Pēdējā atjaunošana :
18/03/2026
Antibiotika   Piperacillin sodium / tazobactam  
Injekcija
Šķīduma stabilitāte Maisījuma stabilitāte Stabilitāti ietekmējoši faktori Saderība Levadīšanas veids Literatūras saraksts pdf
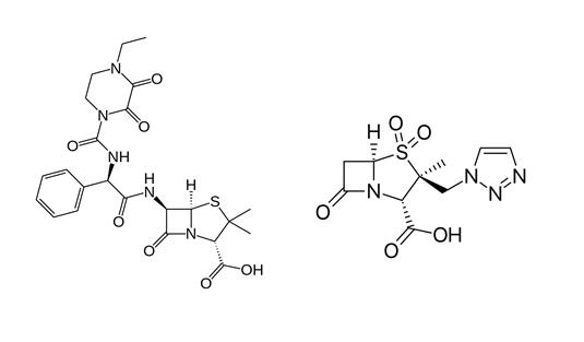
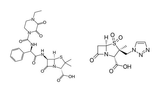
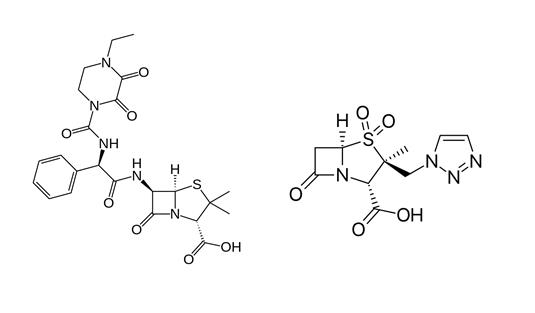
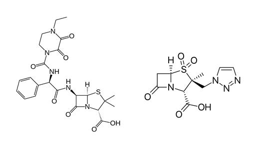
   Ķīmiskā uzbūve   

Oriģinālais nosaukums   Oriģinālais nosaukums     

Tirdzniecības nosaukumi ir apzīmējoši un palīgvielas var atšķirties dažādām valstīm un laboratorijām

Bagotaz Argentīna
Betampil Ekvadora
Bioval Čīle
Petezam Argentīna
Piperac Vācija
Piperacillin tazobactam Beļģija, Kanāda, Vācija
Piperazam Brazīlija
Pipetazo Čīle
Pipitaz Austrija
Pixamol Kolumbija
Tazobac Ekvadora, Itālija, Portugāle, Šveice
Tazocel Spānija
Tazocilline Francija
Tazocin Apvienotie Arābu Emirāti, Argentīna, Austrālija, Brazīlija, Dānija, Dienvidāfrikas Republika, Ēģipte, Grieķija, Holande, Horvātija, Itālija, Jaunzēlande, Kolumbija, Lielbritānija, Luksemburga, Meksika, Norvēģija, Peru, Polija, Somija, Turcija, Ungārija, Ziemeļīrija, Zviedrija
Tazonam Austrija, Čīle
Tazopip Austrālija
Tazpen Kolumbija, Meksika
Tazrobida Kolumbija
Tigux Čīle
Tratac Čīle
Trital Ekvadora
Zosyn Amerikas Savienotās Valstis, Japāna
Saderība   Injekcija   Saderība : Piperacillin sodium / tazobactam              
Šī tabula parāda zāļu saderību vai nesaderību, pēc iespējas arī nesaderības tipu (precipitācija, krāsas maiņa, emulsijas sadalīšanās utt). Parādītas šeit saderības ir pārsvarā tikai fizikālās, pēc iespējas tiek parādīta ķīmiskā stabilitāte katrai molekulai. Šo maisījumu analīze tikai veikta, lai izprastu iespējamību ievadīt zāles Y-savienojuma vietā sistēmā pacientam. Šie dati nevar tikt izmantoti, lai pagatavot zāļu maisījumus vēlākai lietošanai maisos vai šļircēs. Šī informācija ir pieejama sadaļā "Maisījuma stabilitāte".
Savienojums Šķīdinātājs Literatūras saraksts
Nokrišņi pēc 1 stundas Nesavienojams
Injekcija Piperacillin sodium / tazobactam 40/5 mg/ml
Injekcija Aciclovir sodium 7 mg/ml
5% glikoze 81
Savietojams
Injekcija Piperacillin sodium / tazobactam 40/5 mg/ml
Parenterāla barošana (ar lipīdiem) 1415
Savietojams
Injekcija Piperacillin sodium / tazobactam 200 mg/ml
Ringera laktāta šķīdums 4603
Savietojams
Injekcija Piperacillin sodium / tazobactam 80 mg/ml
Parenterāla barošana (ar lipīdiem) 3948
Ķīmiskā nestabilitāte Nesavienojams
Injekcija Piperacillin sodium / tazobactam
Injekcija Amikacin sulfate
3586
Savietojams
Injekcija Piperacillin sodium / tazobactam 200 mg/ml
Parenterāla barošana (ar lipīdiem) 4924
Drumstumas per 24 valandas Nesavienojams
Injekcija Piperacillin sodium / tazobactam 60 mg/ml
Injekcija Amiodarone hydrochloride 6 mg/ml
5% glikoze 1611
Tūlītēji nokrišņi Nesavienojams
Injekcija Piperacillin sodium / tazobactam 40/5 mg/ml
Injekcija Amphotericin B 0.6 mg/ml
5% glikoze 81
Tūlītēji nokrišņi Nesavienojams
Injekcija Piperacillin sodium / tazobactam 40/5 mg/ml
Injekcija Amphotericin B cholesteryl sulfate complex 0.83 mg/ml
5% glikoze 921
Savietojams
Injekcija Piperacillin sodium / tazobactam 40/5 mg/ml
Injekcija Anidulafungin 0.5 mg/ml
5% glikoze 1982
Savietojams
Injekcija Piperacillin sodium / tazobactam 40/5 mg/ml
Injekcija Aztreonam 40 mg/ml
5% glikoze 81
Savietojams
Injekcija Piperacillin sodium / tazobactam 40/5 mg/ml
Injekcija Bivalirudin 5 mg/ml
5% glikoze 1713
Savietojams
Injekcija Piperacillin sodium / tazobactam 40/5 mg/ml
Injekcija Bleomycin sulfate 1 mg/ml
5% glikoze 81
Savietojams
Injekcija Piperacillin sodium / tazobactam 200 mg/ml
Injekcija Caffeine 10 mg/ml
Nekāds 3964
Savietojams
Injekcija Piperacillin sodium / tazobactam 40/5 mg/ml
Injekcija Carboplatin 5 mg/ml
5% glikoze 81
Savietojams
Injekcija Piperacillin sodium / tazobactam 40/5 mg/ml
Injekcija Carmustine 1.5 mg/ml
5% glikoze 81
Savietojams
Injekcija Piperacillin sodium / tazobactam 40/5 mg/ml
Injekcija Ceftolozane / tazobactam 10/5 mg/ml
Nātrija hlorīds 0.9% 3828
Tūlītēja duļķainība Nesavienojams
Injekcija Piperacillin sodium / tazobactam 40/5 mg/ml
Injekcija Chlorpromazine hydrochloride 2 mg/ml
5% glikoze 81
Savietojams
Injekcija Piperacillin sodium / tazobactam 40/5 mg/ml
Injekcija Cisatracurium besylate 0.1 & 2 mg/ml
5% glikoze 299
Nokrišņi pēc 1 stundas Nesavienojams
Injekcija Piperacillin sodium / tazobactam 40/5 mg/ml
Injekcija Cisplatin 1 mg/ml
5% glikoze 81
Savietojams
Injekcija Piperacillin sodium / tazobactam 40/5 mg/ml
Injekcija Clindamycin phosphate 10 mg/ml
5% glikoze 81
Savietojams
Injekcija Piperacillin sodium / tazobactam 40/5 mg/ml
Injekcija Co-trimoxazole 0.8/4 mg/ml
5% glikoze 81
Savietojams
Injekcija Piperacillin sodium / tazobactam 40/0.5 mg/ml
Injekcija Colistin mesilate sodium 1.5 mg/ml
Nātrija hlorīds 0.9% 3997
Savietojams
Injekcija Piperacillin sodium / tazobactam 40/5 mg/ml
Injekcija Cyclophosphamide 10 mg/ml
5% glikoze 81
Savietojams
Injekcija Piperacillin sodium / tazobactam 40/5 mg/ml
Injekcija Cytarabine 50 mg/ml
5% glikoze 81
Tūlītēji nokrišņi Nesavienojams
Injekcija Piperacillin sodium / tazobactam 40/5 mg/ml
Injekcija Dacarbazine 4 mg/ml
5% glikoze 81
Tūlītēja duļķainība Nesavienojams
Injekcija Piperacillin sodium / tazobactam 40/5 mg/ml
Injekcija Daunorubicin hydrochloride 1 mg/ml
5% glikoze 81
Tūlītēja duļķainība Nesavienojams
Injekcija Piperacillin sodium / tazobactam
Injekcija Daunorubicin/cytarabine liposomale 0,4 mg/mL
Nātrija hlorīds 0.9% 4654
Tūlītēja duļķainība Nesavienojams
Injekcija Piperacillin sodium / tazobactam 40/5 mg/ml
Injekcija Dobutamine hydrochloride 4 mg/ml
5% glikoze 81
Savietojams
Injekcija Piperacillin sodium / tazobactam 40/5 mg/ml
Injekcija Docetaxel 0.9 mg/ml
5% glikoze 1754
Tūlītēja duļķainība Nesavienojams
Injekcija Piperacillin sodium / tazobactam 40/5 mg/ml
Injekcija Doxorubicin hydrochloride 2 mg/ml
5% glikoze 81
Tūlītēja duļķainība Nesavienojams
Injekcija Piperacillin sodium / tazobactam 40/5 mg/ml
Injekcija Doxycycline hyclate 1 mg/ml
5% glikoze 81
Tūlītēji nokrišņi Nesavienojams
Injekcija Piperacillin sodium / tazobactam 40/5 mg/ml
Injekcija Droperidol 0.4 mg/ml
5% glikoze 81
Savietojams
Injekcija Piperacillin sodium / tazobactam 40/5 mg/ml
Injekcija Etoposide 0.4 mg/ml
5% glikoze 81
Savietojams
Injekcija Piperacillin sodium / tazobactam 40/5 mg/ml
Injekcija Etoposide phosphate 5 mg/ml
Nātrija hlorīds 0.9% 1410
Tūlītēji nokrišņi Nesavienojams
Injekcija Piperacillin sodium / tazobactam 40/5 mg/ml
Injekcija Famotidine 2 mg/ml
5% glikoze 81
Savietojams
Injekcija Piperacillin sodium / tazobactam 40/5 mg/ml
Injekcija Fenoldopam mesylate 80 µg/ml
Nātrija hlorīds 0.9% 1803
Savietojams
Injekcija Piperacillin sodium / tazobactam 40/5 mg/ml
Injekcija Floxuridine 3 mg/ml
5% glikoze 81
Savietojams
Injekcija Piperacillin sodium / tazobactam 40/5 mg/ml
Injekcija Fluconazole 2 mg/ml
5% glikoze 81
Savietojams
Injekcija Piperacillin sodium / tazobactam 40/5 mg/ml
Injekcija Fludarabine phosphate 1 mg/ml
5% glikoze 81
Savietojams
Injekcija Piperacillin sodium / tazobactam 40/5 mg/ml
Injekcija Fluorouracil 16 mg/ml
5% glikoze 81
Savietojams
Injekcija Piperacillin sodium / tazobactam 40/5 mg/ml
Injekcija Fosfomycin 30 mg/ml
Nātrija hlorīds 0.9% 4055
Nokrišņi pēc 1 stundas Nesavienojams
Injekcija Piperacillin sodium / tazobactam 40/5 mg/ml
Injekcija Ganciclovir sodium 20 mg/ml
5% glikoze 81
Ķīmiskā nestabilitāte Nesavienojams
Injekcija Piperacillin sodium / tazobactam
Injekcija Gentamicin sulfate
3586
Savietojams
Injekcija Piperacillin sodium / tazobactam 40/5 mg/ml
Injekcija Granisetron hydrochloride 0.05 mg/ml
5% glikoze 182
Tūlītēji nokrišņi Nesavienojams
Injekcija Piperacillin sodium / tazobactam 40/5 mg/ml
Injekcija Haloperidol lactate 0.2 mg/ml
5% glikoze 81
Neprecizēta nesaderība Nesavienojams
Injekcija Piperacillin sodium / tazobactam
Ringera laktāta šķīdums 3586
Neprecizēta nesaderība Nesavienojams
Injekcija Piperacillin sodium / tazobactam
Injekcija Aciclovir sodium
3595
Ķīmiskā nestabilitāte Nesavienojams
Injekcija Piperacillin sodium / tazobactam
Injekcija Amikacin sulfate
3549
Savietojams
Injekcija Piperacillin sodium / tazobactam 40/5 mg/ml
Injekcija Aminophylline 2.5 mg/ml
5% glikoze 81
Savietojams
Injekcija Piperacillin sodium / tazobactam 100 mg/ml
Injekcija Amoxicillin sodium / clavulanic acid 100/10 mg/ml
3824
Tūlītēji nokrišņi Nesavienojams
Injekcija Piperacillin sodium / tazobactam 112.5 mg/ml
Injekcija Azithromycine 2 mg/ml
Nātrija hlorīds 0.9% 1800
Savietojams
Injekcija Piperacillin sodium / tazobactam 40/5 mg/ml
Injekcija Bumetanide 0.04 mg/ml
5% glikoze 81
Savietojams
Injekcija Piperacillin sodium / tazobactam 40/5 mg/ml
Injekcija Buprenorphine hydrochloride 0.04 mg/ml
5% glikoze 81
Savietojams
Injekcija Piperacillin sodium / tazobactam 40/5 mg/ml
Injekcija Butorphanol tartrate 0.04 mg/ml
5% glikoze 81
Savietojams
Injekcija Piperacillin sodium / tazobactam 200 mg/ml
Injekcija Caffeine 10 mg/ml
Ūdens injekcijām 4837
Savietojams
Injekcija Piperacillin sodium / tazobactam 200 mg/ml
Injekcija Caffeine citrate 20 mg/ml
Ūdens injekcijām 4837
Savietojams
Injekcija Piperacillin sodium / tazobactam 40/5 mg/ml
Injekcija Calcium gluconate 40 mg/ml
5% glikoze 81
Tūlītēji nokrišņi Nesavienojams
Injekcija Piperacillin sodium / tazobactam 90 mg/ml
Injekcija Caspofungin acetate 0.5 mg/ml
Nātrija hlorīds 0.9% 2233
Tūlītēji nokrišņi Nesavienojams
Injekcija Piperacillin sodium / tazobactam 40/5 mg/ml
Injekcija Caspofungin acetate 0,7 mg/ml
Nātrija hlorīds 0.9% 2247
Savietojams
Injekcija Piperacillin sodium / tazobactam 40/5 mg/ml
Injekcija Ceftolozane / tazobactam 10/5 mg/ml
5% glikoze 3828
Savietojams
Injekcija Piperacillin sodium / tazobactam 40/5 mg/ml
Injekcija Cimetidine hydrochloride 12 mg/ml
5% glikoze 81
Neprecizēta nesaderība Nesavienojams
Injekcija Piperacillin sodium / tazobactam
Injekcija Ciprofloxacin lactate
3529
Nokrišņi pēc 4 stundām Nesavienojams
Injekcija Piperacillin sodium / tazobactam 40/5 mg/ml
Injekcija Cisatracurium besylate 5 mg/ml
5% glikoze 299
Savietojams
Injekcija Piperacillin sodium / tazobactam 225 mg/ml
Injekcija Cloxacillin sodium 100 mg/ml
Ūdens injekcijām 3012
Subvisuāla nesaderība Nesavienojams
Injekcija Piperacillin sodium / tazobactam
Injekcija Daunorubicin/cytarabine liposomale
4354
Savietojams
Injekcija Piperacillin sodium / tazobactam 40/5 mg/ml
Injekcija Dexamethasone sodium phosphate 1 mg/ml
5% glikoze 81
Savietojams
Injekcija Piperacillin sodium / tazobactam 40/5 mg/ml
Injekcija Dexmedetomidine 4 µg/ml
Nātrija hlorīds 0.9% 1712
Savietojams
Injekcija Piperacillin sodium / tazobactam
Injekcija Dimenhydrinate
2087
Savietojams
Injekcija Piperacillin sodium / tazobactam 40/5 mg/ml
Injekcija Diphenhydramine hydrochloride 2 mg/ml
5% glikoze 81
Savietojams
Injekcija Piperacillin sodium / tazobactam 40/5 mg/ml
Injekcija Dopamine hydrochloride 3.2 mg/ml
5% glikoze 81
Duļķainības zudums Nesavienojams
Injekcija Piperacillin sodium / tazobactam 40/5 mg/ml
Injekcija Doxorubicin hydrochloride liposome peg 0.4 mg/ml
5% glikoze 251
Savietojams
Injekcija Piperacillin sodium / tazobactam 40/5 mg/ml
Injekcija Enalaprilate 0.1 mg/ml
5% glikoze 81
Savietojams
Injekcija Piperacillin sodium / tazobactam 40/5 mg/ml
Injekcija Eravacycline 0,6 mg/ml
Nātrija hlorīds 0.9% 4434
Neprecizēta nesaderība Nesavienojams
Injekcija Piperacillin sodium / tazobactam
Injekcija Erythromycin lactobionate
3674
Savietojams
Injekcija Piperacillin sodium / tazobactam 40/5 mg/ml
Injekcija Folinate calcium 2 mg/ml
5% glikoze 81
Savietojams
Injekcija Piperacillin sodium / tazobactam 40/5 mg/ml
Injekcija Fosfomycin 30 mg/ml
5% glikoze 4055
Savietojams
Injekcija Piperacillin sodium / tazobactam 40/5 mg/ml
Injekcija Furosemide 3 mg/ml
5% glikoze 81
Savietojams
Injekcija Piperacillin sodium / tazobactam 40/5 mg/ml
Injekcija Gallium nitrate 0.4 mg/ml
5% glikoze 81
Tūlītēja duļķainība Nesavienojams
Injekcija Piperacillin sodium / tazobactam 40/5 mg/ml
Injekcija Gemcitabine hydrochloride 10 mg/ml
Nātrija hlorīds 0.9% 1423
Neprecizēta nesaderība Nesavienojams
Injekcija Piperacillin sodium / tazobactam
Injekcija Gentamicin sulfate
3520
Neprecizēta nesaderība Nesavienojams
Injekcija Piperacillin sodium / tazobactam
Injekcija Gentamicin sulfate
3643
Savietojams
Injekcija Piperacillin sodium / tazobactam 0.5/0.0625 mg/ml
Injekcija Heparin sodium 0.5 UI/ml
Dianéal® 1.5% glucose (Baxter) 4180
Savietojams
Injekcija Piperacillin sodium / tazobactam 0.5/0.0625 mg/ml
Injekcija Heparin sodium 0.5 UI/ml
Extraneal® (Baxter) 4180
Savietojams
Injekcija Piperacillin sodium / tazobactam 1.38/0.1725 mg/ml
Injekcija Heparin sodium 1.4 UI/ml
Physionéal® 2.27 (Baxter) 4180
Savietojams
Injekcija Piperacillin sodium / tazobactam 0.5/0.0625 mg/ml
Injekcija Heparin sodium 0.5 UI/ml
Dianéal® 4.25% glucose (Baxter) 4180
Savietojams
Injekcija Piperacillin sodium / tazobactam 1.38/0.1725 mg/ml
Injekcija Heparin sodium 1.4 UI/ml
Physionéal® 3.86 (Baxter) 4180
Savietojams
Injekcija Piperacillin sodium / tazobactam 1.38/0.1725 mg/ml
Injekcija Heparin sodium 1.4 UI/ml
Physionéal® 1.36 (Baxter) 4180
Savietojams
Injekcija Piperacillin sodium / tazobactam 0.5/0.0625 mg/ml
Injekcija Heparin sodium 0.5 UI/ml
Dianéal® 2.5% glucose (Baxter) 4180
Savietojams
Injekcija Piperacillin sodium / tazobactam 40/5 mg/ml
Injekcija Heparin sodium 100 UI/ml
5% glikoze 81
Savietojams
Injekcija Piperacillin sodium / tazobactam 40/5 mg/ml
Injekcija Hetastarch 60 mg/ml
īpašu šķīdinātāju 1721
Savietojams
Injekcija Piperacillin sodium / tazobactam 40/5 mg/ml
Injekcija Hydrocortisone sodium succinate 1 mg/ml
5% glikoze 81
Savietojams
Injekcija Piperacillin sodium / tazobactam 40/5 mg/ml
Injekcija Hydromorphone hydrochloride 0.5 mg/ml
5% glikoze 81
Tūlītēji nokrišņi Nesavienojams
Injekcija Piperacillin sodium / tazobactam 40/5 mg/ml
Injekcija Hydroxyzine dihydrochloride 4 mg/ml
5% glikoze 81
Tūlītēja duļķainība Nesavienojams
Injekcija Piperacillin sodium / tazobactam 40/5 mg/ml
Injekcija Idarubicin hydrochloride 0.5 mg/ml
5% glikoze 81
Savietojams
Injekcija Piperacillin sodium / tazobactam 40/5 mg/ml
Injekcija Ifosfamide 25 mg/ml
5% glikoze 81
Savietojams
Injekcija Piperacillin sodium / tazobactam 166/20.83 mg/ml
Injekcija Insulin 1 UI/ml
Nātrija hlorīds 0.9% 4254
Savietojams
Injekcija Piperacillin sodium / tazobactam 45 mg/ml
Injekcija Insulin aspart 1 UI/ml
Nātrija hlorīds 0.9% 1508
Savietojams
Injekcija Piperacillin sodium / tazobactam 45 mg/ml
Injekcija Insulin aspart 1 UI/ml
5% glikoze 1508
Savietojams
Injekcija Piperacillin sodium / tazobactam 40/5 mg/ml
Injekcija Isavuconazonium sulfate 1.5 mg/ml
Nātrija hlorīds 0.9% 3829
Savietojams
Injekcija Piperacillin sodium / tazobactam 40/5 mg/ml
Injekcija Lansoprazole 0.55 mg/ml
Nātrija hlorīds 0.9% 1625
Savietojams
Injekcija Piperacillin sodium / tazobactam 166/20.83 mg/ml
Injekcija Levetiracetam 20.83 mg/ml
5% glikoze 4254
Savietojams
Injekcija Piperacillin sodium / tazobactam 166/20.83 mg/ml
Injekcija Levetiracetam 20.83 mg/ml
Nātrija hlorīds 0.9% 4254
Savietojams
Injekcija Piperacillin sodium / tazobactam 80 mg/ml
Parenterāla barošana (lipīdu-free) 3948
Savietojams
Injekcija Piperacillin sodium / tazobactam 166/20.83 mg/ml
Injekcija Insulin 1 UI/ml
5% glikoze 4254
Savietojams
Injekcija Piperacillin sodium / tazobactam 33,75 mg/ml
Injekcija Levetiracetam 5 mg/ml
Nātrija hlorīds 0.9% 4569
Savietojams
Injekcija Piperacillin sodium / tazobactam 40/5 mg/ml
Parenterāla barošana (lipīdu-free) 301
Tūlītēja duļķainība Nesavienojams
Injekcija Piperacillin sodium / tazobactam 40/5 mg/ml
Injekcija Isavuconazonium sulfate 1.5 mg/ml
5% glikoze 3829
Neprecizēta nesaderība Nesavienojams
Injekcija Piperacillin sodium / tazobactam
NaHCO3 3586
Ķīmiskā nestabilitāte Nesavienojams
Injekcija Piperacillin sodium / tazobactam
Injekcija Kanamycin sulfate
3586
Savietojams
Injekcija Piperacillin sodium / tazobactam 200 mg/ml
Injekcija Ketamine hydrochloride 50 mg/ml
2109
Subvisuāla nesaderība Nesavienojams
Injekcija Piperacillin sodium / tazobactam 45 mg/ml
Injekcija Levetiracetam 5 mg/ml
Nātrija hlorīds 0.9% 4569
Savietojams
Injekcija Piperacillin sodium / tazobactam 125 mg/ml
Injekcija Linezolid 2 mg/ml
4928
Savietojams
Injekcija Piperacillin sodium / tazobactam 40/5 mg/ml
Injekcija Linezolid 2 mg/ml
Nekāds 1925
Savietojams
Injekcija Piperacillin sodium / tazobactam 40/5 mg/ml
Injekcija Lorazepam 0.1 mg/ml
5% glikoze 81
Savietojams
Injekcija Piperacillin sodium / tazobactam 40/5 mg/ml
Injekcija Magnesium sulfate 100 mg/ml
5% glikoze 81
Savietojams
Injekcija Piperacillin sodium / tazobactam 40/5 mg/ml
Injekcija Mannitol 150 mg/ml
5% glikoze 81
Savietojams
Injekcija Piperacillin sodium / tazobactam 200 mg/ml
Injekcija Meropenem 50 mg/ml
Ūdens injekcijām 4319
Savietojams
Injekcija Piperacillin sodium / tazobactam 40/5 mg/ml
Injekcija Mesna 10 mg/ml
5% glikoze 81
Savietojams
Injekcija Piperacillin sodium / tazobactam 40/5 mg/ml
Injekcija Methotrexate sodium 15 mg/ml
5% glikoze 81
Savietojams
Injekcija Piperacillin sodium / tazobactam 40/5 mg/ml
Injekcija Methylprednisolone sodium succinate 5 mg/ml
5% glikoze 81
Savietojams
Injekcija Piperacillin sodium / tazobactam 40/5 mg/ml
Injekcija Metoclopramide hydrochloride 5 mg/ml
5% glikoze 81
Savietojams
Injekcija Piperacillin sodium / tazobactam 40/5 mg/ml
Injekcija Metronidazole 5 mg/ml
5% glikoze 81
Tūlītēji nokrišņi Nesavienojams
Injekcija Piperacillin sodium / tazobactam 40/5 mg/ml
Injekcija Minocycline hydrochloride 1 mg/ml
5% glikoze 81
Krāsas maiņa pēc 4 stundām Nesavienojams
Injekcija Piperacillin sodium / tazobactam 40/5 mg/ml
Injekcija Mitomycin 0.5 mg/ml
5% glikoze 81
Tūlītēji nokrišņi Nesavienojams
Injekcija Piperacillin sodium / tazobactam 40/5 mg/ml
Injekcija Mitoxantrone dihydrochloride 0.5 mg/ml
5% glikoze 81
Savietojams
Injekcija Piperacillin sodium / tazobactam 40/5 mg/ml
Injekcija Morphine sulfate 1 mg/ml
5% glikoze 81
Savietojams
Injekcija Piperacillin sodium / tazobactam
Injekcija N-acetylcysteine 200 mg/ml
Nekāds 3766
Tūlītēja duļķainība Nesavienojams
Injekcija Piperacillin sodium / tazobactam 40/5 mg/ml
Injekcija Nalbuphine hydrochloride 10 mg/ml
5% glikoze 81
Savietojams
Injekcija Piperacillin sodium / tazobactam 200 mg/ml
Injekcija Naloxone hydrochloride 0.4 mg/ml
Nekāds 3408
Ķīmiskā nestabilitāte Nesavienojams
Injekcija Piperacillin sodium / tazobactam
Injekcija Netilmicin sulfate
3586
Savietojams
Injekcija Piperacillin sodium / tazobactam 20/2,5 & 40/5 mg/ml
Injekcija Ondansetron hydrochloride 0,015 >> 0,15 mg/ml
Nātrija hlorīds 0.9% 16
Savietojams
Injekcija Piperacillin sodium / tazobactam 40/5 mg/ml
Injekcija Ondansetron hydrochloride 0.1 mg/ml
5% glikoze 81
Savietojams
Injekcija Piperacillin sodium / tazobactam 200/25 mg/ml
Injekcija Oxycodone hydrochloride 1 mg/ml
Nātrija hlorīds 0.9% 4842
Nokrišņi pēc 1 stundas Nesavienojams
Injekcija Piperacillin sodium / tazobactam
Injekcija Pantoprazole sodium
2090
Savietojams
Injekcija Piperacillin sodium / tazobactam 100 mg/ml
Injekcija Paracetamol 10 mg/ml
Nekāds 3571
Savietojams
Injekcija Piperacillin sodium / tazobactam 100 mg/ml
Injekcija Paracetamol 10 mg/ml
4742
Savietojams
Injekcija Piperacillin sodium / tazobactam 200 mg/ml
Injekcija Pentoxifyllin 5 mg/ml
Nātrija hlorīds 0.9% 4538
Savietojams
Injekcija Piperacillin sodium / tazobactam 40/5 mg/ml
Injekcija Pethidine hydrochloride 4 mg/ml
5% glikoze 81
Ķīmiskā nestabilitāte Nesavienojams
Injekcija Piperacillin sodium / tazobactam
Injekcija Plazomicin sulfate
3586
Savietojams
Injekcija Piperacillin sodium / tazobactam 40/5 mg/ml
Injekcija Plazomicin sulfate 24 mg/ml
Nātrija hlorīds 0.9% 4145
Tūlītēji nokrišņi Nesavienojams
Injekcija Piperacillin sodium / tazobactam 160 mg/ml
Injekcija Posaconazole 1,2 mg/ml
Nātrija hlorīds 0.9% 4521
Savietojams
Injekcija Piperacillin sodium / tazobactam 40/5 mg/ml
Injekcija Potassium chloride 100 mEq/l
5% glikoze 81
Tūlītēja duļķainība Nesavienojams
Injekcija Piperacillin sodium / tazobactam 40/5 mg/ml
Injekcija Prochlorperazine edysilate 0.5 mg/ml
5% glikoze 81
Tūlītēja duļķainība Nesavienojams
Injekcija Piperacillin sodium / tazobactam 40/5 mg/ml
Injekcija Promethazine hydrochloride 2 mg/ml
5% glikoze 81
Savietojams
Injekcija Piperacillin sodium / tazobactam 40/5 mg/ml
Injekcija Ranitidine hydrochloride 2 mg/ml
5% glikoze 81
Savietojams
Injekcija Piperacillin sodium / tazobactam 40/5 mg/ml
Injekcija Remifentanil hydrochloride 25 & 250 µg/ml
Nātrija hlorīds 0.9% 59
Tūlītēji nokrišņi Nesavienojams
Injekcija Piperacillin sodium / tazobactam 200 mg/ml
Injekcija Salbutamol sulfate 1 mg/ml
Nekāds 3216
Savietojams
Injekcija Piperacillin sodium / tazobactam 40/5 mg/ml
Injekcija Sargramostim 10 µg/ml
5% glikoze 81
Savietojams
Injekcija Piperacillin sodium / tazobactam 200 mg/ml
Injekcija Sildenafil citrate 0,6 mg/ml
5% glikoze 4845
Neprecizēta nesaderība Nesavienojams
Injekcija Piperacillin sodium / tazobactam
Injekcija Sodium bicarbonate
3586
Savietojams
Injekcija Piperacillin sodium / tazobactam 40/5 mg/ml
Injekcija Sodium bicarbonate 84 mg/ml
5% glikoze 81
Ķīmiskā nestabilitāte Nesavienojams
Injekcija Piperacillin sodium / tazobactam
Injekcija Streptomycin sulfate
3586
Nokrišņi pēc 1 stundas Nesavienojams
Injekcija Piperacillin sodium / tazobactam 40/5 mg/ml
Injekcija Streptozocin 40 mg/ml
5% glikoze 81
Savietojams
Injekcija Piperacillin sodium / tazobactam 40/5 mg/ml
Injekcija Sulbactam/durlobactam 15/15 mg/ml
Nātrija hlorīds 0.9% 4801
Savietojams
Injekcija Piperacillin sodium / tazobactam 40/5 mg/ml
Injekcija Tedizolid phosphate 0.8 mg/ml
Nātrija hlorīds 0.9% 3827
Savietojams
Injekcija Piperacillin sodium / tazobactam 40/5 mg/ml
Injekcija Telavancin hydrochloride 7.5 mg/ml
5% glikoze 3254
Savietojams
Injekcija Piperacillin sodium / tazobactam 40/5 mg/ml
Injekcija Telavancin hydrochloride 7.5 mg/ml
Nātrija hlorīds 0.9% 3254
Savietojams
Injekcija Piperacillin sodium / tazobactam 40/5 mg/ml
Injekcija Telavancin hydrochloride 7.5 mg/ml
Ringera laktāta šķīdums 3254
Ķīmiskā nestabilitāte Nesavienojams
Injekcija Piperacillin sodium / tazobactam 200 mg/ml
Injekcija Temocilline 83.33 mg/ml
Ūdens injekcijām 2231
Neprecizēta nesaderība Nesavienojams
Injekcija Piperacillin sodium / tazobactam
Injekcija Temocilline
4470
Savietojams
Injekcija Piperacillin sodium / tazobactam 166/20.83 mg/ml
Injekcija Thiamine hydrochloride 0.4 mg/ml
5% glikoze 4254
Tūlītēji nokrišņi Nesavienojams
Injekcija Piperacillin sodium / tazobactam 200 mg/ml
Injekcija Thiopental sodium 25 mg/ml
Nātrija hlorīds 0.9% 3767
Savietojams
Injekcija Piperacillin sodium / tazobactam 40/5 mg/ml
Injekcija Thiotepa 1 mg/ml
5% glikoze 81
Savietojams
Injekcija Piperacillin sodium / tazobactam
Injekcija Tigecycline
Nātrija hlorīds 0.9% 3332
Ķīmiskā nestabilitāte Nesavienojams
Injekcija Piperacillin sodium / tazobactam
Injekcija Tobramycin sulfate
3586
Tūlītēji nokrišņi Nesavienojams
Injekcija Piperacillin sodium / tazobactam 112,5 mg/ml
Injekcija Vancomycin hydrochloride 10 mg/ml
5% glikoze 3428
Savietojams
Injekcija Piperacillin sodium / tazobactam
5% glikoze 3586
Savietojams
Injekcija Piperacillin sodium / tazobactam
Nātrija hlorīds 0.9% 5069
Tūlītēji nokrišņi Nesavienojams
Injekcija Piperacillin sodium / tazobactam 100/12,5 mg/ml
Injekcija Vancomycin hydrochloride 10 mg/ml
3365
Tūlītēji nokrišņi Nesavienojams
Injekcija Piperacillin sodium / tazobactam 40 >> 100 mg/ml
Injekcija Vancomycin hydrochloride 10 mg/ml
Nātrija hlorīds 0.9% 2475
Tūlītēji nokrišņi Nesavienojams
Injekcija Piperacillin sodium / tazobactam
Injekcija Vancomycin hydrochloride >8 mg/ml
Nātrija hlorīds 0.9% 3841
Savietojams
Injekcija Piperacillin sodium / tazobactam 16 >> 100 mg/ml
Injekcija Vancomycin hydrochloride 2 mg/ml
Nātrija hlorīds 0.9% 2475
Savietojams
Injekcija Piperacillin sodium / tazobactam 16 >> 100 mg/ml
Injekcija Vancomycin hydrochloride 5 mg/ml
Nātrija hlorīds 0.9% 2475
Savietojams
Injekcija Piperacillin sodium / tazobactam 16 >> 30 mg/ml
Injekcija Vancomycin hydrochloride 10 mg/ml
Nātrija hlorīds 0.9% 2475
Savietojams
Injekcija Piperacillin sodium / tazobactam 30/3,75 mg/ml
Injekcija Vancomycin hydrochloride 4 mg/ml
Nātrija hlorīds 0.9% 3421
Savietojams
Injekcija Piperacillin sodium / tazobactam 40/5 mg/ml
Injekcija Vancomycin hydrochloride 4 mg/ml
Nātrija hlorīds 0.9% 3421
Savietojams
Injekcija Piperacillin sodium / tazobactam 33.75 >> 90 mg/ml
Injekcija Vancomycin hydrochloride 4 >> 7 mg/ml
Nātrija hlorīds 0.9% 3841
Tūlītēji nokrišņi Nesavienojams
Injekcija Piperacillin sodium / tazobactam 80 & 90 mg/ml
Injekcija Vancomycin hydrochloride 8 mg/ml
Nātrija hlorīds 0.9% 3841
Savietojams
Injekcija Piperacillin sodium / tazobactam 33.75 >> 67.5 mg/ml
Injekcija Vancomycin hydrochloride 8 mg/ml
Nātrija hlorīds 0.9% 3841
Tūlītēja duļķainība Nesavienojams
Injekcija Piperacillin sodium / tazobactam 40/5 mg/ml
Injekcija Vancomycin hydrochloride 10 mg/ml
5% glikoze 81
Neprecizēta nesaderība Nesavienojams
Injekcija Piperacillin sodium / tazobactam 200 mg/ml
Injekcija Vancomycin hydrochloride 10 mg/ml
5% glikoze 3385
Tūlītēji nokrišņi Nesavienojams
Injekcija Piperacillin sodium / tazobactam 10/1.25 >> 200/25 mg/ml
Injekcija Vancomycin hydrochloride 20 mg/ml
5% glikoze 1674
Tūlītēji nokrišņi Nesavienojams
Injekcija Piperacillin sodium / tazobactam 80 >> 100 mg/ml
Injekcija Vancomycin hydrochloride 4 mg/ml
5% glikoze 2475
Tūlītēji nokrišņi Nesavienojams
Injekcija Piperacillin sodium / tazobactam 16 >> 100 mg/ml
Injekcija Vancomycin hydrochloride 8 mg/ml
5% glikoze 2475
Tūlītēji nokrišņi Nesavienojams
Injekcija Piperacillin sodium / tazobactam 28 mg/ml
Injekcija Vancomycin hydrochloride 10 & 15 mg/ml
5% glikoze 3984
Tūlītēji nokrišņi Nesavienojams
Injekcija Piperacillin sodium / tazobactam 67,5 mg/ml
Injekcija Vancomycin hydrochloride 5 mg/ml
5% glikoze 3960
Savietojams
Injekcija Piperacillin sodium / tazobactam 16 >> 40 mg/ml
Injekcija Vancomycin hydrochloride 4 mg/ml
5% glikoze 2475
Savietojams
Injekcija Piperacillin sodium / tazobactam 28 mg/ml
Injekcija Vancomycin hydrochloride 5 mg/ml
5% glikoze 3984
Savietojams
Injekcija Piperacillin sodium / tazobactam 1/0.125 >> 200/25 mg/ml
Injekcija Vancomycin hydrochloride 2 mg/ml
5% glikoze 1674
Savietojams
Injekcija Piperacillin sodium / tazobactam 1/0.125 mg/ml
Injekcija Vancomycin hydrochloride 20 mg/ml
5% glikoze 1674
Savietojams
Injekcija Piperacillin sodium / tazobactam 112.5 mg/ml
Injekcija Vasopressin 0.2 UI/ml
Nātrija hlorīds 0.9% 2017
Savietojams
Injekcija Piperacillin sodium / tazobactam 40/5 mg/ml
Injekcija Vinblastine sulfate 0.12 mg/ml
5% glikoze 81
Savietojams
Injekcija Piperacillin sodium / tazobactam 40/5 mg/ml
Injekcija Vincristine sulfate 0.05 mg/ml
5% glikoze 81
Savietojams
Injekcija Piperacillin sodium / tazobactam 40/5 mg/ml
Injekcija Zidovudine 4 mg/ml
5% glikoze 81
Savietojams
Injekcija Piperacillin sodium / tazobactam 40/5 mg/ml
Normosol® 4655

  Mentions Légales