Posledná aktualizácia :
18/03/2026
antibiotikum   Piperacillin sodium / tazobactam  
Injekcia
Stabilita roztokov Stabilita v zmesiach Faktory ovplyvňujúce stabilitu Kompatibility spôsob podania Odkazy na literatúru PDF
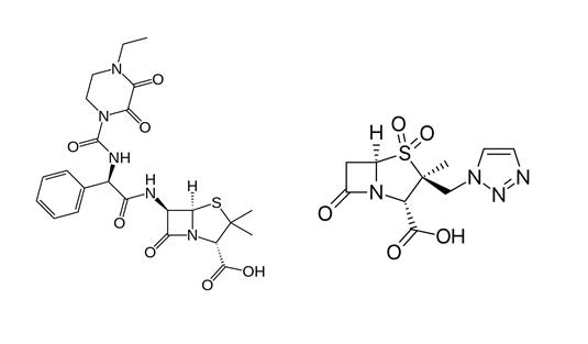
   Chemický vzorec  

Obchodný názov   Obchodný názov     

Obchodné názvy sú orientačné, a zloženie pomocných látok sa môže líšiť v závislosti od krajiny a výrobcu.

Bagotaz Argentína
Betampil Ekvádor
Bioval Čile
Petezam Argentína
Piperac Nemecko
Piperacillin tazobactam Belgicko, Kanada, Nemecko
Piperazam Brazília
Pipetazo Čile
Pipitaz Rakúsko
Pixamol Kolumbia
Tazobac Ekvádor, Portugalsko, Švajčiarsko, Taliansko
Tazocel Španielsko
Tazocilline Francúzsko
Tazocin Argentína, Austrália, Brazília, Chorvátsko, Dánsko, Egypt, Fínsko, Grécko, Holandsko, Juhoafrická republika, Kolumbia, Luxembursko, Maďarsko, Mexiko, Nórsko, nový Zéland, peru, Poľsko, Severné Írsko, Spojené arabské emiráty, Švédsko, Taliansko, Turecko, Veľká Británia
Tazonam Čile, Rakúsko
Tazopip Austrália
Tazpen Kolumbia, Mexiko
Tazrobida Kolumbia
Tigux Čile
Tratac Čile
Trital Ekvádor
Zosyn Japonsko, Spojené štáty Americké
Kompatibility   Injekcia   Kompatibility : Piperacillin sodium / tazobactam              
Toto okno zobrazuje kompatibility alebo inkombatibility, v prípade inkompatibility aj jej typ (vyzrážanie, zmena farby, zmena emulzie atď.). Tu vymenované kompatibility sú väčšinou len fyzikálne, chemická stabilita každej zo zlúčenín sa hodnotila len zriedkavo. Tieto zmesi sa skúmali za účelom možnosti súbežného podávania pacientovi cez infúznu spojku Y. Údaje sa nedajú použiť na prípravu zmesí vo vakoch alebo striekačkách. Taká informácia sa nachádza v okne „Stabilita v zmesiach“.
Zlúčenina rozpúšťadlo odkazy na lieteratúru
Zrážky po 1 hodine nezlučiteľný
Injekcia Piperacillin sodium / tazobactam 40/5 mg/ml
Injekcia Aciclovir sodium 7 mg/ml
5% glukóza 81
kompatibilný
Injekcia Piperacillin sodium / tazobactam 40/5 mg/ml
Parenterálna výživa (lipidy) 1415
kompatibilný
Injekcia Piperacillin sodium / tazobactam 200 mg/ml
Ringerov laktátový roztok 4603
kompatibilný
Injekcia Piperacillin sodium / tazobactam 80 mg/ml
Parenterálna výživa (lipidy) 3948
Chemická nestabilita nezlučiteľný
Injekcia Piperacillin sodium / tazobactam
Injekcia Amikacin sulfate
3586
kompatibilný
Injekcia Piperacillin sodium / tazobactam 200 mg/ml
Parenterálna výživa (lipidy) 4924
Zákal za 24 hodiny nezlučiteľný
Injekcia Piperacillin sodium / tazobactam 60 mg/ml
Injekcia Amiodarone hydrochloride 6 mg/ml
5% glukóza 1611
Okamžité zrážanie nezlučiteľný
Injekcia Piperacillin sodium / tazobactam 40/5 mg/ml
Injekcia Amphotericin B 0.6 mg/ml
5% glukóza 81
Okamžité zrážanie nezlučiteľný
Injekcia Piperacillin sodium / tazobactam 40/5 mg/ml
Injekcia Amphotericin B cholesteryl sulfate complex 0.83 mg/ml
5% glukóza 921
kompatibilný
Injekcia Piperacillin sodium / tazobactam 40/5 mg/ml
Injekcia Anidulafungin 0.5 mg/ml
5% glukóza 1982
kompatibilný
Injekcia Piperacillin sodium / tazobactam 40/5 mg/ml
Injekcia Aztreonam 40 mg/ml
5% glukóza 81
kompatibilný
Injekcia Piperacillin sodium / tazobactam 40/5 mg/ml
Injekcia Bivalirudin 5 mg/ml
5% glukóza 1713
kompatibilný
Injekcia Piperacillin sodium / tazobactam 40/5 mg/ml
Injekcia Bleomycin sulfate 1 mg/ml
5% glukóza 81
kompatibilný
Injekcia Piperacillin sodium / tazobactam 200 mg/ml
Injekcia Caffeine 10 mg/ml
Žiadny 3964
kompatibilný
Injekcia Piperacillin sodium / tazobactam 40/5 mg/ml
Injekcia Carboplatin 5 mg/ml
5% glukóza 81
kompatibilný
Injekcia Piperacillin sodium / tazobactam 40/5 mg/ml
Injekcia Carmustine 1.5 mg/ml
5% glukóza 81
kompatibilný
Injekcia Piperacillin sodium / tazobactam 40/5 mg/ml
Injekcia Ceftolozane / tazobactam 10/5 mg/ml
0,9% chlorid sodný 3828
Okamžitá zákal nezlučiteľný
Injekcia Piperacillin sodium / tazobactam 40/5 mg/ml
Injekcia Chlorpromazine hydrochloride 2 mg/ml
5% glukóza 81
kompatibilný
Injekcia Piperacillin sodium / tazobactam 40/5 mg/ml
Injekcia Cisatracurium besylate 0.1 & 2 mg/ml
5% glukóza 299
Zrážky po 1 hodine nezlučiteľný
Injekcia Piperacillin sodium / tazobactam 40/5 mg/ml
Injekcia Cisplatin 1 mg/ml
5% glukóza 81
kompatibilný
Injekcia Piperacillin sodium / tazobactam 40/5 mg/ml
Injekcia Clindamycin phosphate 10 mg/ml
5% glukóza 81
kompatibilný
Injekcia Piperacillin sodium / tazobactam 40/5 mg/ml
Injekcia Co-trimoxazole 0.8/4 mg/ml
5% glukóza 81
kompatibilný
Injekcia Piperacillin sodium / tazobactam 40/0.5 mg/ml
Injekcia Colistin mesilate sodium 1.5 mg/ml
0,9% chlorid sodný 3997
kompatibilný
Injekcia Piperacillin sodium / tazobactam 40/5 mg/ml
Injekcia Cyclophosphamide 10 mg/ml
5% glukóza 81
kompatibilný
Injekcia Piperacillin sodium / tazobactam 40/5 mg/ml
Injekcia Cytarabine 50 mg/ml
5% glukóza 81
Okamžité zrážanie nezlučiteľný
Injekcia Piperacillin sodium / tazobactam 40/5 mg/ml
Injekcia Dacarbazine 4 mg/ml
5% glukóza 81
Okamžitá zákal nezlučiteľný
Injekcia Piperacillin sodium / tazobactam 40/5 mg/ml
Injekcia Daunorubicin hydrochloride 1 mg/ml
5% glukóza 81
Okamžitá zákal nezlučiteľný
Injekcia Piperacillin sodium / tazobactam
Injekcia Daunorubicin/cytarabine liposomale 0,4 mg/mL
0,9% chlorid sodný 4654
Okamžitá zákal nezlučiteľný
Injekcia Piperacillin sodium / tazobactam 40/5 mg/ml
Injekcia Dobutamine hydrochloride 4 mg/ml
5% glukóza 81
kompatibilný
Injekcia Piperacillin sodium / tazobactam 40/5 mg/ml
Injekcia Docetaxel 0.9 mg/ml
5% glukóza 1754
Okamžitá zákal nezlučiteľný
Injekcia Piperacillin sodium / tazobactam 40/5 mg/ml
Injekcia Doxorubicin hydrochloride 2 mg/ml
5% glukóza 81
Okamžitá zákal nezlučiteľný
Injekcia Piperacillin sodium / tazobactam 40/5 mg/ml
Injekcia Doxycycline hyclate 1 mg/ml
5% glukóza 81
Okamžité zrážanie nezlučiteľný
Injekcia Piperacillin sodium / tazobactam 40/5 mg/ml
Injekcia Droperidol 0.4 mg/ml
5% glukóza 81
kompatibilný
Injekcia Piperacillin sodium / tazobactam 40/5 mg/ml
Injekcia Etoposide 0.4 mg/ml
5% glukóza 81
kompatibilný
Injekcia Piperacillin sodium / tazobactam 40/5 mg/ml
Injekcia Etoposide phosphate 5 mg/ml
0,9% chlorid sodný 1410
Okamžité zrážanie nezlučiteľný
Injekcia Piperacillin sodium / tazobactam 40/5 mg/ml
Injekcia Famotidine 2 mg/ml
5% glukóza 81
kompatibilný
Injekcia Piperacillin sodium / tazobactam 40/5 mg/ml
Injekcia Fenoldopam mesylate 80 µg/ml
0,9% chlorid sodný 1803
kompatibilný
Injekcia Piperacillin sodium / tazobactam 40/5 mg/ml
Injekcia Floxuridine 3 mg/ml
5% glukóza 81
kompatibilný
Injekcia Piperacillin sodium / tazobactam 40/5 mg/ml
Injekcia Fluconazole 2 mg/ml
5% glukóza 81
kompatibilný
Injekcia Piperacillin sodium / tazobactam 40/5 mg/ml
Injekcia Fludarabine phosphate 1 mg/ml
5% glukóza 81
kompatibilný
Injekcia Piperacillin sodium / tazobactam 40/5 mg/ml
Injekcia Fluorouracil 16 mg/ml
5% glukóza 81
kompatibilný
Injekcia Piperacillin sodium / tazobactam 40/5 mg/ml
Injekcia Fosfomycin 30 mg/ml
0,9% chlorid sodný 4055
Zrážky po 1 hodine nezlučiteľný
Injekcia Piperacillin sodium / tazobactam 40/5 mg/ml
Injekcia Ganciclovir sodium 20 mg/ml
5% glukóza 81
Chemická nestabilita nezlučiteľný
Injekcia Piperacillin sodium / tazobactam
Injekcia Gentamicin sulfate
3586
kompatibilný
Injekcia Piperacillin sodium / tazobactam 40/5 mg/ml
Injekcia Granisetron hydrochloride 0.05 mg/ml
5% glukóza 182
Okamžité zrážanie nezlučiteľný
Injekcia Piperacillin sodium / tazobactam 40/5 mg/ml
Injekcia Haloperidol lactate 0.2 mg/ml
5% glukóza 81
Nešpecifikovaná nekompatibilita nezlučiteľný
Injekcia Piperacillin sodium / tazobactam
Ringerov laktátový roztok 3586
Nešpecifikovaná nekompatibilita nezlučiteľný
Injekcia Piperacillin sodium / tazobactam
Injekcia Aciclovir sodium
3595
Chemická nestabilita nezlučiteľný
Injekcia Piperacillin sodium / tazobactam
Injekcia Amikacin sulfate
3549
kompatibilný
Injekcia Piperacillin sodium / tazobactam 40/5 mg/ml
Injekcia Aminophylline 2.5 mg/ml
5% glukóza 81
kompatibilný
Injekcia Piperacillin sodium / tazobactam 100 mg/ml
Injekcia Amoxicillin sodium / clavulanic acid 100/10 mg/ml
3824
Okamžité zrážanie nezlučiteľný
Injekcia Piperacillin sodium / tazobactam 112.5 mg/ml
Injekcia Azithromycine 2 mg/ml
0,9% chlorid sodný 1800
kompatibilný
Injekcia Piperacillin sodium / tazobactam 40/5 mg/ml
Injekcia Bumetanide 0.04 mg/ml
5% glukóza 81
kompatibilný
Injekcia Piperacillin sodium / tazobactam 40/5 mg/ml
Injekcia Buprenorphine hydrochloride 0.04 mg/ml
5% glukóza 81
kompatibilný
Injekcia Piperacillin sodium / tazobactam 40/5 mg/ml
Injekcia Butorphanol tartrate 0.04 mg/ml
5% glukóza 81
kompatibilný
Injekcia Piperacillin sodium / tazobactam 200 mg/ml
Injekcia Caffeine 10 mg/ml
voda na injekciu 4837
kompatibilný
Injekcia Piperacillin sodium / tazobactam 200 mg/ml
Injekcia Caffeine citrate 20 mg/ml
voda na injekciu 4837
kompatibilný
Injekcia Piperacillin sodium / tazobactam 40/5 mg/ml
Injekcia Calcium gluconate 40 mg/ml
5% glukóza 81
Okamžité zrážanie nezlučiteľný
Injekcia Piperacillin sodium / tazobactam 90 mg/ml
Injekcia Caspofungin acetate 0.5 mg/ml
0,9% chlorid sodný 2233
Okamžité zrážanie nezlučiteľný
Injekcia Piperacillin sodium / tazobactam 40/5 mg/ml
Injekcia Caspofungin acetate 0,7 mg/ml
0,9% chlorid sodný 2247
kompatibilný
Injekcia Piperacillin sodium / tazobactam 40/5 mg/ml
Injekcia Ceftolozane / tazobactam 10/5 mg/ml
5% glukóza 3828
kompatibilný
Injekcia Piperacillin sodium / tazobactam 40/5 mg/ml
Injekcia Cimetidine hydrochloride 12 mg/ml
5% glukóza 81
Nešpecifikovaná nekompatibilita nezlučiteľný
Injekcia Piperacillin sodium / tazobactam
Injekcia Ciprofloxacin lactate
3529
Zrážky po 4 hodinách nezlučiteľný
Injekcia Piperacillin sodium / tazobactam 40/5 mg/ml
Injekcia Cisatracurium besylate 5 mg/ml
5% glukóza 299
kompatibilný
Injekcia Piperacillin sodium / tazobactam 225 mg/ml
Injekcia Cloxacillin sodium 100 mg/ml
voda na injekciu 3012
Subvisuálna nezlučiteľnosť nezlučiteľný
Injekcia Piperacillin sodium / tazobactam
Injekcia Daunorubicin/cytarabine liposomale
4354
kompatibilný
Injekcia Piperacillin sodium / tazobactam 40/5 mg/ml
Injekcia Dexamethasone sodium phosphate 1 mg/ml
5% glukóza 81
kompatibilný
Injekcia Piperacillin sodium / tazobactam 40/5 mg/ml
Injekcia Dexmedetomidine 4 µg/ml
0,9% chlorid sodný 1712
kompatibilný
Injekcia Piperacillin sodium / tazobactam
Injekcia Dimenhydrinate
2087
kompatibilný
Injekcia Piperacillin sodium / tazobactam 40/5 mg/ml
Injekcia Diphenhydramine hydrochloride 2 mg/ml
5% glukóza 81
kompatibilný
Injekcia Piperacillin sodium / tazobactam 40/5 mg/ml
Injekcia Dopamine hydrochloride 3.2 mg/ml
5% glukóza 81
Strata zákalu nezlučiteľný
Injekcia Piperacillin sodium / tazobactam 40/5 mg/ml
Injekcia Doxorubicin hydrochloride liposome peg 0.4 mg/ml
5% glukóza 251
kompatibilný
Injekcia Piperacillin sodium / tazobactam 40/5 mg/ml
Injekcia Enalaprilate 0.1 mg/ml
5% glukóza 81
kompatibilný
Injekcia Piperacillin sodium / tazobactam 40/5 mg/ml
Injekcia Eravacycline 0,6 mg/ml
0,9% chlorid sodný 4434
Nešpecifikovaná nekompatibilita nezlučiteľný
Injekcia Piperacillin sodium / tazobactam
Injekcia Erythromycin lactobionate
3674
kompatibilný
Injekcia Piperacillin sodium / tazobactam 40/5 mg/ml
Injekcia Folinate calcium 2 mg/ml
5% glukóza 81
kompatibilný
Injekcia Piperacillin sodium / tazobactam 40/5 mg/ml
Injekcia Fosfomycin 30 mg/ml
5% glukóza 4055
kompatibilný
Injekcia Piperacillin sodium / tazobactam 40/5 mg/ml
Injekcia Furosemide 3 mg/ml
5% glukóza 81
kompatibilný
Injekcia Piperacillin sodium / tazobactam 40/5 mg/ml
Injekcia Gallium nitrate 0.4 mg/ml
5% glukóza 81
Okamžitá zákal nezlučiteľný
Injekcia Piperacillin sodium / tazobactam 40/5 mg/ml
Injekcia Gemcitabine hydrochloride 10 mg/ml
0,9% chlorid sodný 1423
Nešpecifikovaná nekompatibilita nezlučiteľný
Injekcia Piperacillin sodium / tazobactam
Injekcia Gentamicin sulfate
3520
Nešpecifikovaná nekompatibilita nezlučiteľný
Injekcia Piperacillin sodium / tazobactam
Injekcia Gentamicin sulfate
3643
kompatibilný
Injekcia Piperacillin sodium / tazobactam 0.5/0.0625 mg/ml
Injekcia Heparin sodium 0.5 UI/ml
Dianéal® 1.5% glucose (Baxter) 4180
kompatibilný
Injekcia Piperacillin sodium / tazobactam 0.5/0.0625 mg/ml
Injekcia Heparin sodium 0.5 UI/ml
Extraneal® (Baxter) 4180
kompatibilný
Injekcia Piperacillin sodium / tazobactam 1.38/0.1725 mg/ml
Injekcia Heparin sodium 1.4 UI/ml
Physionéal® 2.27 (Baxter) 4180
kompatibilný
Injekcia Piperacillin sodium / tazobactam 0.5/0.0625 mg/ml
Injekcia Heparin sodium 0.5 UI/ml
Dianéal® 4.25% glucose (Baxter) 4180
kompatibilný
Injekcia Piperacillin sodium / tazobactam 1.38/0.1725 mg/ml
Injekcia Heparin sodium 1.4 UI/ml
Physionéal® 3.86 (Baxter) 4180
kompatibilný
Injekcia Piperacillin sodium / tazobactam 1.38/0.1725 mg/ml
Injekcia Heparin sodium 1.4 UI/ml
Physionéal® 1.36 (Baxter) 4180
kompatibilný
Injekcia Piperacillin sodium / tazobactam 0.5/0.0625 mg/ml
Injekcia Heparin sodium 0.5 UI/ml
Dianéal® 2.5% glucose (Baxter) 4180
kompatibilný
Injekcia Piperacillin sodium / tazobactam 40/5 mg/ml
Injekcia Heparin sodium 100 UI/ml
5% glukóza 81
kompatibilný
Injekcia Piperacillin sodium / tazobactam 40/5 mg/ml
Injekcia Hetastarch 60 mg/ml
Špeciálne rozpúšťadlá 1721
kompatibilný
Injekcia Piperacillin sodium / tazobactam 40/5 mg/ml
Injekcia Hydrocortisone sodium succinate 1 mg/ml
5% glukóza 81
kompatibilný
Injekcia Piperacillin sodium / tazobactam 40/5 mg/ml
Injekcia Hydromorphone hydrochloride 0.5 mg/ml
5% glukóza 81
Okamžité zrážanie nezlučiteľný
Injekcia Piperacillin sodium / tazobactam 40/5 mg/ml
Injekcia Hydroxyzine dihydrochloride 4 mg/ml
5% glukóza 81
Okamžitá zákal nezlučiteľný
Injekcia Piperacillin sodium / tazobactam 40/5 mg/ml
Injekcia Idarubicin hydrochloride 0.5 mg/ml
5% glukóza 81
kompatibilný
Injekcia Piperacillin sodium / tazobactam 40/5 mg/ml
Injekcia Ifosfamide 25 mg/ml
5% glukóza 81
kompatibilný
Injekcia Piperacillin sodium / tazobactam 166/20.83 mg/ml
Injekcia Insulin 1 UI/ml
0,9% chlorid sodný 4254
kompatibilný
Injekcia Piperacillin sodium / tazobactam 45 mg/ml
Injekcia Insulin aspart 1 UI/ml
0,9% chlorid sodný 1508
kompatibilný
Injekcia Piperacillin sodium / tazobactam 45 mg/ml
Injekcia Insulin aspart 1 UI/ml
5% glukóza 1508
kompatibilný
Injekcia Piperacillin sodium / tazobactam 40/5 mg/ml
Injekcia Isavuconazonium sulfate 1.5 mg/ml
0,9% chlorid sodný 3829
kompatibilný
Injekcia Piperacillin sodium / tazobactam 40/5 mg/ml
Injekcia Lansoprazole 0.55 mg/ml
0,9% chlorid sodný 1625
kompatibilný
Injekcia Piperacillin sodium / tazobactam 166/20.83 mg/ml
Injekcia Levetiracetam 20.83 mg/ml
5% glukóza 4254
kompatibilný
Injekcia Piperacillin sodium / tazobactam 166/20.83 mg/ml
Injekcia Levetiracetam 20.83 mg/ml
0,9% chlorid sodný 4254
kompatibilný
Injekcia Piperacillin sodium / tazobactam 80 mg/ml
parenterálna výživa (binárna zmes) 3948
kompatibilný
Injekcia Piperacillin sodium / tazobactam 166/20.83 mg/ml
Injekcia Insulin 1 UI/ml
5% glukóza 4254
kompatibilný
Injekcia Piperacillin sodium / tazobactam 33,75 mg/ml
Injekcia Levetiracetam 5 mg/ml
0,9% chlorid sodný 4569
kompatibilný
Injekcia Piperacillin sodium / tazobactam 40/5 mg/ml
parenterálna výživa (binárna zmes) 301
Okamžitá zákal nezlučiteľný
Injekcia Piperacillin sodium / tazobactam 40/5 mg/ml
Injekcia Isavuconazonium sulfate 1.5 mg/ml
5% glukóza 3829
Nešpecifikovaná nekompatibilita nezlučiteľný
Injekcia Piperacillin sodium / tazobactam
NaHCO3 3586
Chemická nestabilita nezlučiteľný
Injekcia Piperacillin sodium / tazobactam
Injekcia Kanamycin sulfate
3586
kompatibilný
Injekcia Piperacillin sodium / tazobactam 200 mg/ml
Injekcia Ketamine hydrochloride 50 mg/ml
2109
Subvisuálna nezlučiteľnosť nezlučiteľný
Injekcia Piperacillin sodium / tazobactam 45 mg/ml
Injekcia Levetiracetam 5 mg/ml
0,9% chlorid sodný 4569
kompatibilný
Injekcia Piperacillin sodium / tazobactam 125 mg/ml
Injekcia Linezolid 2 mg/ml
4928
kompatibilný
Injekcia Piperacillin sodium / tazobactam 40/5 mg/ml
Injekcia Linezolid 2 mg/ml
Žiadny 1925
kompatibilný
Injekcia Piperacillin sodium / tazobactam 40/5 mg/ml
Injekcia Lorazepam 0.1 mg/ml
5% glukóza 81
kompatibilný
Injekcia Piperacillin sodium / tazobactam 40/5 mg/ml
Injekcia Magnesium sulfate 100 mg/ml
5% glukóza 81
kompatibilný
Injekcia Piperacillin sodium / tazobactam 40/5 mg/ml
Injekcia Mannitol 150 mg/ml
5% glukóza 81
kompatibilný
Injekcia Piperacillin sodium / tazobactam 200 mg/ml
Injekcia Meropenem 50 mg/ml
voda na injekciu 4319
kompatibilný
Injekcia Piperacillin sodium / tazobactam 40/5 mg/ml
Injekcia Mesna 10 mg/ml
5% glukóza 81
kompatibilný
Injekcia Piperacillin sodium / tazobactam 40/5 mg/ml
Injekcia Methotrexate sodium 15 mg/ml
5% glukóza 81
kompatibilný
Injekcia Piperacillin sodium / tazobactam 40/5 mg/ml
Injekcia Methylprednisolone sodium succinate 5 mg/ml
5% glukóza 81
kompatibilný
Injekcia Piperacillin sodium / tazobactam 40/5 mg/ml
Injekcia Metoclopramide hydrochloride 5 mg/ml
5% glukóza 81
kompatibilný
Injekcia Piperacillin sodium / tazobactam 40/5 mg/ml
Injekcia Metronidazole 5 mg/ml
5% glukóza 81
Okamžité zrážanie nezlučiteľný
Injekcia Piperacillin sodium / tazobactam 40/5 mg/ml
Injekcia Minocycline hydrochloride 1 mg/ml
5% glukóza 81
Zmena farby po 4 hodinách nezlučiteľný
Injekcia Piperacillin sodium / tazobactam 40/5 mg/ml
Injekcia Mitomycin 0.5 mg/ml
5% glukóza 81
Okamžité zrážanie nezlučiteľný
Injekcia Piperacillin sodium / tazobactam 40/5 mg/ml
Injekcia Mitoxantrone dihydrochloride 0.5 mg/ml
5% glukóza 81
kompatibilný
Injekcia Piperacillin sodium / tazobactam 40/5 mg/ml
Injekcia Morphine sulfate 1 mg/ml
5% glukóza 81
kompatibilný
Injekcia Piperacillin sodium / tazobactam
Injekcia N-acetylcysteine 200 mg/ml
Žiadny 3766
Okamžitá zákal nezlučiteľný
Injekcia Piperacillin sodium / tazobactam 40/5 mg/ml
Injekcia Nalbuphine hydrochloride 10 mg/ml
5% glukóza 81
kompatibilný
Injekcia Piperacillin sodium / tazobactam 200 mg/ml
Injekcia Naloxone hydrochloride 0.4 mg/ml
Žiadny 3408
Chemická nestabilita nezlučiteľný
Injekcia Piperacillin sodium / tazobactam
Injekcia Netilmicin sulfate
3586
kompatibilný
Injekcia Piperacillin sodium / tazobactam 20/2,5 & 40/5 mg/ml
Injekcia Ondansetron hydrochloride 0,015 >> 0,15 mg/ml
0,9% chlorid sodný 16
kompatibilný
Injekcia Piperacillin sodium / tazobactam 40/5 mg/ml
Injekcia Ondansetron hydrochloride 0.1 mg/ml
5% glukóza 81
kompatibilný
Injekcia Piperacillin sodium / tazobactam 200/25 mg/ml
Injekcia Oxycodone hydrochloride 1 mg/ml
0,9% chlorid sodný 4842
Zrážky po 1 hodine nezlučiteľný
Injekcia Piperacillin sodium / tazobactam
Injekcia Pantoprazole sodium
2090
kompatibilný
Injekcia Piperacillin sodium / tazobactam 100 mg/ml
Injekcia Paracetamol 10 mg/ml
Žiadny 3571
kompatibilný
Injekcia Piperacillin sodium / tazobactam 100 mg/ml
Injekcia Paracetamol 10 mg/ml
4742
kompatibilný
Injekcia Piperacillin sodium / tazobactam 200 mg/ml
Injekcia Pentoxifyllin 5 mg/ml
0,9% chlorid sodný 4538
kompatibilný
Injekcia Piperacillin sodium / tazobactam 40/5 mg/ml
Injekcia Pethidine hydrochloride 4 mg/ml
5% glukóza 81
Chemická nestabilita nezlučiteľný
Injekcia Piperacillin sodium / tazobactam
Injekcia Plazomicin sulfate
3586
kompatibilný
Injekcia Piperacillin sodium / tazobactam 40/5 mg/ml
Injekcia Plazomicin sulfate 24 mg/ml
0,9% chlorid sodný 4145
Okamžité zrážanie nezlučiteľný
Injekcia Piperacillin sodium / tazobactam 160 mg/ml
Injekcia Posaconazole 1,2 mg/ml
0,9% chlorid sodný 4521
kompatibilný
Injekcia Piperacillin sodium / tazobactam 40/5 mg/ml
Injekcia Potassium chloride 100 mEq/l
5% glukóza 81
Okamžitá zákal nezlučiteľný
Injekcia Piperacillin sodium / tazobactam 40/5 mg/ml
Injekcia Prochlorperazine edysilate 0.5 mg/ml
5% glukóza 81
Okamžitá zákal nezlučiteľný
Injekcia Piperacillin sodium / tazobactam 40/5 mg/ml
Injekcia Promethazine hydrochloride 2 mg/ml
5% glukóza 81
kompatibilný
Injekcia Piperacillin sodium / tazobactam 40/5 mg/ml
Injekcia Ranitidine hydrochloride 2 mg/ml
5% glukóza 81
kompatibilný
Injekcia Piperacillin sodium / tazobactam 40/5 mg/ml
Injekcia Remifentanil hydrochloride 25 & 250 µg/ml
0,9% chlorid sodný 59
Okamžité zrážanie nezlučiteľný
Injekcia Piperacillin sodium / tazobactam 200 mg/ml
Injekcia Salbutamol sulfate 1 mg/ml
Žiadny 3216
kompatibilný
Injekcia Piperacillin sodium / tazobactam 40/5 mg/ml
Injekcia Sargramostim 10 µg/ml
5% glukóza 81
kompatibilný
Injekcia Piperacillin sodium / tazobactam 200 mg/ml
Injekcia Sildenafil citrate 0,6 mg/ml
5% glukóza 4845
Nešpecifikovaná nekompatibilita nezlučiteľný
Injekcia Piperacillin sodium / tazobactam
Injekcia Sodium bicarbonate
3586
kompatibilný
Injekcia Piperacillin sodium / tazobactam 40/5 mg/ml
Injekcia Sodium bicarbonate 84 mg/ml
5% glukóza 81
Chemická nestabilita nezlučiteľný
Injekcia Piperacillin sodium / tazobactam
Injekcia Streptomycin sulfate
3586
Zrážky po 1 hodine nezlučiteľný
Injekcia Piperacillin sodium / tazobactam 40/5 mg/ml
Injekcia Streptozocin 40 mg/ml
5% glukóza 81
kompatibilný
Injekcia Piperacillin sodium / tazobactam 40/5 mg/ml
Injekcia Sulbactam/durlobactam 15/15 mg/ml
0,9% chlorid sodný 4801
kompatibilný
Injekcia Piperacillin sodium / tazobactam 40/5 mg/ml
Injekcia Tedizolid phosphate 0.8 mg/ml
0,9% chlorid sodný 3827
kompatibilný
Injekcia Piperacillin sodium / tazobactam 40/5 mg/ml
Injekcia Telavancin hydrochloride 7.5 mg/ml
5% glukóza 3254
kompatibilný
Injekcia Piperacillin sodium / tazobactam 40/5 mg/ml
Injekcia Telavancin hydrochloride 7.5 mg/ml
0,9% chlorid sodný 3254
kompatibilný
Injekcia Piperacillin sodium / tazobactam 40/5 mg/ml
Injekcia Telavancin hydrochloride 7.5 mg/ml
Ringerov laktátový roztok 3254
Chemická nestabilita nezlučiteľný
Injekcia Piperacillin sodium / tazobactam 200 mg/ml
Injekcia Temocilline 83.33 mg/ml
voda na injekciu 2231
Nešpecifikovaná nekompatibilita nezlučiteľný
Injekcia Piperacillin sodium / tazobactam
Injekcia Temocilline
4470
kompatibilný
Injekcia Piperacillin sodium / tazobactam 166/20.83 mg/ml
Injekcia Thiamine hydrochloride 0.4 mg/ml
5% glukóza 4254
Okamžité zrážanie nezlučiteľný
Injekcia Piperacillin sodium / tazobactam 200 mg/ml
Injekcia Thiopental sodium 25 mg/ml
0,9% chlorid sodný 3767
kompatibilný
Injekcia Piperacillin sodium / tazobactam 40/5 mg/ml
Injekcia Thiotepa 1 mg/ml
5% glukóza 81
kompatibilný
Injekcia Piperacillin sodium / tazobactam
Injekcia Tigecycline
0,9% chlorid sodný 3332
Chemická nestabilita nezlučiteľný
Injekcia Piperacillin sodium / tazobactam
Injekcia Tobramycin sulfate
3586
Okamžité zrážanie nezlučiteľný
Injekcia Piperacillin sodium / tazobactam 112,5 mg/ml
Injekcia Vancomycin hydrochloride 10 mg/ml
5% glukóza 3428
kompatibilný
Injekcia Piperacillin sodium / tazobactam
5% glukóza 3586
kompatibilný
Injekcia Piperacillin sodium / tazobactam
0,9% chlorid sodný 5069
Okamžité zrážanie nezlučiteľný
Injekcia Piperacillin sodium / tazobactam 100/12,5 mg/ml
Injekcia Vancomycin hydrochloride 10 mg/ml
3365
Okamžité zrážanie nezlučiteľný
Injekcia Piperacillin sodium / tazobactam 40 >> 100 mg/ml
Injekcia Vancomycin hydrochloride 10 mg/ml
0,9% chlorid sodný 2475
Okamžité zrážanie nezlučiteľný
Injekcia Piperacillin sodium / tazobactam
Injekcia Vancomycin hydrochloride >8 mg/ml
0,9% chlorid sodný 3841
kompatibilný
Injekcia Piperacillin sodium / tazobactam 16 >> 100 mg/ml
Injekcia Vancomycin hydrochloride 2 mg/ml
0,9% chlorid sodný 2475
kompatibilný
Injekcia Piperacillin sodium / tazobactam 16 >> 100 mg/ml
Injekcia Vancomycin hydrochloride 5 mg/ml
0,9% chlorid sodný 2475
kompatibilný
Injekcia Piperacillin sodium / tazobactam 16 >> 30 mg/ml
Injekcia Vancomycin hydrochloride 10 mg/ml
0,9% chlorid sodný 2475
kompatibilný
Injekcia Piperacillin sodium / tazobactam 30/3,75 mg/ml
Injekcia Vancomycin hydrochloride 4 mg/ml
0,9% chlorid sodný 3421
kompatibilný
Injekcia Piperacillin sodium / tazobactam 40/5 mg/ml
Injekcia Vancomycin hydrochloride 4 mg/ml
0,9% chlorid sodný 3421
kompatibilný
Injekcia Piperacillin sodium / tazobactam 33.75 >> 90 mg/ml
Injekcia Vancomycin hydrochloride 4 >> 7 mg/ml
0,9% chlorid sodný 3841
Okamžité zrážanie nezlučiteľný
Injekcia Piperacillin sodium / tazobactam 80 & 90 mg/ml
Injekcia Vancomycin hydrochloride 8 mg/ml
0,9% chlorid sodný 3841
kompatibilný
Injekcia Piperacillin sodium / tazobactam 33.75 >> 67.5 mg/ml
Injekcia Vancomycin hydrochloride 8 mg/ml
0,9% chlorid sodný 3841
Okamžitá zákal nezlučiteľný
Injekcia Piperacillin sodium / tazobactam 40/5 mg/ml
Injekcia Vancomycin hydrochloride 10 mg/ml
5% glukóza 81
Nešpecifikovaná nekompatibilita nezlučiteľný
Injekcia Piperacillin sodium / tazobactam 200 mg/ml
Injekcia Vancomycin hydrochloride 10 mg/ml
5% glukóza 3385
Okamžité zrážanie nezlučiteľný
Injekcia Piperacillin sodium / tazobactam 10/1.25 >> 200/25 mg/ml
Injekcia Vancomycin hydrochloride 20 mg/ml
5% glukóza 1674
Okamžité zrážanie nezlučiteľný
Injekcia Piperacillin sodium / tazobactam 80 >> 100 mg/ml
Injekcia Vancomycin hydrochloride 4 mg/ml
5% glukóza 2475
Okamžité zrážanie nezlučiteľný
Injekcia Piperacillin sodium / tazobactam 16 >> 100 mg/ml
Injekcia Vancomycin hydrochloride 8 mg/ml
5% glukóza 2475
Okamžité zrážanie nezlučiteľný
Injekcia Piperacillin sodium / tazobactam 28 mg/ml
Injekcia Vancomycin hydrochloride 10 & 15 mg/ml
5% glukóza 3984
Okamžité zrážanie nezlučiteľný
Injekcia Piperacillin sodium / tazobactam 67,5 mg/ml
Injekcia Vancomycin hydrochloride 5 mg/ml
5% glukóza 3960
kompatibilný
Injekcia Piperacillin sodium / tazobactam 16 >> 40 mg/ml
Injekcia Vancomycin hydrochloride 4 mg/ml
5% glukóza 2475
kompatibilný
Injekcia Piperacillin sodium / tazobactam 28 mg/ml
Injekcia Vancomycin hydrochloride 5 mg/ml
5% glukóza 3984
kompatibilný
Injekcia Piperacillin sodium / tazobactam 1/0.125 >> 200/25 mg/ml
Injekcia Vancomycin hydrochloride 2 mg/ml
5% glukóza 1674
kompatibilný
Injekcia Piperacillin sodium / tazobactam 1/0.125 mg/ml
Injekcia Vancomycin hydrochloride 20 mg/ml
5% glukóza 1674
kompatibilný
Injekcia Piperacillin sodium / tazobactam 112.5 mg/ml
Injekcia Vasopressin 0.2 UI/ml
0,9% chlorid sodný 2017
kompatibilný
Injekcia Piperacillin sodium / tazobactam 40/5 mg/ml
Injekcia Vinblastine sulfate 0.12 mg/ml
5% glukóza 81
kompatibilný
Injekcia Piperacillin sodium / tazobactam 40/5 mg/ml
Injekcia Vincristine sulfate 0.05 mg/ml
5% glukóza 81
kompatibilný
Injekcia Piperacillin sodium / tazobactam 40/5 mg/ml
Injekcia Zidovudine 4 mg/ml
5% glukóza 81
kompatibilný
Injekcia Piperacillin sodium / tazobactam 40/5 mg/ml
Normosol® 4655

  Mentions Légales