeksiyon Piperacillin sodium / tazobactam 200 mg/ml
Enjeksiyon Caffeine 10 mg/ml
Enjeksiyonluk su 4837
Uyumlu
Enjeksiyon Piperacillin sodium / tazobactam 200 mg/ml
Enjeksiyon Caffeine citrate 20 mg/ml
Enjeksiyonluk su 4837
Uyumlu
Enjeksiyon Piperacillin sodium / tazobactam 40/5 mg/ml
Enjeksiyon Calcium gluconate 40 mg/ml
Glukoz %5 81
Acil yağış uyumsuz
Enjeksiyon Piperacillin sodium / tazobactam 90 mg/ml
Enjeksiyon Caspofungin acetate 0.5 mg/ml
Sodyum klorür % 0,9 2233
Acil yağış uyumsuz
Enjeksiyon Piperacillin sodium / tazobactam 40/5 mg/ml
Enjeksiyon Caspofungin acetate 0,7 mg/ml
Sodyum klorür % 0,9 2247
Uyumlu
Enjeksiyon Piperacillin sodium / tazobactam 40/5 mg/ml
Enjeksiyon Ceftolozane / tazobactam 10/5 mg/ml
Glukoz %5 3828
Uyumlu
Enjeksiyon Piperacillin sodium / tazobactam 40/5 mg/ml
Enjeksiyon Cimetidine hydrochloride 12 mg/ml
Glukoz %5 81
Belirtilmemiş uyumsuzluk uyumsuz
Enjeksiyon Piperacillin sodium / tazobactam
Enjeksiyon Ciprofloxacin lactate
3529
4 saat sonra yağış uyumsuz
Enjeksiyon Piperacillin sodium / tazobactam 40/5 mg/ml
Enjeksiyon Cisatracurium besylate 5 mg/ml
Glukoz %5 299
Uyumlu
Enjeksiyon Piperacillin sodium / tazobactam 225 mg/ml
Enjeksiyon Cloxacillin sodium 100 mg/ml
Enjeksiyonluk su 3012
Subvisual uyumsuzluk uyumsuz
Enjeksiyon Piperacillin sodium / tazobactam
Enjeksiyon Daunorubicin/cytarabine liposomale
4354
Uyumlu
Enjeksiyon Piperacillin sodium / tazobactam 40/5 mg/ml
Enjeksiyon Dexamethasone sodium phosphate 1 mg/ml
Glukoz %5 81
Uyumlu
Enjeksiyon Piperacillin sodium / tazobactam 40/5 mg/ml
Enjeksiyon Dexmedetomidine 4 µg/ml
Sodyum klorür % 0,9 1712
Uyumlu
Enjeksiyon Piperacillin sodium / tazobactam
Enjeksiyon Dimenhydrinate
2087
Uyumlu
Enjeksiyon Piperacillin sodium / tazobactam 40/5 mg/ml
Enjeksiyon Diphenhydramine hydrochloride 2 mg/ml
Glukoz %5 81
Uyumlu
Enjeksiyon Piperacillin sodium / tazobactam 40/5 mg/ml
Enjeksiyon Dopamine hydrochloride 3.2 mg/ml
Glukoz %5 81
Bulanıklık kaybı uyumsuz
Enjeksiyon Piperacillin sodium / tazobactam 40/5 mg/ml
Enjeksiyon Doxorubicin hydrochloride liposome peg 0.4 mg/ml
Glukoz %5 251
Uyumlu
Enjeksiyon Piperacillin sodium / tazobactam 40/5 mg/ml
Enjeksiyon Enalaprilate 0.1 mg/ml
Glukoz %5 81
Uyumlu
Enjeksiyon Piperacillin sodium / tazobactam 40/5 mg/ml
Enjeksiyon Eravacycline 0,6 mg/ml
Sodyum klorür % 0,9 4434
Belirtilmemiş uyumsuzluk uyumsuz
Enjeksiyon Piperacillin sodium / tazobactam
Enjeksiyon Erythromycin lactobionate
3674
Uyumlu
Enjeksiyon Piperacillin sodium / tazobactam 40/5 mg/ml
Enjeksiyon Folinate calcium 2 mg/ml
Glukoz %5 81
Uyumlu
Enjeksiyon Piperacillin sodium / tazobactam 40/5 mg/ml
Enjeksiyon Fosfomycin 30 mg/ml
Glukoz %5 4055
Uyumlu
Enjeksiyon Piperacillin sodium / tazobactam 40/5 mg/ml
Enjeksiyon Furosemide 3 mg/ml
Glukoz %5 81
Uyumlu
Enjeksiyon Piperacillin sodium / tazobactam 40/5 mg/ml
Enjeksiyon Gallium nitrate 0.4 mg/ml
Glukoz %5 81
Anında bulanıklık uyumsuz
Enjeksiyon Piperacillin sodium / tazobactam 40/5 mg/ml
Enjeksiyon Gemcitabine hydrochloride 10 mg/ml
Sodyum klorür % 0,9 1423
Belirtilmemiş uyumsuzluk uyumsuz
Enjeksiyon Piperacillin sodium / tazobactam
Enjeksiyon Gentamicin sulfate
3520
Belirtilmemiş uyumsuzluk uyumsuz
Enjeksiyon Piperacillin sodium / tazobactam
Enjeksiyon Gentamicin sulfate
3643
Uyumlu
Enjeksiyon Piperacillin sodium / tazobactam 0.5/0.0625 mg/ml
Enjeksiyon Heparin sodium 0.5 UI/ml
Dianéal® 1.5% glucose (Baxter) 4180
Uyumlu
Enjeksiyon Piperacillin sodium / tazobactam 0.5/0.0625 mg/ml
Enjeksiyon Heparin sodium 0.5 UI/ml
Extraneal® (Baxter) 4180
Uyumlu
Enjeksiyon Piperacillin sodium / tazobactam 1.38/0.1725 mg/ml
Enjeksiyon Heparin sodium 1.4 UI/ml
Physionéal® 2.27 (Baxter) 4180
Uyumlu
Enjeksiyon Piperacillin sodium / tazobactam 0.5/0.0625 mg/ml
Enjeksiyon Heparin sodium 0.5 UI/ml
Dianéal® 4.25% glucose (Baxter) 4180
Uyumlu
Enjeksiyon Piperacillin sodium / tazobactam 1.38/0.1725 mg/ml
Enjeksiyon Heparin sodium 1.4 UI/ml
Physionéal® 3.86 (Baxter) 4180
Uyumlu
Enjeksiyon Piperacillin sodium / tazobactam 1.38/0.1725 mg/ml
Enjeksiyon Heparin sodium 1.4 UI/ml
Physionéal® 1.36 (Baxter) 4180
Uyumlu
Enjeksiyon Piperacillin sodium / tazobactam 0.5/0.0625 mg/ml
Enjeksiyon Heparin sodium 0.5 UI/ml
Dianéal® 2.5% glucose (Baxter) 4180
Uyumlu
Enjeksiyon Piperacillin sodium / tazobactam 40/5 mg/ml
Enjeksiyon Heparin sodium 100 UI/ml
Glukoz %5 81
Uyumlu
Enjeksiyon Piperacillin sodium / tazobactam 40/5 mg/ml
Enjeksiyon Hetastarch 60 mg/ml
çözücü Özgül 1721
Uyumlu
Enjeksiyon Piperacillin sodium / tazobactam 40/5 mg/ml
Enjeksiyon Hydrocortisone sodium succinate 1 mg/ml
Glukoz %5 81
Uyumlu
Enjeksiyon Piperacillin sodium / tazobactam 40/5 mg/ml
Enjeksiyon Hydromorphone hydrochloride 0.5 mg/ml
Glukoz %5 81
Acil yağış uyumsuz
Enjeksiyon Piperacillin sodium / tazobactam 40/5 mg/ml
Enjeksiyon Hydroxyzine dihydrochloride 4 mg/ml
Glukoz %5 81
Anında bulanıklık uyumsuz
Enjeksiyon Piperacillin sodium / tazobactam 40/5 mg/ml
Enjeksiyon Idarubicin hydrochloride 0.5 mg/ml
Glukoz %5 81
Uyumlu
Enjeksiyon Piperacillin sodium / tazobactam 40/5 mg/ml
Enjeksiyon Ifosfamide 25 mg/ml
Glukoz %5 81
Uyumlu
Enjeksiyon Piperacillin sodium / tazobactam 166/20.83 mg/ml
Enjeksiyon Insulin 1 UI/ml
Sodyum klorür % 0,9 4254
Uyumlu
Enjeksiyon Piperacillin sodium / tazobactam 45 mg/ml
Enjeksiyon Insulin aspart 1 UI/ml
Sodyum klorür % 0,9 1508
Uyumlu
Enjeksiyon Piperacillin sodium / tazobactam 45 mg/ml
Enjeksiyon Insulin aspart 1 UI/ml
Glukoz %5 1508
Uyumlu
Enjeksiyon Piperacillin sodium / tazobactam 40/5 mg/ml
Enjeksiyon Isavuconazonium sulfate 1.5 mg/ml
Sodyum klorür % 0,9 3829
Uyumlu
Enjeksiyon Piperacillin sodium / tazobactam 40/5 mg/ml
Enjeksiyon Lansoprazole 0.55 mg/ml
Sodyum klorür % 0,9 1625
Uyumlu
Enjeksiyon Piperacillin sodium / tazobactam 166/20.83 mg/ml
Enjeksiyon Levetiracetam 20.83 mg/ml
Glukoz %5 4254
Uyumlu
Enjeksiyon Piperacillin sodium / tazobactam 166/20.83 mg/ml
Enjeksiyon Levetiracetam 20.83 mg/ml
Sodyum klorür % 0,9 4254
Uyumlu
Enjeksiyon Piperacillin sodium / tazobactam 80 mg/ml
Parenteral beslenme (ikili karışım) 3948
Uyumlu
Enjeksiyon Piperacillin sodium / tazobactam 166/20.83 mg/ml
Enjeksiyon Insulin 1 UI/ml
Glukoz %5 4254
Uyumlu
Enjeksiyon Piperacillin sodium / tazobactam 33,75 mg/ml
Enjeksiyon Levetiracetam 5 mg/ml
Sodyum klorür % 0,9 4569
Uyumlu
Enjeksiyon Piperacillin sodium / tazobactam 40/5 mg/ml
Parenteral beslenme (ikili karışım) 301
Anında bulanıklık uyumsuz
Enjeksiyon Piperacillin sodium / tazobactam 40/5 mg/ml
Enjeksiyon Isavuconazonium sulfate 1.5 mg/ml
Glukoz %5 3829
Belirtilmemiş uyumsuzluk uyumsuz
Enjeksiyon Piperacillin sodium / tazobactam
NaHCO3 3586
Kimyasal kararsızlık uyumsuz
Enjeksiyon Piperacillin sodium / tazobactam
Enjeksiyon Kanamycin sulfate
3586
Uyumlu
Enjeksiyon Piperacillin sodium / tazobactam 200 mg/ml
Enjeksiyon Ketamine hydrochloride 50 mg/ml
2109
Subvisual uyumsuzluk uyumsuz
Enjeksiyon Piperacillin sodium / tazobactam 45 mg/ml
Enjeksiyon Levetiracetam 5 mg/ml
Sodyum klorür % 0,9 4569
Uyumlu
Enjeksiyon Piperacillin sodium / tazobactam 125 mg/ml
Enjeksiyon Linezolid 2 mg/ml
4928
Uyumlu
Enjeksiyon Piperacillin sodium / tazobactam 40/5 mg/ml
Enjeksiyon Linezolid 2 mg/ml
Yok 1925
Uyumlu
Enjeksiyon Piperacillin sodium / tazobactam 40/5 mg/ml
Enjeksiyon Lorazepam 0.1 mg/ml
Glukoz %5 81
Uyumlu
Enjeksiyon Piperacillin sodium / tazobactam 40/5 mg/ml
Enjeksiyon Magnesium sulfate 100 mg/ml
Glukoz %5 81
Uyumlu
Enjeksiyon Piperacillin sodium / tazobactam 40/5 mg/ml
Enjeksiyon Mannitol 150 mg/ml
Glukoz %5 81
Uyumlu
Enjeksiyon Piperacillin sodium / tazobactam 200 mg/ml
Enjeksiyon Meropenem 50 mg/ml
Enjeksiyonluk su 4319
Uyumlu
Enjeksiyon Piperacillin sodium / tazobactam 40/5 mg/ml
Enjeksiyon Mesna 10 mg/ml
Glukoz %5 81
Uyumlu
Enjeksiyon Piperacillin sodium / tazobactam 40/5 mg/ml
Enjeksiyon Methotrexate sodium 15 mg/ml
Glukoz %5 81
Uyumlu
Enjeksiyon Piperacillin sodium / tazobactam 40/5 mg/ml
Enjeksiyon Methylprednisolone sodium succinate 5 mg/ml
Glukoz %5 81
Uyumlu
Enjeksiyon Piperacillin sodium / tazobactam 40/5 mg/ml
Enjeksiyon Metoclopramide hydrochloride 5 mg/ml
Glukoz %5 81
Uyumlu
Enjeksiyon Piperacillin sodium / tazobactam 40/5 mg/ml
Enjeksiyon Metronidazole 5 mg/ml
Glukoz %5 81
Acil yağış uyumsuz
Enjeksiyon Piperacillin sodium / tazobactam 40/5 mg/ml
Enjeksiyon Minocycline hydrochloride 1 mg/ml
Glukoz %5 81
4 saat sonra renk değişimi uyumsuz
Enjeksiyon Piperacillin sodium / tazobactam 40/5 mg/ml
Enjeksiyon Mitomycin 0.5 mg/ml
Glukoz %5 81
Acil yağış uyumsuz
Enjeksiyon Piperacillin sodium / tazobactam 40/5 mg/ml
Enjeksiyon Mitoxantrone dihydrochloride 0.5 mg/ml
Glukoz %5 81
Uyumlu
Enjeksiyon Piperacillin sodium / tazobactam 40/5 mg/ml
Enjeksiyon Morphine sulfate 1 mg/ml
Glukoz %5 81
Uyumlu
Enjeksiyon Piperacillin sodium / tazobactam
Enjeksiyon N-acetylcysteine 200 mg/ml
Yok 3766
Anında bulanıklık uyumsuz
Enjeksiyon Piperacillin sodium / tazobactam 40/5 mg/ml
Enjeksiyon Nalbuphine hydrochloride 10 mg/ml
Glukoz %5 81
Uyumlu
Enjeksiyon Piperacillin sodium / tazobactam 200 mg/ml
Enjeksiyon Naloxone hydrochloride 0.4 mg/ml
Yok 3408
Kimyasal kararsızlık uyumsuz
Enjeksiyon Piperacillin sodium / tazobactam
Enjeksiyon Netilmicin sulfate
3586
Uyumlu
Enjeksiyon Piperacillin sodium / tazobactam 20/2,5 & 40/5 mg/ml
Enjeksiyon Ondansetron hydrochloride 0,015 >> 0,15 mg/ml
Sodyum klorür % 0,9 16
Uyumlu
Enjeksiyon Piperacillin sodium / tazobactam 40/5 mg/ml
Enjeksiyon Ondansetron hydrochloride 0.1 mg/ml
Glukoz %5 81
Uyumlu
Enjeksiyon Piperacillin sodium / tazobactam 200/25 mg/ml
Enjeksiyon Oxycodone hydrochloride 1 mg/ml
Sodyum klorür % 0,9 4842
1 saat sonra yağış uyumsuz
Enjeksiyon Piperacillin sodium / tazobactam
Enjeksiyon Pantoprazole sodium
2090
Uyumlu
Enjeksiyon Piperacillin sodium / tazobactam 100 mg/ml
Enjeksiyon Paracetamol 10 mg/ml
Yok 3571
Uyumlu
Enjeksiyon Piperacillin sodium / tazobactam 100 mg/ml
Enjeksiyon Paracetamol 10 mg/ml
4742
Uyumlu
Enjeksiyon Piperacillin sodium / tazobactam 200 mg/ml
Enjeksiyon Pentoxifyllin 5 mg/ml
Sodyum klorür % 0,9 4538
Uyumlu
Enjeksiyon Piperacillin sodium / tazobactam 40/5 mg/ml
Enjeksiyon Pethidine hydrochloride 4 mg/ml
Glukoz %5 81
Kimyasal kararsızlık uyumsuz
Enjeksiyon Piperacillin sodium / tazobactam
Enjeksiyon Plazomicin sulfate
3586
Uyumlu
Enjeksiyon Piperacillin sodium / tazobactam 40/5 mg/ml
Enjeksiyon Plazomicin sulfate 24 mg/ml
Sodyum klorür % 0,9 4145
Acil yağış uyumsuz
Enjeksiyon Piperacillin sodium / tazobactam 160 mg/ml
Enjeksiyon Posaconazole 1,2 mg/ml
Sodyum klorür % 0,9 4521
Uyumlu
Enjeksiyon Piperacillin sodium / tazobactam 40/5 mg/ml
Enjeksiyon Potassium chloride 100 mEq/l
Glukoz %5 81
Anında bulanıklık uyumsuz
Enjeksiyon Piperacillin sodium / tazobactam 40/5 mg/ml
Enjeksiyon Prochlorperazine edysilate 0.5 mg/ml
Glukoz %5 81
Anında bulanıklık uyumsuz
Enjeksiyon Piperacillin sodium / tazobactam 40/5 mg/ml
Enjeksiyon Promethazine hydrochloride 2 mg/ml
Glukoz %5 81
Uyumlu
Enjeksiyon Piperacillin sodium / tazobactam 40/5 mg/ml
Enjeksiyon Ranitidine hydrochloride 2 mg/ml
Glukoz %5 81
Uyumlu
Enjeksiyon Piperacillin sodium / tazobactam 40/5 mg/ml
Enjeksiyon Remifentanil hydrochloride 25 & 250 µg/ml
Sodyum klorür % 0,9 59
Acil yağış uyumsuz
Enjeksiyon Piperacillin sodium / tazobactam 200 mg/ml
Enjeksiyon Salbutamol sulfate 1 mg/ml
Yok 3216
Uyumlu
Enjeksiyon Piperacillin sodium / tazobactam 40/5 mg/ml
Enjeksiyon Sargramostim 10 µg/ml
Glukoz %5 81
Uyumlu
Enjeksiyon Piperacillin sodium / tazobactam 200 mg/ml
Enjeksiyon Sildenafil citrate 0,6 mg/ml
Glukoz %5 4845
Belirtilmemiş uyumsuzluk uyumsuz
Enjeksiyon Piperacillin sodium / tazobactam
Enjeksiyon Sodium bicarbonate
3586
Uyumlu
Enjeksiyon Piperacillin sodium / tazobactam 40/5 mg/ml
Enjeksiyon Sodium bicarbonate 84 mg/ml
Glukoz %5 81
Kimyasal kararsızlık uyumsuz
Enjeksiyon Piperacillin sodium / tazobactam
Enjeksiyon Streptomycin sulfate
3586
1 saat sonra yağış uyumsuz
Enjeksiyon Piperacillin sodium / tazobactam 40/5 mg/ml
Enjeksiyon Streptozocin 40 mg/ml
Glukoz %5 81
Uyumlu
Enjeksiyon Piperacillin sodium / tazobactam 40/5 mg/ml
Enjeksiyon Sulbactam/durlobactam 15/15 mg/ml
Sodyum klorür % 0,9 4801
Uyumlu
Enjeksiyon Piperacillin sodium / tazobactam 40/5 mg/ml
Enjeksiyon Tedizolid phosphate 0.8 mg/ml
Sodyum klorür % 0,9 3827
Uyumlu
Enjeksiyon Piperacillin sodium / tazobactam 40/5 mg/ml
Enjeksiyon Telavancin hydrochloride 7.5 mg/ml
Glukoz %5 3254
Uyumlu
Enjeksiyon Piperacillin sodium / tazobactam 40/5 mg/ml
Enjeksiyon Telavancin hydrochloride 7.5 mg/ml
Sodyum klorür % 0,9 3254
Uyumlu
Enjeksiyon Piperacillin sodium / tazobactam 40/5 mg/ml
Enjeksiyon Telavancin hydrochloride 7.5 mg/ml
Laktatlı ringer 3254
Kimyasal kararsızlık uyumsuz
Enjeksiyon Piperacillin sodium / tazobactam 200 mg/ml
Enjeksiyon Temocilline 83.33 mg/ml
Enjeksiyonluk su 2231
Belirtilmemiş uyumsuzluk uyumsuz
Enjeksiyon Piperacillin sodium / tazobactam
Enjeksiyon Temocilline
4470
Uyumlu
Enjeksiyon Piperacillin sodium / tazobactam 166/20.83 mg/ml
Enjeksiyon Thiamine hydrochloride 0.4 mg/ml
Glukoz %5 4254
Acil yağış uyumsuz
Enjeksiyon Piperacillin sodium / tazobactam 200 mg/ml
Enjeksiyon Thiopental sodium 25 mg/ml
Sodyum klorür % 0,9 3767
Uyumlu
Enjeksiyon Piperacillin sodium / tazobactam 40/5 mg/ml
Enjeksiyon Thiotepa 1 mg/ml
Glukoz %5 81
Uyumlu
Enjeksiyon Piperacillin sodium / tazobactam
Enjeksiyon Tigecycline
Sodyum klorür % 0,9 3332
Kimyasal kararsızlık uyumsuz
Enjeksiyon Piperacillin sodium / tazobactam
Enjeksiyon Tobramycin sulfate
3586
Acil yağış uyumsuz
Enjeksiyon Piperacillin sodium / tazobactam 112,5 mg/ml
Enjeksiyon Vancomycin hydrochloride 10 mg/ml
Glukoz %5 3428
Uyumlu
Enjeksiyon Piperacillin sodium / tazobactam
Glukoz %5 3586
Uyumlu
Enjeksiyon Piperacillin sodium / tazobactam
Sodyum klorür % 0,9 5069
Acil yağış uyumsuz
Enjeksiyon Piperacillin sodium / tazobactam 100/12,5 mg/ml
Enjeksiyon Vancomycin hydrochloride 10 mg/ml
3365
Acil yağış uyumsuz
Enjeksiyon Piperacillin sodium / tazobactam 40 >> 100 mg/ml
Enjeksiyon Vancomycin hydrochloride 10 mg/ml
Sodyum klorür % 0,9 2475
Acil yağış uyumsuz
Enjeksiyon Piperacillin sodium / tazobactam
Enjeksiyon Vancomycin hydrochloride >8 mg/ml
Sodyum klorür % 0,9 3841
Uyumlu
Enjeksiyon Piperacillin sodium / tazobactam 16 >> 100 mg/ml
Enjeksiyon Vancomycin hydrochloride 2 mg/ml
Sodyum klorür % 0,9 2475
Uyumlu
Enjeksiyon Piperacillin sodium / tazobactam 16 >> 100 mg/ml
Enjeksiyon Vancomycin hydrochloride 5 mg/ml
Sodyum klorür % 0,9 2475
Uyumlu
Enjeksiyon Piperacillin sodium / tazobactam 16 >> 30 mg/ml
Enjeksiyon Vancomycin hydrochloride 10 mg/ml
Sodyum klorür % 0,9 2475
Uyumlu
Enjeksiyon Piperacillin sodium / tazobactam 30/3,75 mg/ml
Enjeksiyon Vancomycin hydrochloride 4 mg/ml
Sodyum klorür % 0,9 3421
Uyumlu
Enjeksiyon Piperacillin sodium / tazobactam 40/5 mg/ml
Enjeksiyon Vancomycin hydrochloride 4 mg/ml
Sodyum klorür % 0,9 3421
Uyumlu
Enjeksiyon Piperacillin sodium / tazobactam 33.75 >> 90 mg/ml
Enjeksiyon Vancomycin hydrochloride 4 >> 7 mg/ml
Sodyum klorür % 0,9 3841
Acil yağış uyumsuz
Enjeksiyon Piperacillin sodium / tazobactam 80 & 90 mg/ml
Enjeksiyon Vancomycin hydrochloride 8 mg/ml
Sodyum klorür % 0,9 3841
Uyumlu
Enjeksiyon Piperacillin sodium / tazobactam 33.75 >> 67.5 mg/ml
Enjeksiyon Vancomycin hydrochloride 8 mg/ml
Sodyum klorür % 0,9 3841
Anında bulanıklık uyumsuz
Enjeksiyon Piperacillin sodium / tazobactam 40/5 mg/ml
Enjeksiyon Vancomycin hydrochloride 10 mg/ml
Glukoz %5 81
Belirtilmemiş uyumsuzluk uyumsuz
Enjeksiyon Piperacillin sodium / tazobactam 200 mg/ml
Enjeksiyon Vancomycin hydrochloride 10 mg/ml
Glukoz %5 3385
Acil yağış uyumsuz
Enjeksiyon Piperacillin sodium / tazobactam 10/1.25 >> 200/25 mg/ml
Enjeksiyon Vancomycin hydrochloride 20 mg/ml
Glukoz %5 1674
Acil yağış uyumsuz
Enjeksiyon Piperacillin sodium / tazobactam 80 >> 100 mg/ml
Enjeksiyon Vancomycin hydrochloride 4 mg/ml
Glukoz %5 2475
Acil yağış uyumsuz
Enjeksiyon Piperacillin sodium / tazobactam 16 >> 100 mg/ml
Enjeksiyon Vancomycin hydrochloride 8 mg/ml
Glukoz %5 2475
Acil yağış uyumsuz
Enjeksiyon Piperacillin sodium / tazobactam 28 mg/ml
Enjeksiyon Vancomycin hydrochloride 10 & 15 mg/ml
Glukoz %5 3984
Acil yağış uyumsuz
Enjeksiyon Piperacillin sodium / tazobactam 67,5 mg/ml
Enjeksiyon Vancomycin hydrochloride 5 mg/ml
Glukoz %5 3960
Uyumlu
Enjeksiyon Piperacillin sodium / tazobactam 16 >> 40 mg/ml
Enjeksiyon Vancomycin hydrochloride 4 mg/ml
Glukoz %5 2475
Uyumlu
Enjeksiyon Piperacillin sodium / tazobactam 28 mg/ml
Enjeksiyon Vancomycin hydrochloride 5 mg/ml
Glukoz %5 3984
Uyumlu
Enjeksiyon Piperacillin sodium / tazobactam 1/0.125 >> 200/25 mg/ml
Enjeksiyon Vancomycin hydrochloride 2 mg/ml
Glukoz %5 1674
Uyumlu
Enjeksiyon Piperacillin sodium / tazobactam 1/0.125 mg/ml
Enjeksiyon Vancomycin hydrochloride 20 mg/ml
Glukoz %5 1674
Uyumlu
Enjeksiyon Piperacillin sodium / tazobactam 112.5 mg/ml
Enjeksiyon Vasopressin 0.2 UI/ml
Sodyum klorür % 0,9 2017
Uyumlu
Enjeksiyon Piperacillin sodium / tazobactam 40/5 mg/ml
Enjeksiyon Vinblastine sulfate 0.12 mg/ml
Glukoz %5 81
Uyumlu
Enjeksiyon Piperacillin sodium / tazobactam 40/5 mg/ml
Enjeksiyon Vincristine sulfate 0.05 mg/ml
Glukoz %5 81
Uyumlu
Enjeksiyon Piperacillin sodium / tazobactam 40/5 mg/ml
Enjeksiyon Zidovudine 4 mg/ml
Glukoz %5 81
Uyumlu
Enjeksiyon Piperacillin sodium / tazobactam 40/5 mg/ml
Normosol® 4655

  Mentions Légales