zadnja posodobitev :
18/03/2026
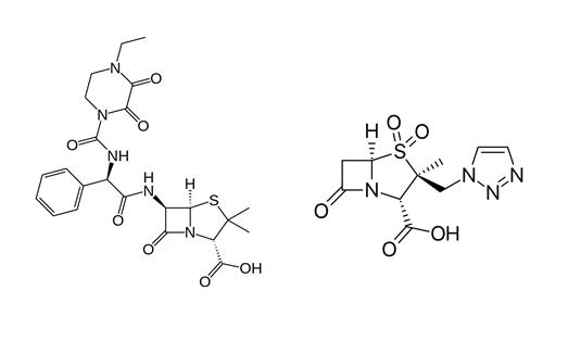
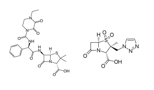
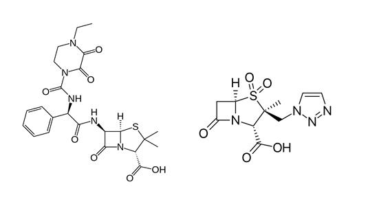
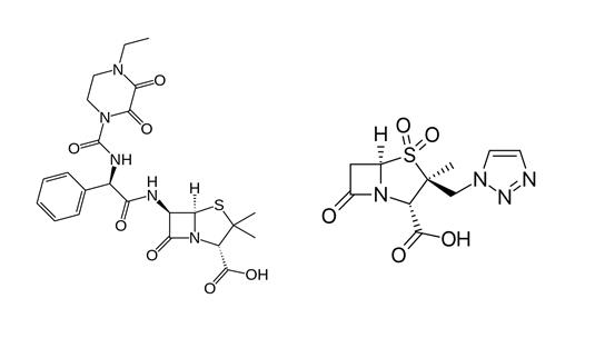
Antibiotik   Piperacillin sodium / tazobactam  
Brizgalka
Stabilnost raztopine Stabilnost mešanice Faktorji, ki vplivajo na stabilnost Kompatibilnost način aplikacije Viri pdf
   Kemična formula  

Lastniško ime   Lastniško ime     

Sestava pomožnih snovi je med paralelami lahko različna

Bagotaz Argentina
Betampil Ekvador
Bioval Čile
Petezam Argentina
Piperac Nemčija
Piperacillin tazobactam Belgija, Kanada, Nemčija
Piperazam Brazilija
Pipetazo Čile
Pipitaz Avstrija
Pixamol Kolumbija
Tazobac Ekvador, Italija, Portugalska, Švica
Tazocel Španija
Tazocilline Francija
Tazocin Argentina, Avstralija, Brazilija, Danska, Egipt, Finska, Grčija, Hrvaška, Italija, Južnoafriška republika, Kolumbija, Luksemburg, Madžarska, Mehika, Nizozemska, Norveška, nova Zelandija, Peru, Poljska, Severna irska, Švedska, Turčija, Velika Britanija, Združeni arabski emirati
Tazonam Avstrija, Čile
Tazopip Avstralija
Tazpen Kolumbija, Mehika
Tazrobida Kolumbija
Tigux Čile
Tratac Čile
Trital Ekvador
Zosyn Japonska, Združene države Amerike
Kompatibilnost   Brizgalka   Kompatibilnost : Piperacillin sodium / tazobactam              
Ta zaslon prikazuje združljivost ali nezdružljivost s, v tem primeru, vrsto nezdružljivosti (padavine, sprememba barve, sprememba emulzije itd.). Tu prikazane združljivosti so večinoma samo fizične, pri čemer se kemijska stabilnost vsake molekule redko ocenjuje. Vrednotenje teh zmesi so preučevali, da bi preučili možnost pacientovega dajanja na mestu Y. Teh podatkov ni mogoče uporabiti za pripravo mešanic v vrečkah ali brizgah. Ta vrsta informacij je na voljo na zaslonu "Obstojnost v mešanici".
Sestava Topilo Viri
Padavine po 1 uri Nezdružljivo
Brizgalka Piperacillin sodium / tazobactam 40/5 mg/ml
Brizgalka Aciclovir sodium 7 mg/ml
Glukoza 5% 81
Združljivo
Brizgalka Piperacillin sodium / tazobactam 40/5 mg/ml
Parenteralna prehrana (z lipidi) 1415
Združljivo
Brizgalka Piperacillin sodium / tazobactam 200 mg/ml
Ringerjev laktat 4603
Združljivo
Brizgalka Piperacillin sodium / tazobactam 80 mg/ml
Parenteralna prehrana (z lipidi) 3948
Kemijska nestabilnost Nezdružljivo
Brizgalka Piperacillin sodium / tazobactam
Brizgalka Amikacin sulfate
3586
Združljivo
Brizgalka Piperacillin sodium / tazobactam 200 mg/ml
Parenteralna prehrana (z lipidi) 4924
Motnost v 24 urah Nezdružljivo
Brizgalka Piperacillin sodium / tazobactam 60 mg/ml
Brizgalka Amiodarone hydrochloride 6 mg/ml
Glukoza 5% 1611
Takoj padavine Nezdružljivo
Brizgalka Piperacillin sodium / tazobactam 40/5 mg/ml
Brizgalka Amphotericin B 0.6 mg/ml
Glukoza 5% 81
Takoj padavine Nezdružljivo
Brizgalka Piperacillin sodium / tazobactam 40/5 mg/ml
Brizgalka Amphotericin B cholesteryl sulfate complex 0.83 mg/ml
Glukoza 5% 921
Združljivo
Brizgalka Piperacillin sodium / tazobactam 40/5 mg/ml
Brizgalka Anidulafungin 0.5 mg/ml
Glukoza 5% 1982
Združljivo
Brizgalka Piperacillin sodium / tazobactam 40/5 mg/ml
Brizgalka Aztreonam 40 mg/ml
Glukoza 5% 81
Združljivo
Brizgalka Piperacillin sodium / tazobactam 40/5 mg/ml
Brizgalka Bivalirudin 5 mg/ml
Glukoza 5% 1713
Združljivo
Brizgalka Piperacillin sodium / tazobactam 40/5 mg/ml
Brizgalka Bleomycin sulfate 1 mg/ml
Glukoza 5% 81
Združljivo
Brizgalka Piperacillin sodium / tazobactam 200 mg/ml
Brizgalka Caffeine 10 mg/ml
Nobeden 3964
Združljivo
Brizgalka Piperacillin sodium / tazobactam 40/5 mg/ml
Brizgalka Carboplatin 5 mg/ml
Glukoza 5% 81
Združljivo
Brizgalka Piperacillin sodium / tazobactam 40/5 mg/ml
Brizgalka Carmustine 1.5 mg/ml
Glukoza 5% 81
Združljivo
Brizgalka Piperacillin sodium / tazobactam 40/5 mg/ml
Brizgalka Ceftolozane / tazobactam 10/5 mg/ml
Natrijev klorid 0,9% 3828
Takojšnja motnost Nezdružljivo
Brizgalka Piperacillin sodium / tazobactam 40/5 mg/ml
Brizgalka Chlorpromazine hydrochloride 2 mg/ml
Glukoza 5% 81
Združljivo
Brizgalka Piperacillin sodium / tazobactam 40/5 mg/ml
Brizgalka Cisatracurium besylate 0.1 & 2 mg/ml
Glukoza 5% 299
Padavine po 1 uri Nezdružljivo
Brizgalka Piperacillin sodium / tazobactam 40/5 mg/ml
Brizgalka Cisplatin 1 mg/ml
Glukoza 5% 81
Združljivo
Brizgalka Piperacillin sodium / tazobactam 40/5 mg/ml
Brizgalka Clindamycin phosphate 10 mg/ml
Glukoza 5% 81
Združljivo
Brizgalka Piperacillin sodium / tazobactam 40/5 mg/ml
Brizgalka Co-trimoxazole 0.8/4 mg/ml
Glukoza 5% 81
Združljivo
Brizgalka Piperacillin sodium / tazobactam 40/0.5 mg/ml
Brizgalka Colistin mesilate sodium 1.5 mg/ml
Natrijev klorid 0,9% 3997
Združljivo
Brizgalka Piperacillin sodium / tazobactam 40/5 mg/ml
Brizgalka Cyclophosphamide 10 mg/ml
Glukoza 5% 81
Združljivo
Brizgalka Piperacillin sodium / tazobactam 40/5 mg/ml
Brizgalka Cytarabine 50 mg/ml
Glukoza 5% 81
Takoj padavine Nezdružljivo
Brizgalka Piperacillin sodium / tazobactam 40/5 mg/ml
Brizgalka Dacarbazine 4 mg/ml
Glukoza 5% 81
Takojšnja motnost Nezdružljivo
Brizgalka Piperacillin sodium / tazobactam 40/5 mg/ml
Brizgalka Daunorubicin hydrochloride 1 mg/ml
Glukoza 5% 81
Takojšnja motnost Nezdružljivo
Brizgalka Piperacillin sodium / tazobactam
Brizgalka Daunorubicin/cytarabine liposomale 0,4 mg/mL
Natrijev klorid 0,9% 4654
Takojšnja motnost Nezdružljivo
Brizgalka Piperacillin sodium / tazobactam 40/5 mg/ml
Brizgalka Dobutamine hydrochloride 4 mg/ml
Glukoza 5% 81
Združljivo
Brizgalka Piperacillin sodium / tazobactam 40/5 mg/ml
Brizgalka Docetaxel 0.9 mg/ml
Glukoza 5% 1754
Takojšnja motnost Nezdružljivo
Brizgalka Piperacillin sodium / tazobactam 40/5 mg/ml
Brizgalka Doxorubicin hydrochloride 2 mg/ml
Glukoza 5% 81
Takojšnja motnost Nezdružljivo
Brizgalka Piperacillin sodium / tazobactam 40/5 mg/ml
Brizgalka Doxycycline hyclate 1 mg/ml
Glukoza 5% 81
Takoj padavine Nezdružljivo
Brizgalka Piperacillin sodium / tazobactam 40/5 mg/ml
Brizgalka Droperidol 0.4 mg/ml
Glukoza 5% 81
Združljivo
Brizgalka Piperacillin sodium / tazobactam 40/5 mg/ml
Brizgalka Etoposide 0.4 mg/ml
Glukoza 5% 81
Združljivo
Brizgalka Piperacillin sodium / tazobactam 40/5 mg/ml
Brizgalka Etoposide phosphate 5 mg/ml
Natrijev klorid 0,9% 1410
Takoj padavine Nezdružljivo
Brizgalka Piperacillin sodium / tazobactam 40/5 mg/ml
Brizgalka Famotidine 2 mg/ml
Glukoza 5% 81
Združljivo
Brizgalka Piperacillin sodium / tazobactam 40/5 mg/ml
Brizgalka Fenoldopam mesylate 80 µg/ml
Natrijev klorid 0,9% 1803
Združljivo
Brizgalka Piperacillin sodium / tazobactam 40/5 mg/ml
Brizgalka Floxuridine 3 mg/ml
Glukoza 5% 81
Združljivo
Brizgalka Piperacillin sodium / tazobactam 40/5 mg/ml
Brizgalka Fluconazole 2 mg/ml
Glukoza 5% 81
Združljivo
Brizgalka Piperacillin sodium / tazobactam 40/5 mg/ml
Brizgalka Fludarabine phosphate 1 mg/ml
Glukoza 5% 81
Združljivo
Brizgalka Piperacillin sodium / tazobactam 40/5 mg/ml
Brizgalka Fluorouracil 16 mg/ml
Glukoza 5% 81
Združljivo
Brizgalka Piperacillin sodium / tazobactam 40/5 mg/ml
Brizgalka Fosfomycin 30 mg/ml
Natrijev klorid 0,9% 4055
Padavine po 1 uri Nezdružljivo
Brizgalka Piperacillin sodium / tazobactam 40/5 mg/ml
Brizgalka Ganciclovir sodium 20 mg/ml
Glukoza 5% 81
Kemijska nestabilnost Nezdružljivo
Brizgalka Piperacillin sodium / tazobactam
Brizgalka Gentamicin sulfate
3586
Združljivo
Brizgalka Piperacillin sodium / tazobactam 40/5 mg/ml
Brizgalka Granisetron hydrochloride 0.05 mg/ml
Glukoza 5% 182
Takoj padavine Nezdružljivo
Brizgalka Piperacillin sodium / tazobactam 40/5 mg/ml
Brizgalka Haloperidol lactate 0.2 mg/ml
Glukoza 5% 81
Nedoločena nezdružljivost Nezdružljivo
Brizgalka Piperacillin sodium / tazobactam
Ringerjev laktat 3586
Nedoločena nezdružljivost Nezdružljivo
Brizgalka Piperacillin sodium / tazobactam
Brizgalka Aciclovir sodium
3595
Kemijska nestabilnost Nezdružljivo
Brizgalka Piperacillin sodium / tazobactam
Brizgalka Amikacin sulfate
3549
Združljivo
Brizgalka Piperacillin sodium / tazobactam 40/5 mg/ml
Brizgalka Aminophylline 2.5 mg/ml
Glukoza 5% 81
Združljivo
Brizgalka Piperacillin sodium / tazobactam 100 mg/ml
Brizgalka Amoxicillin sodium / clavulanic acid 100/10 mg/ml
3824
Takoj padavine Nezdružljivo
Brizgalka Piperacillin sodium / tazobactam 112.5 mg/ml
Brizgalka Azithromycine 2 mg/ml
Natrijev klorid 0,9% 1800
Združljivo
Brizgalka Piperacillin sodium / tazobactam 40/5 mg/ml
Brizgalka Bumetanide 0.04 mg/ml
Glukoza 5% 81
Združljivo
Brizgalka Piperacillin sodium / tazobactam 40/5 mg/ml
Brizgalka Buprenorphine hydrochloride 0.04 mg/ml
Glukoza 5% 81
Združljivo
Brizgalka Piperacillin sodium / tazobactam 40/5 mg/ml
Brizgalka Butorphanol tartrate 0.04 mg/ml
Glukoza 5% 81
Združljivo
Brizgalka Piperacillin sodium / tazobactam 200 mg/ml
Brizgalka Caffeine 10 mg/ml
Voda za injekcije 4837
Združljivo
Brizgalka Piperacillin sodium / tazobactam 200 mg/ml
Brizgalka Caffeine citrate 20 mg/ml
Voda za injekcije 4837
Združljivo
Brizgalka Piperacillin sodium / tazobactam 40/5 mg/ml
Brizgalka Calcium gluconate 40 mg/ml
Glukoza 5% 81
Takoj padavine Nezdružljivo
Brizgalka Piperacillin sodium / tazobactam 90 mg/ml
Brizgalka Caspofungin acetate 0.5 mg/ml
Natrijev klorid 0,9% 2233
Takoj padavine Nezdružljivo
Brizgalka Piperacillin sodium / tazobactam 40/5 mg/ml
Brizgalka Caspofungin acetate 0,7 mg/ml
Natrijev klorid 0,9% 2247
Združljivo
Brizgalka Piperacillin sodium / tazobactam 40/5 mg/ml
Brizgalka Ceftolozane / tazobactam 10/5 mg/ml
Glukoza 5% 3828
Združljivo
Brizgalka Piperacillin sodium / tazobactam 40/5 mg/ml
Brizgalka Cimetidine hydrochloride 12 mg/ml
Glukoza 5% 81
Nedoločena nezdružljivost Nezdružljivo
Brizgalka Piperacillin sodium / tazobactam
Brizgalka Ciprofloxacin lactate
3529
Padavine po 4 urah Nezdružljivo
Brizgalka Piperacillin sodium / tazobactam 40/5 mg/ml
Brizgalka Cisatracurium besylate 5 mg/ml
Glukoza 5% 299
Združljivo
Brizgalka Piperacillin sodium / tazobactam 225 mg/ml
Brizgalka Cloxacillin sodium 100 mg/ml
Voda za injekcije 3012
Subvisualna nezdružljivost Nezdružljivo
Brizgalka Piperacillin sodium / tazobactam
Brizgalka Daunorubicin/cytarabine liposomale
4354
Združljivo
Brizgalka Piperacillin sodium / tazobactam 40/5 mg/ml
Brizgalka Dexamethasone sodium phosphate 1 mg/ml
Glukoza 5% 81
Združljivo
Brizgalka Piperacillin sodium / tazobactam 40/5 mg/ml
Brizgalka Dexmedetomidine 4 µg/ml
Natrijev klorid 0,9% 1712
Združljivo
Brizgalka Piperacillin sodium / tazobactam
Brizgalka Dimenhydrinate
2087
Združljivo
Brizgalka Piperacillin sodium / tazobactam 40/5 mg/ml
Brizgalka Diphenhydramine hydrochloride 2 mg/ml
Glukoza 5% 81
Združljivo
Brizgalka Piperacillin sodium / tazobactam 40/5 mg/ml
Brizgalka Dopamine hydrochloride 3.2 mg/ml
Glukoza 5% 81
Izguba motnosti Nezdružljivo
Brizgalka Piperacillin sodium / tazobactam 40/5 mg/ml
Brizgalka Doxorubicin hydrochloride liposome peg 0.4 mg/ml
Glukoza 5% 251
Združljivo
Brizgalka Piperacillin sodium / tazobactam 40/5 mg/ml
Brizgalka Enalaprilate 0.1 mg/ml
Glukoza 5% 81
Združljivo
Brizgalka Piperacillin sodium / tazobactam 40/5 mg/ml
Brizgalka Eravacycline 0,6 mg/ml
Natrijev klorid 0,9% 4434
Nedoločena nezdružljivost Nezdružljivo
Brizgalka Piperacillin sodium / tazobactam
Brizgalka Erythromycin lactobionate
3674
Združljivo
Brizgalka Piperacillin sodium / tazobactam 40/5 mg/ml
Brizgalka Folinate calcium 2 mg/ml
Glukoza 5% 81
Združljivo
Brizgalka Piperacillin sodium / tazobactam 40/5 mg/ml
Brizgalka Fosfomycin 30 mg/ml
Glukoza 5% 4055
Združljivo
Brizgalka Piperacillin sodium / tazobactam 40/5 mg/ml
Brizgalka Furosemide 3 mg/ml
Glukoza 5% 81
Združljivo
Brizgalka Piperacillin sodium / tazobactam 40/5 mg/ml
Brizgalka Gallium nitrate 0.4 mg/ml
Glukoza 5% 81
Takojšnja motnost Nezdružljivo
Brizgalka Piperacillin sodium / tazobactam 40/5 mg/ml
Brizgalka Gemcitabine hydrochloride 10 mg/ml
Natrijev klorid 0,9% 1423
Nedoločena nezdružljivost Nezdružljivo
Brizgalka Piperacillin sodium / tazobactam
Brizgalka Gentamicin sulfate
3520
Nedoločena nezdružljivost Nezdružljivo
Brizgalka Piperacillin sodium / tazobactam
Brizgalka Gentamicin sulfate
3643
Združljivo
Brizgalka Piperacillin sodium / tazobactam 0.5/0.0625 mg/ml
Brizgalka Heparin sodium 0.5 UI/ml
Dianéal® 1.5% glucose (Baxter) 4180
Združljivo
Brizgalka Piperacillin sodium / tazobactam 0.5/0.0625 mg/ml
Brizgalka Heparin sodium 0.5 UI/ml
Extraneal® (Baxter) 4180
Združljivo
Brizgalka Piperacillin sodium / tazobactam 1.38/0.1725 mg/ml
Brizgalka Heparin sodium 1.4 UI/ml
Physionéal® 2.27 (Baxter) 4180
Združljivo
Brizgalka Piperacillin sodium / tazobactam 0.5/0.0625 mg/ml
Brizgalka Heparin sodium 0.5 UI/ml
Dianéal® 4.25% glucose (Baxter) 4180
Združljivo
Brizgalka Piperacillin sodium / tazobactam 1.38/0.1725 mg/ml
Brizgalka Heparin sodium 1.4 UI/ml
Physionéal® 3.86 (Baxter) 4180
Združljivo
Brizgalka Piperacillin sodium / tazobactam 1.38/0.1725 mg/ml
Brizgalka Heparin sodium 1.4 UI/ml
Physionéal® 1.36 (Baxter) 4180
Združljivo
Brizgalka Piperacillin sodium / tazobactam 0.5/0.0625 mg/ml
Brizgalka Heparin sodium 0.5 UI/ml
Dianéal® 2.5% glucose (Baxter) 4180
Združljivo
Brizgalka Piperacillin sodium / tazobactam 40/5 mg/ml
Brizgalka Heparin sodium 100 UI/ml
Glukoza 5% 81
Združljivo
Brizgalka Piperacillin sodium / tazobactam 40/5 mg/ml
Brizgalka Hetastarch 60 mg/ml
Posebni topila 1721
Združljivo
Brizgalka Piperacillin sodium / tazobactam 40/5 mg/ml
Brizgalka Hydrocortisone sodium succinate 1 mg/ml
Glukoza 5% 81
Združljivo
Brizgalka Piperacillin sodium / tazobactam 40/5 mg/ml
Brizgalka Hydromorphone hydrochloride 0.5 mg/ml
Glukoza 5% 81
Takoj padavine Nezdružljivo
Brizgalka Piperacillin sodium / tazobactam 40/5 mg/ml
Brizgalka Hydroxyzine dihydrochloride 4 mg/ml
Glukoza 5% 81
Takojšnja motnost Nezdružljivo
Brizgalka Piperacillin sodium / tazobactam 40/5 mg/ml
Brizgalka Idarubicin hydrochloride 0.5 mg/ml
Glukoza 5% 81
Združljivo
Brizgalka Piperacillin sodium / tazobactam 40/5 mg/ml
Brizgalka Ifosfamide 25 mg/ml
Glukoza 5% 81
Združljivo
Brizgalka Piperacillin sodium / tazobactam 166/20.83 mg/ml
Brizgalka Insulin 1 UI/ml
Natrijev klorid 0,9% 4254
Združljivo
Brizgalka Piperacillin sodium / tazobactam 45 mg/ml
Brizgalka Insulin aspart 1 UI/ml
Natrijev klorid 0,9% 1508
Združljivo
Brizgalka Piperacillin sodium / tazobactam 45 mg/ml
Brizgalka Insulin aspart 1 UI/ml
Glukoza 5% 1508
Združljivo
Brizgalka Piperacillin sodium / tazobactam 40/5 mg/ml
Brizgalka Isavuconazonium sulfate 1.5 mg/ml
Natrijev klorid 0,9% 3829
Združljivo
Brizgalka Piperacillin sodium / tazobactam 40/5 mg/ml
Brizgalka Lansoprazole 0.55 mg/ml
Natrijev klorid 0,9% 1625
Združljivo
Brizgalka Piperacillin sodium / tazobactam 166/20.83 mg/ml
Brizgalka Levetiracetam 20.83 mg/ml
Glukoza 5% 4254
Združljivo
Brizgalka Piperacillin sodium / tazobactam 166/20.83 mg/ml
Brizgalka Levetiracetam 20.83 mg/ml
Natrijev klorid 0,9% 4254
Združljivo
Brizgalka Piperacillin sodium / tazobactam 80 mg/ml
Parenteralna prehrana (binarno zmes) 3948
Združljivo
Brizgalka Piperacillin sodium / tazobactam 166/20.83 mg/ml
Brizgalka Insulin 1 UI/ml
Glukoza 5% 4254
Združljivo
Brizgalka Piperacillin sodium / tazobactam 33,75 mg/ml
Brizgalka Levetiracetam 5 mg/ml
Natrijev klorid 0,9% 4569
Združljivo
Brizgalka Piperacillin sodium / tazobactam 40/5 mg/ml
Parenteralna prehrana (binarno zmes) 301
Takojšnja motnost Nezdružljivo
Brizgalka Piperacillin sodium / tazobactam 40/5 mg/ml
Brizgalka Isavuconazonium sulfate 1.5 mg/ml
Glukoza 5% 3829
Nedoločena nezdružljivost Nezdružljivo
Brizgalka Piperacillin sodium / tazobactam
NaHCO3 3586
Kemijska nestabilnost Nezdružljivo
Brizgalka Piperacillin sodium / tazobactam
Brizgalka Kanamycin sulfate
3586
Združljivo
Brizgalka Piperacillin sodium / tazobactam 200 mg/ml
Brizgalka Ketamine hydrochloride 50 mg/ml
2109
Subvisualna nezdružljivost Nezdružljivo
Brizgalka Piperacillin sodium / tazobactam 45 mg/ml
Brizgalka Levetiracetam 5 mg/ml
Natrijev klorid 0,9% 4569
Združljivo
Brizgalka Piperacillin sodium / tazobactam 125 mg/ml
Brizgalka Linezolid 2 mg/ml
4928
Združljivo
Brizgalka Piperacillin sodium / tazobactam 40/5 mg/ml
Brizgalka Linezolid 2 mg/ml
Nobeden 1925
Združljivo
Brizgalka Piperacillin sodium / tazobactam 40/5 mg/ml
Brizgalka Lorazepam 0.1 mg/ml
Glukoza 5% 81
Združljivo
Brizgalka Piperacillin sodium / tazobactam 40/5 mg/ml
Brizgalka Magnesium sulfate 100 mg/ml
Glukoza 5% 81
Združljivo
Brizgalka Piperacillin sodium / tazobactam 40/5 mg/ml
Brizgalka Mannitol 150 mg/ml
Glukoza 5% 81
Združljivo
Brizgalka Piperacillin sodium / tazobactam 200 mg/ml
Brizgalka Meropenem 50 mg/ml
Voda za injekcije 4319
Združljivo
Brizgalka Piperacillin sodium / tazobactam 40/5 mg/ml
Brizgalka Mesna 10 mg/ml
Glukoza 5% 81
Združljivo
Brizgalka Piperacillin sodium / tazobactam 40/5 mg/ml
Brizgalka Methotrexate sodium 15 mg/ml
Glukoza 5% 81
Združljivo
Brizgalka Piperacillin sodium / tazobactam 40/5 mg/ml
Brizgalka Methylprednisolone sodium succinate 5 mg/ml
Glukoza 5% 81
Združljivo
Brizgalka Piperacillin sodium / tazobactam 40/5 mg/ml
Brizgalka Metoclopramide hydrochloride 5 mg/ml
Glukoza 5% 81
Združljivo
Brizgalka Piperacillin sodium / tazobactam 40/5 mg/ml
Brizgalka Metronidazole 5 mg/ml
Glukoza 5% 81
Takoj padavine Nezdružljivo
Brizgalka Piperacillin sodium / tazobactam 40/5 mg/ml
Brizgalka Minocycline hydrochloride 1 mg/ml
Glukoza 5% 81
Sprememba barve po 4 urah Nezdružljivo
Brizgalka Piperacillin sodium / tazobactam 40/5 mg/ml
Brizgalka Mitomycin 0.5 mg/ml
Glukoza 5% 81
Takoj padavine Nezdružljivo
Brizgalka Piperacillin sodium / tazobactam 40/5 mg/ml
Brizgalka Mitoxantrone dihydrochloride 0.5 mg/ml
Glukoza 5% 81
Združljivo
Brizgalka Piperacillin sodium / tazobactam 40/5 mg/ml
Brizgalka Morphine sulfate 1 mg/ml
Glukoza 5% 81
Združljivo
Brizgalka Piperacillin sodium / tazobactam
Brizgalka N-acetylcysteine 200 mg/ml
Nobeden 3766
Takojšnja motnost Nezdružljivo
Brizgalka Piperacillin sodium / tazobactam 40/5 mg/ml
Brizgalka Nalbuphine hydrochloride 10 mg/ml
Glukoza 5% 81
Združljivo
Brizgalka Piperacillin sodium / tazobactam 200 mg/ml
Brizgalka Naloxone hydrochloride 0.4 mg/ml
Nobeden 3408
Kemijska nestabilnost Nezdružljivo
Brizgalka Piperacillin sodium / tazobactam
Brizgalka Netilmicin sulfate
3586
Združljivo
Brizgalka Piperacillin sodium / tazobactam 20/2,5 & 40/5 mg/ml
Brizgalka Ondansetron hydrochloride 0,015 >> 0,15 mg/ml
Natrijev klorid 0,9% 16
Združljivo
Brizgalka Piperacillin sodium / tazobactam 40/5 mg/ml
Brizgalka Ondansetron hydrochloride 0.1 mg/ml
Glukoza 5% 81
Združljivo
Brizgalka Piperacillin sodium / tazobactam 200/25 mg/ml
Brizgalka Oxycodone hydrochloride 1 mg/ml
Natrijev klorid 0,9% 4842
Padavine po 1 uri Nezdružljivo
Brizgalka Piperacillin sodium / tazobactam
Brizgalka Pantoprazole sodium
2090
Združljivo
Brizgalka Piperacillin sodium / tazobactam 100 mg/ml
Brizgalka Paracetamol 10 mg/ml
Nobeden 3571
Združljivo
Brizgalka Piperacillin sodium / tazobactam 100 mg/ml
Brizgalka Paracetamol 10 mg/ml
4742
Združljivo
Brizgalka Piperacillin sodium / tazobactam 200 mg/ml
Brizgalka Pentoxifyllin 5 mg/ml
Natrijev klorid 0,9% 4538
Združljivo
Brizgalka Piperacillin sodium / tazobactam 40/5 mg/ml
Brizgalka Pethidine hydrochloride 4 mg/ml
Glukoza 5% 81
Kemijska nestabilnost Nezdružljivo
Brizgalka Piperacillin sodium / tazobactam
Brizgalka Plazomicin sulfate
3586
Združljivo
Brizgalka Piperacillin sodium / tazobactam 40/5 mg/ml
Brizgalka Plazomicin sulfate 24 mg/ml
Natrijev klorid 0,9% 4145
Takoj padavine Nezdružljivo
Brizgalka Piperacillin sodium / tazobactam 160 mg/ml
Brizgalka Posaconazole 1,2 mg/ml
Natrijev klorid 0,9% 4521
Združljivo
Brizgalka Piperacillin sodium / tazobactam 40/5 mg/ml
Brizgalka Potassium chloride 100 mEq/l
Glukoza 5% 81
Takojšnja motnost Nezdružljivo
Brizgalka Piperacillin sodium / tazobactam 40/5 mg/ml
Brizgalka Prochlorperazine edysilate 0.5 mg/ml
Glukoza 5% 81
Takojšnja motnost Nezdružljivo
Brizgalka Piperacillin sodium / tazobactam 40/5 mg/ml
Brizgalka Promethazine hydrochloride 2 mg/ml
Glukoza 5% 81
Združljivo
Brizgalka Piperacillin sodium / tazobactam 40/5 mg/ml
Brizgalka Ranitidine hydrochloride 2 mg/ml
Glukoza 5% 81
Združljivo
Brizgalka Piperacillin sodium / tazobactam 40/5 mg/ml
Brizgalka Remifentanil hydrochloride 25 & 250 µg/ml
Natrijev klorid 0,9% 59
Takoj padavine Nezdružljivo
Brizgalka Piperacillin sodium / tazobactam 200 mg/ml
Brizgalka Salbutamol sulfate 1 mg/ml
Nobeden 3216
Združljivo
Brizgalka Piperacillin sodium / tazobactam 40/5 mg/ml
Brizgalka Sargramostim 10 µg/ml
Glukoza 5% 81
Združljivo
Brizgalka Piperacillin sodium / tazobactam 200 mg/ml
Brizgalka Sildenafil citrate 0,6 mg/ml
Glukoza 5% 4845
Nedoločena nezdružljivost Nezdružljivo
Brizgalka Piperacillin sodium / tazobactam
Brizgalka Sodium bicarbonate
3586
Združljivo
Brizgalka Piperacillin sodium / tazobactam 40/5 mg/ml
Brizgalka Sodium bicarbonate 84 mg/ml
Glukoza 5% 81
Kemijska nestabilnost Nezdružljivo
Brizgalka Piperacillin sodium / tazobactam
Brizgalka Streptomycin sulfate
3586
Padavine po 1 uri Nezdružljivo
Brizgalka Piperacillin sodium / tazobactam 40/5 mg/ml
Brizgalka Streptozocin 40 mg/ml
Glukoza 5% 81
Združljivo
Brizgalka Piperacillin sodium / tazobactam 40/5 mg/ml
Brizgalka Sulbactam/durlobactam 15/15 mg/ml
Natrijev klorid 0,9% 4801
Združljivo
Brizgalka Piperacillin sodium / tazobactam 40/5 mg/ml
Brizgalka Tedizolid phosphate 0.8 mg/ml
Natrijev klorid 0,9% 3827
Združljivo
Brizgalka Piperacillin sodium / tazobactam 40/5 mg/ml
Brizgalka Telavancin hydrochloride 7.5 mg/ml
Glukoza 5% 3254
Združljivo
Brizgalka Piperacillin sodium / tazobactam 40/5 mg/ml
Brizgalka Telavancin hydrochloride 7.5 mg/ml
Natrijev klorid 0,9% 3254
Združljivo
Brizgalka Piperacillin sodium / tazobactam 40/5 mg/ml
Brizgalka Telavancin hydrochloride 7.5 mg/ml
Ringerjev laktat 3254
Kemijska nestabilnost Nezdružljivo
Brizgalka Piperacillin sodium / tazobactam 200 mg/ml
Brizgalka Temocilline 83.33 mg/ml
Voda za injekcije 2231
Nedoločena nezdružljivost Nezdružljivo
Brizgalka Piperacillin sodium / tazobactam
Brizgalka Temocilline
4470
Združljivo
Brizgalka Piperacillin sodium / tazobactam 166/20.83 mg/ml
Brizgalka Thiamine hydrochloride 0.4 mg/ml
Glukoza 5% 4254
Takoj padavine Nezdružljivo
Brizgalka Piperacillin sodium / tazobactam 200 mg/ml
Brizgalka Thiopental sodium 25 mg/ml
Natrijev klorid 0,9% 3767
Združljivo
Brizgalka Piperacillin sodium / tazobactam 40/5 mg/ml
Brizgalka Thiotepa 1 mg/ml
Glukoza 5% 81
Združljivo
Brizgalka Piperacillin sodium / tazobactam
Brizgalka Tigecycline
Natrijev klorid 0,9% 3332
Kemijska nestabilnost Nezdružljivo
Brizgalka Piperacillin sodium / tazobactam
Brizgalka Tobramycin sulfate
3586
Takoj padavine Nezdružljivo
Brizgalka Piperacillin sodium / tazobactam 112,5 mg/ml
Brizgalka Vancomycin hydrochloride 10 mg/ml
Glukoza 5% 3428
Združljivo
Brizgalka Piperacillin sodium / tazobactam
Glukoza 5% 3586
Združljivo
Brizgalka Piperacillin sodium / tazobactam
Natrijev klorid 0,9% 5069
Takoj padavine Nezdružljivo
Brizgalka Piperacillin sodium / tazobactam 100/12,5 mg/ml
Brizgalka Vancomycin hydrochloride 10 mg/ml
3365
Takoj padavine Nezdružljivo
Brizgalka Piperacillin sodium / tazobactam 40 >> 100 mg/ml
Brizgalka Vancomycin hydrochloride 10 mg/ml
Natrijev klorid 0,9% 2475
Takoj padavine Nezdružljivo
Brizgalka Piperacillin sodium / tazobactam
Brizgalka Vancomycin hydrochloride >8 mg/ml
Natrijev klorid 0,9% 3841
Združljivo
Brizgalka Piperacillin sodium / tazobactam 16 >> 100 mg/ml
Brizgalka Vancomycin hydrochloride 2 mg/ml
Natrijev klorid 0,9% 2475
Združljivo
Brizgalka Piperacillin sodium / tazobactam 16 >> 100 mg/ml
Brizgalka Vancomycin hydrochloride 5 mg/ml
Natrijev klorid 0,9% 2475
Združljivo
Brizgalka Piperacillin sodium / tazobactam 16 >> 30 mg/ml
Brizgalka Vancomycin hydrochloride 10 mg/ml
Natrijev klorid 0,9% 2475
Združljivo
Brizgalka Piperacillin sodium / tazobactam 30/3,75 mg/ml
Brizgalka Vancomycin hydrochloride 4 mg/ml
Natrijev klorid 0,9% 3421
Združljivo
Brizgalka Piperacillin sodium / tazobactam 40/5 mg/ml
Brizgalka Vancomycin hydrochloride 4 mg/ml
Natrijev klorid 0,9% 3421
Združljivo
Brizgalka Piperacillin sodium / tazobactam 33.75 >> 90 mg/ml
Brizgalka Vancomycin hydrochloride 4 >> 7 mg/ml
Natrijev klorid 0,9% 3841
Takoj padavine Nezdružljivo
Brizgalka Piperacillin sodium / tazobactam 80 & 90 mg/ml
Brizgalka Vancomycin hydrochloride 8 mg/ml
Natrijev klorid 0,9% 3841
Združljivo
Brizgalka Piperacillin sodium / tazobactam 33.75 >> 67.5 mg/ml
Brizgalka Vancomycin hydrochloride 8 mg/ml
Natrijev klorid 0,9% 3841
Takojšnja motnost Nezdružljivo
Brizgalka Piperacillin sodium / tazobactam 40/5 mg/ml
Brizgalka Vancomycin hydrochloride 10 mg/ml
Glukoza 5% 81
Nedoločena nezdružljivost Nezdružljivo
Brizgalka Piperacillin sodium / tazobactam 200 mg/ml
Brizgalka Vancomycin hydrochloride 10 mg/ml
Glukoza 5% 3385
Takoj padavine Nezdružljivo
Brizgalka Piperacillin sodium / tazobactam 10/1.25 >> 200/25 mg/ml
Brizgalka Vancomycin hydrochloride 20 mg/ml
Glukoza 5% 1674
Takoj padavine Nezdružljivo
Brizgalka Piperacillin sodium / tazobactam 80 >> 100 mg/ml
Brizgalka Vancomycin hydrochloride 4 mg/ml
Glukoza 5% 2475
Takoj padavine Nezdružljivo
Brizgalka Piperacillin sodium / tazobactam 16 >> 100 mg/ml
Brizgalka Vancomycin hydrochloride 8 mg/ml
Glukoza 5% 2475
Takoj padavine Nezdružljivo
Brizgalka Piperacillin sodium / tazobactam 28 mg/ml
Brizgalka Vancomycin hydrochloride 10 & 15 mg/ml
Glukoza 5% 3984
Takoj padavine Nezdružljivo
Brizgalka Piperacillin sodium / tazobactam 67,5 mg/ml
Brizgalka Vancomycin hydrochloride 5 mg/ml
Glukoza 5% 3960
Združljivo
Brizgalka Piperacillin sodium / tazobactam 16 >> 40 mg/ml
Brizgalka Vancomycin hydrochloride 4 mg/ml
Glukoza 5% 2475
Združljivo
Brizgalka Piperacillin sodium / tazobactam 28 mg/ml
Brizgalka Vancomycin hydrochloride 5 mg/ml
Glukoza 5% 3984
Združljivo
Brizgalka Piperacillin sodium / tazobactam 1/0.125 >> 200/25 mg/ml
Brizgalka Vancomycin hydrochloride 2 mg/ml
Glukoza 5% 1674
Združljivo
Brizgalka Piperacillin sodium / tazobactam 1/0.125 mg/ml
Brizgalka Vancomycin hydrochloride 20 mg/ml
Glukoza 5% 1674
Združljivo
Brizgalka Piperacillin sodium / tazobactam 112.5 mg/ml
Brizgalka Vasopressin 0.2 UI/ml
Natrijev klorid 0,9% 2017
Združljivo
Brizgalka Piperacillin sodium / tazobactam 40/5 mg/ml
Brizgalka Vinblastine sulfate 0.12 mg/ml
Glukoza 5% 81
Združljivo
Brizgalka Piperacillin sodium / tazobactam 40/5 mg/ml
Brizgalka Vincristine sulfate 0.05 mg/ml
Glukoza 5% 81
Združljivo
Brizgalka Piperacillin sodium / tazobactam 40/5 mg/ml
Brizgalka Zidovudine 4 mg/ml
Glukoza 5% 81
Združljivo
Brizgalka Piperacillin sodium / tazobactam 40/5 mg/ml
Normosol® 4655

  Mentions Légales