Τελευταία ενημέρωση :
18/03/2026
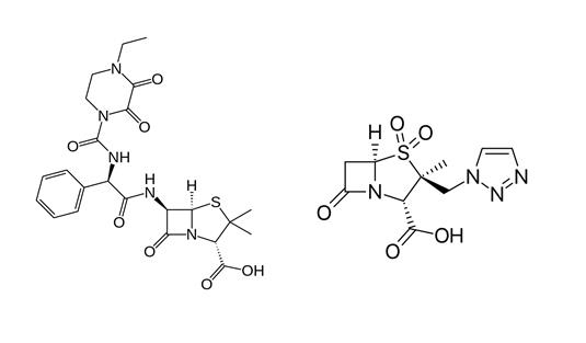
Αντιβιοτικό   Piperacillin sodium / tazobactam  
Ενέσιμο
Σταθερότητα διαλυμάτων Σταθερότητα σε μίγματα Παράγοντας που επηρεάζει τη σταθερότητα Συμβατότητες Τρόπος χορήγησης Βιβλιογραφία pdf
   χημική δομή  

Εμπορική ονομασία   Εμπορική ονομασία     

Οι εμπορικές ονομασίες είναι ενδεικτικές και η σύνθεση των εκδόχων μπορεί να διαφέρει ανάλογα με τη χώρα και τα εργαστήρια

Bagotaz Αργεντινή
Betampil Εκουαδόρ
Bioval Χιλή
Petezam Αργεντινή
Piperac Γερμανία
Piperacillin tazobactam Βέλγιο, Γερμανία, Καναδάς
Piperazam Βραζιλία
Pipetazo Χιλή
Pipitaz Αυστρία
Pixamol Κολομβία
Tazobac Εκουαδόρ, Ελβετία, Ιταλία, Πορτογαλία
Tazocel Ισπανία
Tazocilline Γαλλία
Tazocin Yhdistyneet arabiemiirikunnat, Αίγυπτος, Αργεντινή, Αυστραλία, Βόρεια Ιρλανδία, Βραζιλία, Δανία, Ελλάδα, Ιταλία, Κολομβία, Κροατία, Λουξεμβούργο, Μεγάλη Βρετανία, Μεξικό, νέα Ζηλανδία, Νορβηγία, Νότιος Αφρική, Ολλανδία, Ουγγαρία, Περού, Πολωνία, Σουηδία, Τουρκία, Φινλανδία
Tazonam Αυστρία, Χιλή
Tazopip Αυστραλία
Tazpen Κολομβία, Μεξικό
Tazrobida Κολομβία
Tigux Χιλή
Tratac Χιλή
Trital Εκουαδόρ
Zosyn Η.Π.Α., Ιαπωνία
Συμβατότητες    Ενέσιμο   Συμβατότητες : Piperacillin sodium / tazobactam              
Σε αυτή την οθόνη εμφανίζονται οι συμβατότητες ή ασυμβατότητες. Σε αυτή την περίπτωση εμφανίζονται το είδος της ασυμβατότητας (ίζημα, αλλαγή χρώματος, μεταβολή γαλακτώματος, κλπ). Οι συμβατότητες που παρουσιάζονται εδώ είναι κυρίως φυσικές, ενώ η χημική σταθερότητα κάθε μορίου σπάνια περιλαμβάνεται. Η αξιολόγηση αυτών των μιγμάτων μελετήθηκε προκειμένου να εκτιμηθεί η πιθανότητα χορήγησης στον ασθενή στο Υ κέντρο. Τα δεδομένα αυτά δεν μπορούν να χρησιμοποιηθούν για την εκ των προτέρων δημιουργία μιγμάτων σε ασκούς ή σύριγγες. Αυτό το είδος πληροφορίας υπάρχει και μπορεί να αναζητηθεί στην οθόνη «Σταθερότητα σε μίγμα».
Συστατικό Διαλυτικό Βιβλιογραφία
Καταβύθιση μετά από 1 ώρα Ασύμβατες
Ενέσιμο Piperacillin sodium / tazobactam 40/5 mg/ml
Ενέσιμο Aciclovir sodium 7 mg/ml
Γλυκόζη 5% 81
Σύμφωνος
Ενέσιμο Piperacillin sodium / tazobactam 40/5 mg/ml
Παρεντερική διατροφή (με λιπίδια) 1415
Σύμφωνος
Ενέσιμο Piperacillin sodium / tazobactam 200 mg/ml
Γαλακτικό διάλυμα Ringer 4603
Σύμφωνος
Ενέσιμο Piperacillin sodium / tazobactam 80 mg/ml
Παρεντερική διατροφή (με λιπίδια) 3948
Χημική αστάθεια Ασύμβατες
Ενέσιμο Piperacillin sodium / tazobactam
Ενέσιμο Amikacin sulfate
3586
Σύμφωνος
Ενέσιμο Piperacillin sodium / tazobactam 200 mg/ml
Παρεντερική διατροφή (με λιπίδια) 4924
Θολότητα σε 24 ώρες Ασύμβατες
Ενέσιμο Piperacillin sodium / tazobactam 60 mg/ml
Ενέσιμο Amiodarone hydrochloride 6 mg/ml
Γλυκόζη 5% 1611
Άμεση βροχόπτωση Ασύμβατες
Ενέσιμο Piperacillin sodium / tazobactam 40/5 mg/ml
Ενέσιμο Amphotericin B 0.6 mg/ml
Γλυκόζη 5% 81
Άμεση βροχόπτωση Ασύμβατες
Ενέσιμο Piperacillin sodium / tazobactam 40/5 mg/ml
Ενέσιμο Amphotericin B cholesteryl sulfate complex 0.83 mg/ml
Γλυκόζη 5% 921
Σύμφωνος
Ενέσιμο Piperacillin sodium / tazobactam 40/5 mg/ml
Ενέσιμο Anidulafungin 0.5 mg/ml
Γλυκόζη 5% 1982
Σύμφωνος
Ενέσιμο Piperacillin sodium / tazobactam 40/5 mg/ml
Ενέσιμο Aztreonam 40 mg/ml
Γλυκόζη 5% 81
Σύμφωνος
Ενέσιμο Piperacillin sodium / tazobactam 40/5 mg/ml
Ενέσιμο Bivalirudin 5 mg/ml
Γλυκόζη 5% 1713
Σύμφωνος
Ενέσιμο Piperacillin sodium / tazobactam 40/5 mg/ml
Ενέσιμο Bleomycin sulfate 1 mg/ml
Γλυκόζη 5% 81
Σύμφωνος
Ενέσιμο Piperacillin sodium / tazobactam 200 mg/ml
Ενέσιμο Caffeine 10 mg/ml
Ουδέν 3964
Σύμφωνος
Ενέσιμο Piperacillin sodium / tazobactam 40/5 mg/ml
Ενέσιμο Carboplatin 5 mg/ml
Γλυκόζη 5% 81
Σύμφωνος
Ενέσιμο Piperacillin sodium / tazobactam 40/5 mg/ml
Ενέσιμο Carmustine 1.5 mg/ml
Γλυκόζη 5% 81
Σύμφωνος
Ενέσιμο Piperacillin sodium / tazobactam 40/5 mg/ml
Ενέσιμο Ceftolozane / tazobactam 10/5 mg/ml
Χλωριούχο νάτριο 0,9% 3828
Άμεση θολότητα Ασύμβατες
Ενέσιμο Piperacillin sodium / tazobactam 40/5 mg/ml
Ενέσιμο Chlorpromazine hydrochloride 2 mg/ml
Γλυκόζη 5% 81
Σύμφωνος
Ενέσιμο Piperacillin sodium / tazobactam 40/5 mg/ml
Ενέσιμο Cisatracurium besylate 0.1 & 2 mg/ml
Γλυκόζη 5% 299
Καταβύθιση μετά από 1 ώρα Ασύμβατες
Ενέσιμο Piperacillin sodium / tazobactam 40/5 mg/ml
Ενέσιμο Cisplatin 1 mg/ml
Γλυκόζη 5% 81
Σύμφωνος
Ενέσιμο Piperacillin sodium / tazobactam 40/5 mg/ml
Ενέσιμο Clindamycin phosphate 10 mg/ml
Γλυκόζη 5% 81
Σύμφωνος
Ενέσιμο Piperacillin sodium / tazobactam 40/5 mg/ml
Ενέσιμο Co-trimoxazole 0.8/4 mg/ml
Γλυκόζη 5% 81
Σύμφωνος
Ενέσιμο Piperacillin sodium / tazobactam 40/0.5 mg/ml
Ενέσιμο Colistin mesilate sodium 1.5 mg/ml
Χλωριούχο νάτριο 0,9% 3997
Σύμφωνος
Ενέσιμο Piperacillin sodium / tazobactam 40/5 mg/ml
Ενέσιμο Cyclophosphamide 10 mg/ml
Γλυκόζη 5% 81
Σύμφωνος
Ενέσιμο Piperacillin sodium / tazobactam 40/5 mg/ml
Ενέσιμο Cytarabine 50 mg/ml
Γλυκόζη 5% 81
Άμεση βροχόπτωση Ασύμβατες
Ενέσιμο Piperacillin sodium / tazobactam 40/5 mg/ml
Ενέσιμο Dacarbazine 4 mg/ml
Γλυκόζη 5% 81
Άμεση θολότητα Ασύμβατες
Ενέσιμο Piperacillin sodium / tazobactam 40/5 mg/ml
Ενέσιμο Daunorubicin hydrochloride 1 mg/ml
Γλυκόζη 5% 81
Άμεση θολότητα Ασύμβατες
Ενέσιμο Piperacillin sodium / tazobactam
Ενέσιμο Daunorubicin/cytarabine liposomale 0,4 mg/mL
Χλωριούχο νάτριο 0,9% 4654
Άμεση θολότητα Ασύμβατες
Ενέσιμο Piperacillin sodium / tazobactam 40/5 mg/ml
Ενέσιμο Dobutamine hydrochloride 4 mg/ml
Γλυκόζη 5% 81
Σύμφωνος
Ενέσιμο Piperacillin sodium / tazobactam 40/5 mg/ml
Ενέσιμο Docetaxel 0.9 mg/ml
Γλυκόζη 5% 1754
Άμεση θολότητα Ασύμβατες
Ενέσιμο Piperacillin sodium / tazobactam 40/5 mg/ml
Ενέσιμο Doxorubicin hydrochloride 2 mg/ml
Γλυκόζη 5% 81
Άμεση θολότητα Ασύμβατες
Ενέσιμο Piperacillin sodium / tazobactam 40/5 mg/ml
Ενέσιμο Doxycycline hyclate 1 mg/ml
Γλυκόζη 5% 81
Άμεση βροχόπτωση Ασύμβατες
Ενέσιμο Piperacillin sodium / tazobactam 40/5 mg/ml
Ενέσιμο Droperidol 0.4 mg/ml
Γλυκόζη 5% 81
Σύμφωνος
Ενέσιμο Piperacillin sodium / tazobactam 40/5 mg/ml
Ενέσιμο Etoposide 0.4 mg/ml
Γλυκόζη 5% 81
Σύμφωνος
Ενέσιμο Piperacillin sodium / tazobactam 40/5 mg/ml
Ενέσιμο Etoposide phosphate 5 mg/ml
Χλωριούχο νάτριο 0,9% 1410
Άμεση βροχόπτωση Ασύμβατες
Ενέσιμο Piperacillin sodium / tazobactam 40/5 mg/ml
Ενέσιμο Famotidine 2 mg/ml
Γλυκόζη 5% 81
Σύμφωνος
Ενέσιμο Piperacillin sodium / tazobactam 40/5 mg/ml
Ενέσιμο Fenoldopam mesylate 80 µg/ml
Χλωριούχο νάτριο 0,9% 1803
Σύμφωνος
Ενέσιμο Piperacillin sodium / tazobactam 40/5 mg/ml
Ενέσιμο Floxuridine 3 mg/ml
Γλυκόζη 5% 81
Σύμφωνος
Ενέσιμο Piperacillin sodium / tazobactam 40/5 mg/ml
Ενέσιμο Fluconazole 2 mg/ml
Γλυκόζη 5% 81
Σύμφωνος
Ενέσιμο Piperacillin sodium / tazobactam 40/5 mg/ml
Ενέσιμο Fludarabine phosphate 1 mg/ml
Γλυκόζη 5% 81
Σύμφωνος
Ενέσιμο Piperacillin sodium / tazobactam 40/5 mg/ml
Ενέσιμο Fluorouracil 16 mg/ml
Γλυκόζη 5% 81
Σύμφωνος
Ενέσιμο Piperacillin sodium / tazobactam 40/5 mg/ml
Ενέσιμο Fosfomycin 30 mg/ml
Χλωριούχο νάτριο 0,9% 4055
Καταβύθιση μετά από 1 ώρα Ασύμβατες
Ενέσιμο Piperacillin sodium / tazobactam 40/5 mg/ml
Ενέσιμο Ganciclovir sodium 20 mg/ml
Γλυκόζη 5% 81
Χημική αστάθεια Ασύμβατες
Ενέσιμο Piperacillin sodium / tazobactam
Ενέσιμο Gentamicin sulfate
3586
Σύμφωνος
Ενέσιμο Piperacillin sodium / tazobactam 40/5 mg/ml
Ενέσιμο Granisetron hydrochloride 0.05 mg/ml
Γλυκόζη 5% 182
Άμεση βροχόπτωση Ασύμβατες
Ενέσιμο Piperacillin sodium / tazobactam 40/5 mg/ml
Ενέσιμο Haloperidol lactate 0.2 mg/ml
Γλυκόζη 5% 81
Απροσδιόριστη ασυμβατότητα Ασύμβατες
Ενέσιμο Piperacillin sodium / tazobactam
Γαλακτικό διάλυμα Ringer 3586
Απροσδιόριστη ασυμβατότητα Ασύμβατες
Ενέσιμο Piperacillin sodium / tazobactam
Ενέσιμο Aciclovir sodium
3595
Χημική αστάθεια Ασύμβατες
Ενέσιμο Piperacillin sodium / tazobactam
Ενέσιμο Amikacin sulfate
3549
Σύμφωνος
Ενέσιμο Piperacillin sodium / tazobactam 40/5 mg/ml
Ενέσιμο Aminophylline 2.5 mg/ml
Γλυκόζη 5% 81
Σύμφωνος
Ενέσιμο Piperacillin sodium / tazobactam 100 mg/ml
Ενέσιμο Amoxicillin sodium / clavulanic acid 100/10 mg/ml
3824
Άμεση βροχόπτωση Ασύμβατες
Ενέσιμο Piperacillin sodium / tazobactam 112.5 mg/ml
Ενέσιμο Azithromycine 2 mg/ml
Χλωριούχο νάτριο 0,9% 1800
Σύμφωνος
Ενέσιμο Piperacillin sodium / tazobactam 40/5 mg/ml
Ενέσιμο Bumetanide 0.04 mg/ml
Γλυκόζη 5% 81
Σύμφωνος
Ενέσιμο Piperacillin sodium / tazobactam 40/5 mg/ml
Ενέσιμο Buprenorphine hydrochloride 0.04 mg/ml
Γλυκόζη 5% 81
Σύμφωνος
Ενέσιμο Piperacillin sodium / tazobactam 40/5 mg/ml
Ενέσιμο Butorphanol tartrate 0.04 mg/ml
Γλυκόζη 5% 81
Σύμφωνος
Ενέσιμο Piperacillin sodium / tazobactam 200 mg/ml
Ενέσιμο Caffeine 10 mg/ml
Ενέσιμο ύδωρ 4837
Σύμφωνος
Ενέσιμο Piperacillin sodium / tazobactam 200 mg/ml
Ενέσιμο Caffeine citrate 20 mg/ml
Ενέσιμο ύδωρ 4837
Σύμφωνος
Ενέσιμο Piperacillin sodium / tazobactam 40/5 mg/ml
Ενέσιμο Calcium gluconate 40 mg/ml
Γλυκόζη 5% 81
Άμεση βροχόπτωση Ασύμβατες
Ενέσιμο Piperacillin sodium / tazobactam 90 mg/ml
Ενέσιμο Caspofungin acetate 0.5 mg/ml
Χλωριούχο νάτριο 0,9% 2233
Άμεση βροχόπτωση Ασύμβατες
Ενέσιμο Piperacillin sodium / tazobactam 40/5 mg/ml
Ενέσιμο Caspofungin acetate 0,7 mg/ml
Χλωριούχο νάτριο 0,9% 2247
Σύμφωνος
Ενέσιμο Piperacillin sodium / tazobactam 40/5 mg/ml
Ενέσιμο Ceftolozane / tazobactam 10/5 mg/ml
Γλυκόζη 5% 3828
Σύμφωνος
Ενέσιμο Piperacillin sodium / tazobactam 40/5 mg/ml
Ενέσιμο Cimetidine hydrochloride 12 mg/ml
Γλυκόζη 5% 81
Απροσδιόριστη ασυμβατότητα Ασύμβατες
Ενέσιμο Piperacillin sodium / tazobactam
Ενέσιμο Ciprofloxacin lactate
3529
Καταβύθιση μετά από 4 ώρες Ασύμβατες
Ενέσιμο Piperacillin sodium / tazobactam 40/5 mg/ml
Ενέσιμο Cisatracurium besylate 5 mg/ml
Γλυκόζη 5% 299
Σύμφωνος
Ενέσιμο Piperacillin sodium / tazobactam 225 mg/ml
Ενέσιμο Cloxacillin sodium 100 mg/ml
Ενέσιμο ύδωρ 3012
Υποβιβαστική ασυμβατότητα Ασύμβατες
Ενέσιμο Piperacillin sodium / tazobactam
Ενέσιμο Daunorubicin/cytarabine liposomale
4354
Σύμφωνος
Ενέσιμο Piperacillin sodium / tazobactam 40/5 mg/ml
Ενέσιμο Dexamethasone sodium phosphate 1 mg/ml
Γλυκόζη 5% 81
Σύμφωνος
Ενέσιμο Piperacillin sodium / tazobactam 40/5 mg/ml
Ενέσιμο Dexmedetomidine 4 µg/ml
Χλωριούχο νάτριο 0,9% 1712
Σύμφωνος
Ενέσιμο Piperacillin sodium / tazobactam
Ενέσιμο Dimenhydrinate
2087
Σύμφωνος
Ενέσιμο Piperacillin sodium / tazobactam 40/5 mg/ml
Ενέσιμο Diphenhydramine hydrochloride 2 mg/ml
Γλυκόζη 5% 81
Σύμφωνος
Ενέσιμο Piperacillin sodium / tazobactam 40/5 mg/ml
Ενέσιμο Dopamine hydrochloride 3.2 mg/ml
Γλυκόζη 5% 81
Απώλεια θολότητας Ασύμβατες
Ενέσιμο Piperacillin sodium / tazobactam 40/5 mg/ml
Ενέσιμο Doxorubicin hydrochloride liposome peg 0.4 mg/ml
Γλυκόζη 5% 251
Σύμφωνος
Ενέσιμο Piperacillin sodium / tazobactam 40/5 mg/ml
Ενέσιμο Enalaprilate 0.1 mg/ml
Γλυκόζη 5% 81
Σύμφωνος
Ενέσιμο Piperacillin sodium / tazobactam 40/5 mg/ml
Ενέσιμο Eravacycline 0,6 mg/ml
Χλωριούχο νάτριο 0,9% 4434
Απροσδιόριστη ασυμβατότητα Ασύμβατες
Ενέσιμο Piperacillin sodium / tazobactam
Ενέσιμο Erythromycin lactobionate
3674
Σύμφωνος
Ενέσιμο Piperacillin sodium / tazobactam 40/5 mg/ml
Ενέσιμο Folinate calcium 2 mg/ml
Γλυκόζη 5% 81
Σύμφωνος
Ενέσιμο Piperacillin sodium / tazobactam 40/5 mg/ml
Ενέσιμο Fosfomycin 30 mg/ml
Γλυκόζη 5% 4055
Σύμφωνος
Ενέσιμο Piperacillin sodium / tazobactam 40/5 mg/ml
Ενέσιμο Furosemide 3 mg/ml
Γλυκόζη 5% 81
Σύμφωνος
Ενέσιμο Piperacillin sodium / tazobactam 40/5 mg/ml
Ενέσιμο Gallium nitrate 0.4 mg/ml
Γλυκόζη 5% 81
Άμεση θολότητα Ασύμβατες
Ενέσιμο Piperacillin sodium / tazobactam 40/5 mg/ml
Ενέσιμο Gemcitabine hydrochloride 10 mg/ml
Χλωριούχο νάτριο 0,9% 1423
Απροσδιόριστη ασυμβατότητα Ασύμβατες
Ενέσιμο Piperacillin sodium / tazobactam
Ενέσιμο Gentamicin sulfate
3520
Απροσδιόριστη ασυμβατότητα Ασύμβατες
Ενέσιμο Piperacillin sodium / tazobactam
Ενέσιμο Gentamicin sulfate
3643
Σύμφωνος
Ενέσιμο Piperacillin sodium / tazobactam 0.5/0.0625 mg/ml
Ενέσιμο Heparin sodium 0.5 UI/ml
Dianéal® 1.5% glucose (Baxter) 4180
Σύμφωνος
Ενέσιμο Piperacillin sodium / tazobactam 0.5/0.0625 mg/ml
Ενέσιμο Heparin sodium 0.5 UI/ml
Extraneal® (Baxter) 4180
Σύμφωνος
Ενέσιμο Piperacillin sodium / tazobactam 1.38/0.1725 mg/ml
Ενέσιμο Heparin sodium 1.4 UI/ml
Physionéal® 2.27 (Baxter) 4180
Σύμφωνος
Ενέσιμο Piperacillin sodium / tazobactam 0.5/0.0625 mg/ml
Ενέσιμο Heparin sodium 0.5 UI/ml
Dianéal® 4.25% glucose (Baxter) 4180
Σύμφωνος
Ενέσιμο Piperacillin sodium / tazobactam 1.38/0.1725 mg/ml
Ενέσιμο Heparin sodium 1.4 UI/ml
Physionéal® 3.86 (Baxter) 4180
Σύμφωνος
Ενέσιμο Piperacillin sodium / tazobactam 1.38/0.1725 mg/ml
Ενέσιμο Heparin sodium 1.4 UI/ml
Physionéal® 1.36 (Baxter) 4180
Σύμφωνος
Ενέσιμο Piperacillin sodium / tazobactam 0.5/0.0625 mg/ml
Ενέσιμο Heparin sodium 0.5 UI/ml
Dianéal® 2.5% glucose (Baxter) 4180
Σύμφωνος
Ενέσιμο Piperacillin sodium / tazobactam 40/5 mg/ml
Ενέσιμο Heparin sodium 100 UI/ml
Γλυκόζη 5% 81
Σύμφωνος
Ενέσιμο Piperacillin sodium / tazobactam 40/5 mg/ml
Ενέσιμο Hetastarch 60 mg/ml
Ειδικά διαλύτη 1721
Σύμφωνος
Ενέσιμο Piperacillin sodium / tazobactam 40/5 mg/ml
Ενέσιμο Hydrocortisone sodium succinate 1 mg/ml
Γλυκόζη 5% 81
Σύμφωνος
Ενέσιμο Piperacillin sodium / tazobactam 40/5 mg/ml
Ενέσιμο Hydromorphone hydrochloride 0.5 mg/ml
Γλυκόζη 5% 81
Άμεση βροχόπτωση Ασύμβατες
Ενέσιμο Piperacillin sodium / tazobactam 40/5 mg/ml
Ενέσιμο Hydroxyzine dihydrochloride 4 mg/ml
Γλυκόζη 5% 81
Άμεση θολότητα Ασύμβατες
Ενέσιμο Piperacillin sodium / tazobactam 40/5 mg/ml
Ενέσιμο Idarubicin hydrochloride 0.5 mg/ml
Γλυκόζη 5% 81
Σύμφωνος
Ενέσιμο Piperacillin sodium / tazobactam 40/5 mg/ml
Ενέσιμο Ifosfamide 25 mg/ml
Γλυκόζη 5% 81
Σύμφωνος
Ενέσιμο Piperacillin sodium / tazobactam 166/20.83 mg/ml
Ενέσιμο Insulin 1 UI/ml
Χλωριούχο νάτριο 0,9% 4254
Σύμφωνος
Ενέσιμο Piperacillin sodium / tazobactam 45 mg/ml
Ενέσιμο Insulin aspart 1 UI/ml
Χλωριούχο νάτριο 0,9% 1508
Σύμφωνος
Ενέσιμο Piperacillin sodium / tazobactam 45 mg/ml
Ενέσιμο Insulin aspart 1 UI/ml
Γλυκόζη 5% 1508
Σύμφωνος
Ενέσιμο Piperacillin sodium / tazobactam 40/5 mg/ml
Ενέσιμο Isavuconazonium sulfate 1.5 mg/ml
Χλωριούχο νάτριο 0,9% 3829
Σύμφωνος
Ενέσιμο Piperacillin sodium / tazobactam 40/5 mg/ml
Ενέσιμο Lansoprazole 0.55 mg/ml
Χλωριούχο νάτριο 0,9% 1625
Σύμφωνος
Ενέσιμο Piperacillin sodium / tazobactam 166/20.83 mg/ml
Ενέσιμο Levetiracetam 20.83 mg/ml
Γλυκόζη 5% 4254
Σύμφωνος
Ενέσιμο Piperacillin sodium / tazobactam 166/20.83 mg/ml
Ενέσιμο Levetiracetam 20.83 mg/ml
Χλωριούχο νάτριο 0,9% 4254
Σύμφωνος
Ενέσιμο Piperacillin sodium / tazobactam 80 mg/ml
Παρεντερική  θρέψη (ελεύθερο λιπιδίων) 3948
Σύμφωνος
Ενέσιμο Piperacillin sodium / tazobactam 166/20.83 mg/ml
Ενέσιμο Insulin 1 UI/ml
Γλυκόζη 5% 4254
Σύμφωνος
Ενέσιμο Piperacillin sodium / tazobactam 33,75 mg/ml
Ενέσιμο Levetiracetam 5 mg/ml
Χλωριούχο νάτριο 0,9% 4569
Σύμφωνος
Ενέσιμο Piperacillin sodium / tazobactam 40/5 mg/ml
Παρεντερική  θρέψη (ελεύθερο λιπιδίων) 301
Άμεση θολότητα Ασύμβατες
Ενέσιμο Piperacillin sodium / tazobactam 40/5 mg/ml
Ενέσιμο Isavuconazonium sulfate 1.5 mg/ml
Γλυκόζη 5% 3829
Απροσδιόριστη ασυμβατότητα Ασύμβατες
Ενέσιμο Piperacillin sodium / tazobactam
NaHCO3 3586
Χημική αστάθεια Ασύμβατες
Ενέσιμο Piperacillin sodium / tazobactam
Ενέσιμο Kanamycin sulfate
3586
Σύμφωνος
Ενέσιμο Piperacillin sodium / tazobactam 200 mg/ml
Ενέσιμο Ketamine hydrochloride 50 mg/ml
2109
Υποβιβαστική ασυμβατότητα Ασύμβατες
Ενέσιμο Piperacillin sodium / tazobactam 45 mg/ml
Ενέσιμο Levetiracetam 5 mg/ml
Χλωριούχο νάτριο 0,9% 4569
Σύμφωνος
Ενέσιμο Piperacillin sodium / tazobactam 125 mg/ml
Ενέσιμο Linezolid 2 mg/ml
4928
Σύμφωνος
Ενέσιμο Piperacillin sodium / tazobactam 40/5 mg/ml
Ενέσιμο Linezolid 2 mg/ml
Ουδέν 1925
Σύμφωνος
Ενέσιμο Piperacillin sodium / tazobactam 40/5 mg/ml
Ενέσιμο Lorazepam 0.1 mg/ml
Γλυκόζη 5% 81
Σύμφωνος
Ενέσιμο Piperacillin sodium / tazobactam 40/5 mg/ml
Ενέσιμο Magnesium sulfate 100 mg/ml
Γλυκόζη 5% 81
Σύμφωνος
Ενέσιμο Piperacillin sodium / tazobactam 40/5 mg/ml
Ενέσιμο Mannitol 150 mg/ml
Γλυκόζη 5% 81
Σύμφωνος
Ενέσιμο Piperacillin sodium / tazobactam 200 mg/ml
Ενέσιμο Meropenem 50 mg/ml
Ενέσιμο ύδωρ 4319
Σύμφωνος
Ενέσιμο Piperacillin sodium / tazobactam 40/5 mg/ml
Ενέσιμο Mesna 10 mg/ml
Γλυκόζη 5% 81
Σύμφωνος
Ενέσιμο Piperacillin sodium / tazobactam 40/5 mg/ml
Ενέσιμο Methotrexate sodium 15 mg/ml
Γλυκόζη 5% 81
Σύμφωνος
Ενέσιμο Piperacillin sodium / tazobactam 40/5 mg/ml
Ενέσιμο Methylprednisolone sodium succinate 5 mg/ml
Γλυκόζη 5% 81
Σύμφωνος
Ενέσιμο Piperacillin sodium / tazobactam 40/5 mg/ml
Ενέσιμο Metoclopramide hydrochloride 5 mg/ml
Γλυκόζη 5% 81
Σύμφωνος
Ενέσιμο Piperacillin sodium / tazobactam 40/5 mg/ml
Ενέσιμο Metronidazole 5 mg/ml
Γλυκόζη 5% 81
Άμεση βροχόπτωση Ασύμβατες
Ενέσιμο Piperacillin sodium / tazobactam 40/5 mg/ml
Ενέσιμο Minocycline hydrochloride 1 mg/ml
Γλυκόζη 5% 81
Αλλαγή χρώματος μετά από 4 ώρες Ασύμβατες
Ενέσιμο Piperacillin sodium / tazobactam 40/5 mg/ml
Ενέσιμο Mitomycin 0.5 mg/ml
Γλυκόζη 5% 81
Άμεση βροχόπτωση Ασύμβατες
Ενέσιμο Piperacillin sodium / tazobactam 40/5 mg/ml
Ενέσιμο Mitoxantrone dihydrochloride 0.5 mg/ml
Γλυκόζη 5% 81
Σύμφωνος
Ενέσιμο Piperacillin sodium / tazobactam 40/5 mg/ml
Ενέσιμο Morphine sulfate 1 mg/ml
Γλυκόζη 5% 81
Σύμφωνος
Ενέσιμο Piperacillin sodium / tazobactam
Ενέσιμο N-acetylcysteine 200 mg/ml
Ουδέν 3766
Άμεση θολότητα Ασύμβατες
Ενέσιμο Piperacillin sodium / tazobactam 40/5 mg/ml
Ενέσιμο Nalbuphine hydrochloride 10 mg/ml
Γλυκόζη 5% 81
Σύμφωνος
Ενέσιμο Piperacillin sodium / tazobactam 200 mg/ml
Ενέσιμο Naloxone hydrochloride 0.4 mg/ml
Ουδέν 3408
Χημική αστάθεια Ασύμβατες
Ενέσιμο Piperacillin sodium / tazobactam
Ενέσιμο Netilmicin sulfate
3586
Σύμφωνος
Ενέσιμο Piperacillin sodium / tazobactam 20/2,5 & 40/5 mg/ml
Ενέσιμο Ondansetron hydrochloride 0,015 >> 0,15 mg/ml
Χλωριούχο νάτριο 0,9% 16
Σύμφωνος
Ενέσιμο Piperacillin sodium / tazobactam 40/5 mg/ml
Ενέσιμο Ondansetron hydrochloride 0.1 mg/ml
Γλυκόζη 5% 81
Σύμφωνος
Ενέσιμο Piperacillin sodium / tazobactam 200/25 mg/ml
Ενέσιμο Oxycodone hydrochloride 1 mg/ml
Χλωριούχο νάτριο 0,9% 4842
Καταβύθιση μετά από 1 ώρα Ασύμβατες
Ενέσιμο Piperacillin sodium / tazobactam
Ενέσιμο Pantoprazole sodium
2090
Σύμφωνος
Ενέσιμο Piperacillin sodium / tazobactam 100 mg/ml
Ενέσιμο Paracetamol 10 mg/ml
Ουδέν 3571
Σύμφωνος
Ενέσιμο Piperacillin sodium / tazobactam 100 mg/ml
Ενέσιμο Paracetamol 10 mg/ml
4742
Σύμφωνος
Ενέσιμο Piperacillin sodium / tazobactam 200 mg/ml
Ενέσιμο Pentoxifyllin 5 mg/ml
Χλωριούχο νάτριο 0,9% 4538
Σύμφωνος
Ενέσιμο Piperacillin sodium / tazobactam 40/5 mg/ml
Ενέσιμο Pethidine hydrochloride 4 mg/ml
Γλυκόζη 5% 81
Χημική αστάθεια Ασύμβατες
Ενέσιμο Piperacillin sodium / tazobactam
Ενέσιμο Plazomicin sulfate
3586
Σύμφωνος
Ενέσιμο Piperacillin sodium / tazobactam 40/5 mg/ml
Ενέσιμο Plazomicin sulfate 24 mg/ml
Χλωριούχο νάτριο 0,9% 4145
Άμεση βροχόπτωση Ασύμβατες
Ενέσιμο Piperacillin sodium / tazobactam 160 mg/ml
Ενέσιμο Posaconazole 1,2 mg/ml
Χλωριούχο νάτριο 0,9% 4521
Σύμφωνος
Ενέσιμο Piperacillin sodium / tazobactam 40/5 mg/ml
Ενέσιμο Potassium chloride 100 mEq/l
Γλυκόζη 5% 81
Άμεση θολότητα Ασύμβατες
Ενέσιμο Piperacillin sodium / tazobactam 40/5 mg/ml
Ενέσιμο Prochlorperazine edysilate 0.5 mg/ml
Γλυκόζη 5% 81
Άμεση θολότητα Ασύμβατες
Ενέσιμο Piperacillin sodium / tazobactam 40/5 mg/ml
Ενέσιμο Promethazine hydrochloride 2 mg/ml
Γλυκόζη 5% 81
Σύμφωνος
Ενέσιμο Piperacillin sodium / tazobactam 40/5 mg/ml
Ενέσιμο Ranitidine hydrochloride 2 mg/ml
Γλυκόζη 5% 81
Σύμφωνος
Ενέσιμο Piperacillin sodium / tazobactam 40/5 mg/ml
Ενέσιμο Remifentanil hydrochloride 25 & 250 µg/ml
Χλωριούχο νάτριο 0,9% 59
Άμεση βροχόπτωση Ασύμβατες
Ενέσιμο Piperacillin sodium / tazobactam 200 mg/ml
Ενέσιμο Salbutamol sulfate 1 mg/ml
Ουδέν 3216
Σύμφωνος
Ενέσιμο Piperacillin sodium / tazobactam 40/5 mg/ml
Ενέσιμο Sargramostim 10 µg/ml
Γλυκόζη 5% 81
Σύμφωνος
Ενέσιμο Piperacillin sodium / tazobactam 200 mg/ml
Ενέσιμο Sildenafil citrate 0,6 mg/ml
Γλυκόζη 5% 4845
Απροσδιόριστη ασυμβατότητα Ασύμβατες
Ενέσιμο Piperacillin sodium / tazobactam
Ενέσιμο Sodium bicarbonate
3586
Σύμφωνος
Ενέσιμο Piperacillin sodium / tazobactam 40/5 mg/ml
Ενέσιμο Sodium bicarbonate 84 mg/ml
Γλυκόζη 5% 81
Χημική αστάθεια Ασύμβατες
Ενέσιμο Piperacillin sodium / tazobactam
Ενέσιμο Streptomycin sulfate
3586
Καταβύθιση μετά από 1 ώρα Ασύμβατες
Ενέσιμο Piperacillin sodium / tazobactam 40/5 mg/ml
Ενέσιμο Streptozocin 40 mg/ml
Γλυκόζη 5% 81
Σύμφωνος
Ενέσιμο Piperacillin sodium / tazobactam 40/5 mg/ml
Ενέσιμο Sulbactam/durlobactam 15/15 mg/ml
Χλωριούχο νάτριο 0,9% 4801
Σύμφωνος
Ενέσιμο Piperacillin sodium / tazobactam 40/5 mg/ml
Ενέσιμο Tedizolid phosphate 0.8 mg/ml
Χλωριούχο νάτριο 0,9% 3827
Σύμφωνος
Ενέσιμο Piperacillin sodium / tazobactam 40/5 mg/ml
Ενέσιμο Telavancin hydrochloride 7.5 mg/ml
Γλυκόζη 5% 3254
Σύμφωνος
Ενέσιμο Piperacillin sodium / tazobactam 40/5 mg/ml
Ενέσιμο Telavancin hydrochloride 7.5 mg/ml
Χλωριούχο νάτριο 0,9% 3254
Σύμφωνος
Ενέσιμο Piperacillin sodium / tazobactam 40/5 mg/ml
Ενέσιμο Telavancin hydrochloride 7.5 mg/ml
Γαλακτικό διάλυμα Ringer 3254
Χημική αστάθεια Ασύμβατες
Ενέσιμο Piperacillin sodium / tazobactam 200 mg/ml
Ενέσιμο Temocilline 83.33 mg/ml
Ενέσιμο ύδωρ 2231
Απροσδιόριστη ασυμβατότητα Ασύμβατες
Ενέσιμο Piperacillin sodium / tazobactam
Ενέσιμο Temocilline
4470
Σύμφωνος
Ενέσιμο Piperacillin sodium / tazobactam 166/20.83 mg/ml
Ενέσιμο Thiamine hydrochloride 0.4 mg/ml
Γλυκόζη 5% 4254
Άμεση βροχόπτωση Ασύμβατες
Ενέσιμο Piperacillin sodium / tazobactam 200 mg/ml
Ενέσιμο Thiopental sodium 25 mg/ml
Χλωριούχο νάτριο 0,9% 3767
Σύμφωνος
Ενέσιμο Piperacillin sodium / tazobactam 40/5 mg/ml
Ενέσιμο Thiotepa 1 mg/ml
Γλυκόζη 5% 81
Σύμφωνος
Ενέσιμο Piperacillin sodium / tazobactam
Ενέσιμο Tigecycline
Χλωριούχο νάτριο 0,9% 3332
Χημική αστάθεια Ασύμβατες
Ενέσιμο Piperacillin sodium / tazobactam
Ενέσιμο Tobramycin sulfate
3586
Άμεση βροχόπτωση Ασύμβατες
Ενέσιμο Piperacillin sodium / tazobactam 112,5 mg/ml
Ενέσιμο Vancomycin hydrochloride 10 mg/ml
Γλυκόζη 5% 3428
Σύμφωνος
Ενέσιμο Piperacillin sodium / tazobactam
Γλυκόζη 5% 3586
Σύμφωνος
Ενέσιμο Piperacillin sodium / tazobactam
Χλωριούχο νάτριο 0,9% 5069
Άμεση βροχόπτωση Ασύμβατες
Ενέσιμο Piperacillin sodium / tazobactam 100/12,5 mg/ml
Ενέσιμο Vancomycin hydrochloride 10 mg/ml
3365
Άμεση βροχόπτωση Ασύμβατες
Ενέσιμο Piperacillin sodium / tazobactam 40 >> 100 mg/ml
Ενέσιμο Vancomycin hydrochloride 10 mg/ml
Χλωριούχο νάτριο 0,9% 2475
Άμεση βροχόπτωση Ασύμβατες
Ενέσιμο Piperacillin sodium / tazobactam
Ενέσιμο Vancomycin hydrochloride >8 mg/ml
Χλωριούχο νάτριο 0,9% 3841
Σύμφωνος
Ενέσιμο Piperacillin sodium / tazobactam 16 >> 100 mg/ml
Ενέσιμο Vancomycin hydrochloride 2 mg/ml
Χλωριούχο νάτριο 0,9% 2475
Σύμφωνος
Ενέσιμο Piperacillin sodium / tazobactam 16 >> 100 mg/ml
Ενέσιμο Vancomycin hydrochloride 5 mg/ml
Χλωριούχο νάτριο 0,9% 2475
Σύμφωνος
Ενέσιμο Piperacillin sodium / tazobactam 16 >> 30 mg/ml
Ενέσιμο Vancomycin hydrochloride 10 mg/ml
Χλωριούχο νάτριο 0,9% 2475
Σύμφωνος
Ενέσιμο Piperacillin sodium / tazobactam 30/3,75 mg/ml
Ενέσιμο Vancomycin hydrochloride 4 mg/ml
Χλωριούχο νάτριο 0,9% 3421
Σύμφωνος
Ενέσιμο Piperacillin sodium / tazobactam 40/5 mg/ml
Ενέσιμο Vancomycin hydrochloride 4 mg/ml
Χλωριούχο νάτριο 0,9% 3421
Σύμφωνος
Ενέσιμο Piperacillin sodium / tazobactam 33.75 >> 90 mg/ml
Ενέσιμο Vancomycin hydrochloride 4 >> 7 mg/ml
Χλωριούχο νάτριο 0,9% 3841
Άμεση βροχόπτωση Ασύμβατες
Ενέσιμο Piperacillin sodium / tazobactam 80 & 90 mg/ml
Ενέσιμο Vancomycin hydrochloride 8 mg/ml
Χλωριούχο νάτριο 0,9% 3841
Σύμφωνος
Ενέσιμο Piperacillin sodium / tazobactam 33.75 >> 67.5 mg/ml
Ενέσιμο Vancomycin hydrochloride 8 mg/ml
Χλωριούχο νάτριο 0,9% 3841
Άμεση θολότητα Ασύμβατες
Ενέσιμο Piperacillin sodium / tazobactam 40/5 mg/ml
Ενέσιμο Vancomycin hydrochloride 10 mg/ml
Γλυκόζη 5% 81
Απροσδιόριστη ασυμβατότητα Ασύμβατες
Ενέσιμο Piperacillin sodium / tazobactam 200 mg/ml
Ενέσιμο Vancomycin hydrochloride 10 mg/ml
Γλυκόζη 5% 3385
Άμεση βροχόπτωση Ασύμβατες
Ενέσιμο Piperacillin sodium / tazobactam 10/1.25 >> 200/25 mg/ml
Ενέσιμο Vancomycin hydrochloride 20 mg/ml
Γλυκόζη 5% 1674
Άμεση βροχόπτωση Ασύμβατες
Ενέσιμο Piperacillin sodium / tazobactam 80 >> 100 mg/ml
Ενέσιμο Vancomycin hydrochloride 4 mg/ml
Γλυκόζη 5% 2475
Άμεση βροχόπτωση Ασύμβατες
Ενέσιμο Piperacillin sodium / tazobactam 16 >> 100 mg/ml
Ενέσιμο Vancomycin hydrochloride 8 mg/ml
Γλυκόζη 5% 2475
Άμεση βροχόπτωση Ασύμβατες
Ενέσιμο Piperacillin sodium / tazobactam 28 mg/ml
Ενέσιμο Vancomycin hydrochloride 10 & 15 mg/ml
Γλυκόζη 5% 3984
Άμεση βροχόπτωση Ασύμβατες
Ενέσιμο Piperacillin sodium / tazobactam 67,5 mg/ml
Ενέσιμο Vancomycin hydrochloride 5 mg/ml
Γλυκόζη 5% 3960
Σύμφωνος
Ενέσιμο Piperacillin sodium / tazobactam 16 >> 40 mg/ml
Ενέσιμο Vancomycin hydrochloride 4 mg/ml
Γλυκόζη 5% 2475
Σύμφωνος
Ενέσιμο Piperacillin sodium / tazobactam 28 mg/ml
Ενέσιμο Vancomycin hydrochloride 5 mg/ml
Γλυκόζη 5% 3984
Σύμφωνος
Ενέσιμο Piperacillin sodium / tazobactam 1/0.125 >> 200/25 mg/ml
Ενέσιμο Vancomycin hydrochloride 2 mg/ml
Γλυκόζη 5% 1674
Σύμφωνος
Ενέσιμο Piperacillin sodium / tazobactam 1/0.125 mg/ml
Ενέσιμο Vancomycin hydrochloride 20 mg/ml
Γλυκόζη 5% 1674
Σύμφωνος
Ενέσιμο Piperacillin sodium / tazobactam 112.5 mg/ml
Ενέσιμο Vasopressin 0.2 UI/ml
Χλωριούχο νάτριο 0,9% 2017
Σύμφωνος
Ενέσιμο Piperacillin sodium / tazobactam 40/5 mg/ml
Ενέσιμο Vinblastine sulfate 0.12 mg/ml
Γλυκόζη 5% 81
Σύμφωνος
Ενέσιμο Piperacillin sodium / tazobactam 40/5 mg/ml
Ενέσιμο Vincristine sulfate 0.05 mg/ml
Γλυκόζη 5% 81
Σύμφωνος
Ενέσιμο Piperacillin sodium / tazobactam 40/5 mg/ml
Ενέσιμο Zidovudine 4 mg/ml
Γλυκόζη 5% 81
Σύμφωνος
Ενέσιμο Piperacillin sodium / tazobactam 40/5 mg/ml
Normosol® 4655

  Mentions Légales