Последнее обновление :
18/03/2026
Антибиотик   Piperacillin sodium / tazobactam  
Инъекция
Стабильность растворов Стабильность смесей Факторы, которые влияют на стабильность Совместимость Способы введения Библиография pdf
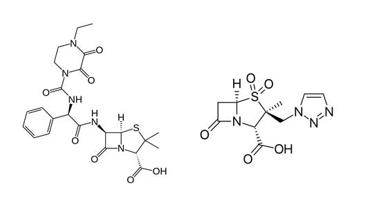
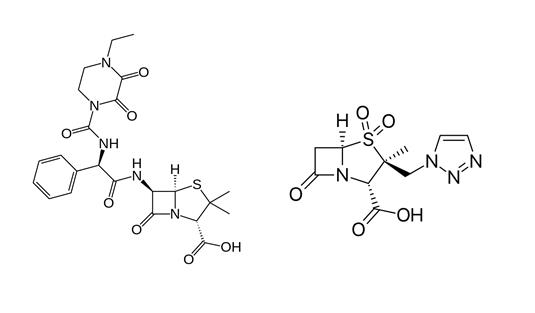
   Химическая структура  

Товарное название   Товарное название     

Trade names are indicative and excipients composition can be different depending on the country and manufacturers

Bagotaz Аргентина
Betampil Эквадор
Bioval чили
Petezam Аргентина
Piperac Германия
Piperacillin tazobactam Бельгия, Германия, Канада
Piperazam Бразилия
Pipetazo чили
Pipitaz Австрия
Pixamol Колумбия
Tazobac Италия, Португалия, Швейцария, Эквадор
Tazocel Испания
Tazocilline Франция
Tazocin Австралия, Аргентина, Бразилия, Великобритания, Венгрия, Голландия, Греция, Дания, Египет, Италия, Колумбия, Люксембург, Мексика, новая Зеландия, Норвегия, Объединенные Арабские Эмираты, Перу, Польша, Северной Ирландии, Турция, Финляндия, Хорватия, Швеция, Южно-Африканская Республика
Tazonam Австрия, чили
Tazopip Австралия
Tazpen Колумбия, Мексика
Tazrobida Колумбия
Tigux чили
Tratac чили
Trital Эквадор
Zosyn Соединённые Штаты Америки, Япония
Совместимость   Инъекция   Совместимость : Piperacillin sodium / tazobactam              
Эта таблица показывает совместимость или несовместимость препаратов, по возможности тип несовместимости (преципитат, смена цвета, разложение эмульсии и др.). Показанные здесь совместимости в основном физические, по возможности указана и химическая стабильность каждой молекулы. Анализ этих смесей произведён для исследования возможности ввести препараты пациенту в Y-соединении систем. Эти данные нельзя использовать, чтобы приготовить лекарства на будущее в мешках или шприцах. Эта информация доступна в разделе "Стабильность смесей".
Молекула Растворитель Ссылки
Осадки через 1 час несовместимый
Инъекция Piperacillin sodium / tazobactam 40/5 mg/ml
Инъекция Aciclovir sodium 7 mg/ml
Глюкоза 5% 81
совместимый
Инъекция Piperacillin sodium / tazobactam 40/5 mg/ml
Парентеральное питание (с липидами) 1415
совместимый
Инъекция Piperacillin sodium / tazobactam 200 mg/ml
Раствор Рингера лактата 4603
совместимый
Инъекция Piperacillin sodium / tazobactam 80 mg/ml
Парентеральное питание (с липидами) 3948
Химическая нестабильность несовместимый
Инъекция Piperacillin sodium / tazobactam
Инъекция Amikacin sulfate
3586
совместимый
Инъекция Piperacillin sodium / tazobactam 200 mg/ml
Парентеральное питание (с липидами) 4924
Мутность за 24 часа несовместимый
Инъекция Piperacillin sodium / tazobactam 60 mg/ml
Инъекция Amiodarone hydrochloride 6 mg/ml
Глюкоза 5% 1611
Немедленные осадки несовместимый
Инъекция Piperacillin sodium / tazobactam 40/5 mg/ml
Инъекция Amphotericin B 0.6 mg/ml
Глюкоза 5% 81
Немедленные осадки несовместимый
Инъекция Piperacillin sodium / tazobactam 40/5 mg/ml
Инъекция Amphotericin B cholesteryl sulfate complex 0.83 mg/ml
Глюкоза 5% 921
совместимый
Инъекция Piperacillin sodium / tazobactam 40/5 mg/ml
Инъекция Anidulafungin 0.5 mg/ml
Глюкоза 5% 1982
совместимый
Инъекция Piperacillin sodium / tazobactam 40/5 mg/ml
Инъекция Aztreonam 40 mg/ml
Глюкоза 5% 81
совместимый
Инъекция Piperacillin sodium / tazobactam 40/5 mg/ml
Инъекция Bivalirudin 5 mg/ml
Глюкоза 5% 1713
совместимый
Инъекция Piperacillin sodium / tazobactam 40/5 mg/ml
Инъекция Bleomycin sulfate 1 mg/ml
Глюкоза 5% 81
совместимый
Инъекция Piperacillin sodium / tazobactam 200 mg/ml
Инъекция Caffeine 10 mg/ml
Нет 3964
совместимый
Инъекция Piperacillin sodium / tazobactam 40/5 mg/ml
Инъекция Carboplatin 5 mg/ml
Глюкоза 5% 81
совместимый
Инъекция Piperacillin sodium / tazobactam 40/5 mg/ml
Инъекция Carmustine 1.5 mg/ml
Глюкоза 5% 81
совместимый
Инъекция Piperacillin sodium / tazobactam 40/5 mg/ml
Инъекция Ceftolozane / tazobactam 10/5 mg/ml
Натрия хлорид 0,9% 3828
Немедленная мутность несовместимый
Инъекция Piperacillin sodium / tazobactam 40/5 mg/ml
Инъекция Chlorpromazine hydrochloride 2 mg/ml
Глюкоза 5% 81
совместимый
Инъекция Piperacillin sodium / tazobactam 40/5 mg/ml
Инъекция Cisatracurium besylate 0.1 & 2 mg/ml
Глюкоза 5% 299
Осадки через 1 час несовместимый
Инъекция Piperacillin sodium / tazobactam 40/5 mg/ml
Инъекция Cisplatin 1 mg/ml
Глюкоза 5% 81
совместимый
Инъекция Piperacillin sodium / tazobactam 40/5 mg/ml
Инъекция Clindamycin phosphate 10 mg/ml
Глюкоза 5% 81
совместимый
Инъекция Piperacillin sodium / tazobactam 40/5 mg/ml
Инъекция Co-trimoxazole 0.8/4 mg/ml
Глюкоза 5% 81
совместимый
Инъекция Piperacillin sodium / tazobactam 40/0.5 mg/ml
Инъекция Colistin mesilate sodium 1.5 mg/ml
Натрия хлорид 0,9% 3997
совместимый
Инъекция Piperacillin sodium / tazobactam 40/5 mg/ml
Инъекция Cyclophosphamide 10 mg/ml
Глюкоза 5% 81
совместимый
Инъекция Piperacillin sodium / tazobactam 40/5 mg/ml
Инъекция Cytarabine 50 mg/ml
Глюкоза 5% 81
Немедленные осадки несовместимый
Инъекция Piperacillin sodium / tazobactam 40/5 mg/ml
Инъекция Dacarbazine 4 mg/ml
Глюкоза 5% 81
Немедленная мутность несовместимый
Инъекция Piperacillin sodium / tazobactam 40/5 mg/ml
Инъекция Daunorubicin hydrochloride 1 mg/ml
Глюкоза 5% 81
Немедленная мутность несовместимый
Инъекция Piperacillin sodium / tazobactam
Инъекция Daunorubicin/cytarabine liposomale 0,4 mg/mL
Натрия хлорид 0,9% 4654
Немедленная мутность несовместимый
Инъекция Piperacillin sodium / tazobactam 40/5 mg/ml
Инъекция Dobutamine hydrochloride 4 mg/ml
Глюкоза 5% 81
совместимый
Инъекция Piperacillin sodium / tazobactam 40/5 mg/ml
Инъекция Docetaxel 0.9 mg/ml
Глюкоза 5% 1754
Немедленная мутность несовместимый
Инъекция Piperacillin sodium / tazobactam 40/5 mg/ml
Инъекция Doxorubicin hydrochloride 2 mg/ml
Глюкоза 5% 81
Немедленная мутность несовместимый
Инъекция Piperacillin sodium / tazobactam 40/5 mg/ml
Инъекция Doxycycline hyclate 1 mg/ml
Глюкоза 5% 81
Немедленные осадки несовместимый
Инъекция Piperacillin sodium / tazobactam 40/5 mg/ml
Инъекция Droperidol 0.4 mg/ml
Глюкоза 5% 81
совместимый
Инъекция Piperacillin sodium / tazobactam 40/5 mg/ml
Инъекция Etoposide 0.4 mg/ml
Глюкоза 5% 81
совместимый
Инъекция Piperacillin sodium / tazobactam 40/5 mg/ml
Инъекция Etoposide phosphate 5 mg/ml
Натрия хлорид 0,9% 1410
Немедленные осадки несовместимый
Инъекция Piperacillin sodium / tazobactam 40/5 mg/ml
Инъекция Famotidine 2 mg/ml
Глюкоза 5% 81
совместимый
Инъекция Piperacillin sodium / tazobactam 40/5 mg/ml
Инъекция Fenoldopam mesylate 80 µg/ml
Натрия хлорид 0,9% 1803
совместимый
Инъекция Piperacillin sodium / tazobactam 40/5 mg/ml
Инъекция Floxuridine 3 mg/ml
Глюкоза 5% 81
совместимый
Инъекция Piperacillin sodium / tazobactam 40/5 mg/ml
Инъекция Fluconazole 2 mg/ml
Глюкоза 5% 81
совместимый
Инъекция Piperacillin sodium / tazobactam 40/5 mg/ml
Инъекция Fludarabine phosphate 1 mg/ml
Глюкоза 5% 81
совместимый
Инъекция Piperacillin sodium / tazobactam 40/5 mg/ml
Инъекция Fluorouracil 16 mg/ml
Глюкоза 5% 81
совместимый
Инъекция Piperacillin sodium / tazobactam 40/5 mg/ml
Инъекция Fosfomycin 30 mg/ml
Натрия хлорид 0,9% 4055
Осадки через 1 час несовместимый
Инъекция Piperacillin sodium / tazobactam 40/5 mg/ml
Инъекция Ganciclovir sodium 20 mg/ml
Глюкоза 5% 81
Химическая нестабильность несовместимый
Инъекция Piperacillin sodium / tazobactam
Инъекция Gentamicin sulfate
3586
совместимый
Инъекция Piperacillin sodium / tazobactam 40/5 mg/ml
Инъекция Granisetron hydrochloride 0.05 mg/ml
Глюкоза 5% 182
Немедленные осадки несовместимый
Инъекция Piperacillin sodium / tazobactam 40/5 mg/ml
Инъекция Haloperidol lactate 0.2 mg/ml
Глюкоза 5% 81
Неопределенная несовместимость несовместимый
Инъекция Piperacillin sodium / tazobactam
Раствор Рингера лактата 3586
Неопределенная несовместимость несовместимый
Инъекция Piperacillin sodium / tazobactam
Инъекция Aciclovir sodium
3595
Химическая нестабильность несовместимый
Инъекция Piperacillin sodium / tazobactam
Инъекция Amikacin sulfate
3549
совместимый
Инъекция Piperacillin sodium / tazobactam 40/5 mg/ml
Инъекция Aminophylline 2.5 mg/ml
Глюкоза 5% 81
совместимый
Инъекция Piperacillin sodium / tazobactam 100 mg/ml
Инъекция Amoxicillin sodium / clavulanic acid 100/10 mg/ml
3824
Немедленные осадки несовместимый
Инъекция Piperacillin sodium / tazobactam 112.5 mg/ml
Инъекция Azithromycine 2 mg/ml
Натрия хлорид 0,9% 1800
совместимый
Инъекция Piperacillin sodium / tazobactam 40/5 mg/ml
Инъекция Bumetanide 0.04 mg/ml
Глюкоза 5% 81
совместимый
Инъекция Piperacillin sodium / tazobactam 40/5 mg/ml
Инъекция Buprenorphine hydrochloride 0.04 mg/ml
Глюкоза 5% 81
совместимый
Инъекция Piperacillin sodium / tazobactam 40/5 mg/ml
Инъекция Butorphanol tartrate 0.04 mg/ml
Глюкоза 5% 81
совместимый
Инъекция Piperacillin sodium / tazobactam 200 mg/ml
Инъекция Caffeine 10 mg/ml
Вода для инъекций 4837
совместимый
Инъекция Piperacillin sodium / tazobactam 200 mg/ml
Инъекция Caffeine citrate 20 mg/ml
Вода для инъекций 4837
совместимый
Инъекция Piperacillin sodium / tazobactam 40/5 mg/ml
Инъекция Calcium gluconate 40 mg/ml
Глюкоза 5% 81
Немедленные осадки несовместимый
Инъекция Piperacillin sodium / tazobactam 90 mg/ml
Инъекция Caspofungin acetate 0.5 mg/ml
Натрия хлорид 0,9% 2233
Немедленные осадки несовместимый
Инъекция Piperacillin sodium / tazobactam 40/5 mg/ml
Инъекция Caspofungin acetate 0,7 mg/ml
Натрия хлорид 0,9% 2247
совместимый
Инъекция Piperacillin sodium / tazobactam 40/5 mg/ml
Инъекция Ceftolozane / tazobactam 10/5 mg/ml
Глюкоза 5% 3828
совместимый
Инъекция Piperacillin sodium / tazobactam 40/5 mg/ml
Инъекция Cimetidine hydrochloride 12 mg/ml
Глюкоза 5% 81
Неопределенная несовместимость несовместимый
Инъекция Piperacillin sodium / tazobactam
Инъекция Ciprofloxacin lactate
3529
Осадки через 4 часа несовместимый
Инъекция Piperacillin sodium / tazobactam 40/5 mg/ml
Инъекция Cisatracurium besylate 5 mg/ml
Глюкоза 5% 299
совместимый
Инъекция Piperacillin sodium / tazobactam 225 mg/ml
Инъекция Cloxacillin sodium 100 mg/ml
Вода для инъекций 3012
Субвизуальная несовместимость несовместимый
Инъекция Piperacillin sodium / tazobactam
Инъекция Daunorubicin/cytarabine liposomale
4354
совместимый
Инъекция Piperacillin sodium / tazobactam 40/5 mg/ml
Инъекция Dexamethasone sodium phosphate 1 mg/ml
Глюкоза 5% 81
совместимый
Инъекция Piperacillin sodium / tazobactam 40/5 mg/ml
Инъекция Dexmedetomidine 4 µg/ml
Натрия хлорид 0,9% 1712
совместимый
Инъекция Piperacillin sodium / tazobactam
Инъекция Dimenhydrinate
2087
совместимый
Инъекция Piperacillin sodium / tazobactam 40/5 mg/ml
Инъекция Diphenhydramine hydrochloride 2 mg/ml
Глюкоза 5% 81
совместимый
Инъекция Piperacillin sodium / tazobactam 40/5 mg/ml
Инъекция Dopamine hydrochloride 3.2 mg/ml
Глюкоза 5% 81
Потеря мутности несовместимый
Инъекция Piperacillin sodium / tazobactam 40/5 mg/ml
Инъекция Doxorubicin hydrochloride liposome peg 0.4 mg/ml
Глюкоза 5% 251
совместимый
Инъекция Piperacillin sodium / tazobactam 40/5 mg/ml
Инъекция Enalaprilate 0.1 mg/ml
Глюкоза 5% 81
совместимый
Инъекция Piperacillin sodium / tazobactam 40/5 mg/ml
Инъекция Eravacycline 0,6 mg/ml
Натрия хлорид 0,9% 4434
Неопределенная несовместимость несовместимый
Инъекция Piperacillin sodium / tazobactam
Инъекция Erythromycin lactobionate
3674
совместимый
Инъекция Piperacillin sodium / tazobactam 40/5 mg/ml
Инъекция Folinate calcium 2 mg/ml
Глюкоза 5% 81
совместимый
Инъекция Piperacillin sodium / tazobactam 40/5 mg/ml
Инъекция Fosfomycin 30 mg/ml
Глюкоза 5% 4055
совместимый
Инъекция Piperacillin sodium / tazobactam 40/5 mg/ml
Инъекция Furosemide 3 mg/ml
Глюкоза 5% 81
совместимый
Инъекция Piperacillin sodium / tazobactam 40/5 mg/ml
Инъекция Gallium nitrate 0.4 mg/ml
Глюкоза 5% 81
Немедленная мутность несовместимый
Инъекция Piperacillin sodium / tazobactam 40/5 mg/ml
Инъекция Gemcitabine hydrochloride 10 mg/ml
Натрия хлорид 0,9% 1423
Неопределенная несовместимость несовместимый
Инъекция Piperacillin sodium / tazobactam
Инъекция Gentamicin sulfate
3520
Неопределенная несовместимость несовместимый
Инъекция Piperacillin sodium / tazobactam
Инъекция Gentamicin sulfate
3643
совместимый
Инъекция Piperacillin sodium / tazobactam 0.5/0.0625 mg/ml
Инъекция Heparin sodium 0.5 UI/ml
Dianéal® 1.5% glucose (Baxter) 4180
совместимый
Инъекция Piperacillin sodium / tazobactam 0.5/0.0625 mg/ml
Инъекция Heparin sodium 0.5 UI/ml
Extraneal® (Baxter) 4180
совместимый
Инъекция Piperacillin sodium / tazobactam 1.38/0.1725 mg/ml
Инъекция Heparin sodium 1.4 UI/ml
Physionéal® 2.27 (Baxter) 4180
совместимый
Инъекция Piperacillin sodium / tazobactam 0.5/0.0625 mg/ml
Инъекция Heparin sodium 0.5 UI/ml
Dianéal® 4.25% glucose (Baxter) 4180
совместимый
Инъекция Piperacillin sodium / tazobactam 1.38/0.1725 mg/ml
Инъекция Heparin sodium 1.4 UI/ml
Physionéal® 3.86 (Baxter) 4180
совместимый
Инъекция Piperacillin sodium / tazobactam 1.38/0.1725 mg/ml
Инъекция Heparin sodium 1.4 UI/ml
Physionéal® 1.36 (Baxter) 4180
совместимый
Инъекция Piperacillin sodium / tazobactam 0.5/0.0625 mg/ml
Инъекция Heparin sodium 0.5 UI/ml
Dianéal® 2.5% glucose (Baxter) 4180
совместимый
Инъекция Piperacillin sodium / tazobactam 40/5 mg/ml
Инъекция Heparin sodium 100 UI/ml
Глюкоза 5% 81
совместимый
Инъекция Piperacillin sodium / tazobactam 40/5 mg/ml
Инъекция Hetastarch 60 mg/ml
Конкретные растворителя 1721
совместимый
Инъекция Piperacillin sodium / tazobactam 40/5 mg/ml
Инъекция Hydrocortisone sodium succinate 1 mg/ml
Глюкоза 5% 81
совместимый
Инъекция Piperacillin sodium / tazobactam 40/5 mg/ml
Инъекция Hydromorphone hydrochloride 0.5 mg/ml
Глюкоза 5% 81
Немедленные осадки несовместимый
Инъекция Piperacillin sodium / tazobactam 40/5 mg/ml
Инъекция Hydroxyzine dihydrochloride 4 mg/ml
Глюкоза 5% 81
Немедленная мутность несовместимый
Инъекция Piperacillin sodium / tazobactam 40/5 mg/ml
Инъекция Idarubicin hydrochloride 0.5 mg/ml
Глюкоза 5% 81
совместимый
Инъекция Piperacillin sodium / tazobactam 40/5 mg/ml
Инъекция Ifosfamide 25 mg/ml
Глюкоза 5% 81
совместимый
Инъекция Piperacillin sodium / tazobactam 166/20.83 mg/ml
Инъекция Insulin 1 UI/ml
Натрия хлорид 0,9% 4254
совместимый
Инъекция Piperacillin sodium / tazobactam 45 mg/ml
Инъекция Insulin aspart 1 UI/ml
Натрия хлорид 0,9% 1508
совместимый
Инъекция Piperacillin sodium / tazobactam 45 mg/ml
Инъекция Insulin aspart 1 UI/ml
Глюкоза 5% 1508
совместимый
Инъекция Piperacillin sodium / tazobactam 40/5 mg/ml
Инъекция Isavuconazonium sulfate 1.5 mg/ml
Натрия хлорид 0,9% 3829
совместимый
Инъекция Piperacillin sodium / tazobactam 40/5 mg/ml
Инъекция Lansoprazole 0.55 mg/ml
Натрия хлорид 0,9% 1625
совместимый
Инъекция Piperacillin sodium / tazobactam 166/20.83 mg/ml
Инъекция Levetiracetam 20.83 mg/ml
Глюкоза 5% 4254
совместимый
Инъекция Piperacillin sodium / tazobactam 166/20.83 mg/ml
Инъекция Levetiracetam 20.83 mg/ml
Натрия хлорид 0,9% 4254
совместимый
Инъекция Piperacillin sodium / tazobactam 80 mg/ml
Парентеральное питание (бинарная смесь) 3948
совместимый
Инъекция Piperacillin sodium / tazobactam 166/20.83 mg/ml
Инъекция Insulin 1 UI/ml
Глюкоза 5% 4254
совместимый
Инъекция Piperacillin sodium / tazobactam 33,75 mg/ml
Инъекция Levetiracetam 5 mg/ml
Натрия хлорид 0,9% 4569
совместимый
Инъекция Piperacillin sodium / tazobactam 40/5 mg/ml
Парентеральное питание (бинарная смесь) 301
Немедленная мутность несовместимый
Инъекция Piperacillin sodium / tazobactam 40/5 mg/ml
Инъекция Isavuconazonium sulfate 1.5 mg/ml
Глюкоза 5% 3829
Неопределенная несовместимость несовместимый
Инъекция Piperacillin sodium / tazobactam
NaHCO3 3586
Химическая нестабильность несовместимый
Инъекция Piperacillin sodium / tazobactam
Инъекция Kanamycin sulfate
3586
совместимый
Инъекция Piperacillin sodium / tazobactam 200 mg/ml
Инъекция Ketamine hydrochloride 50 mg/ml
2109
Субвизуальная несовместимость несовместимый
Инъекция Piperacillin sodium / tazobactam 45 mg/ml
Инъекция Levetiracetam 5 mg/ml
Натрия хлорид 0,9% 4569
совместимый
Инъекция Piperacillin sodium / tazobactam 125 mg/ml
Инъекция Linezolid 2 mg/ml
4928
совместимый
Инъекция Piperacillin sodium / tazobactam 40/5 mg/ml
Инъекция Linezolid 2 mg/ml
Нет 1925
совместимый
Инъекция Piperacillin sodium / tazobactam 40/5 mg/ml
Инъекция Lorazepam 0.1 mg/ml
Глюкоза 5% 81
совместимый
Инъекция Piperacillin sodium / tazobactam 40/5 mg/ml
Инъекция Magnesium sulfate 100 mg/ml
Глюкоза 5% 81
совместимый
Инъекция Piperacillin sodium / tazobactam 40/5 mg/ml
Инъекция Mannitol 150 mg/ml
Глюкоза 5% 81
совместимый
Инъекция Piperacillin sodium / tazobactam 200 mg/ml
Инъекция Meropenem 50 mg/ml
Вода для инъекций 4319
совместимый
Инъекция Piperacillin sodium / tazobactam 40/5 mg/ml
Инъекция Mesna 10 mg/ml
Глюкоза 5% 81
совместимый
Инъекция Piperacillin sodium / tazobactam 40/5 mg/ml
Инъекция Methotrexate sodium 15 mg/ml
Глюкоза 5% 81
совместимый
Инъекция Piperacillin sodium / tazobactam 40/5 mg/ml
Инъекция Methylprednisolone sodium succinate 5 mg/ml
Глюкоза 5% 81
совместимый
Инъекция Piperacillin sodium / tazobactam 40/5 mg/ml
Инъекция Metoclopramide hydrochloride 5 mg/ml
Глюкоза 5% 81
совместимый
Инъекция Piperacillin sodium / tazobactam 40/5 mg/ml
Инъекция Metronidazole 5 mg/ml
Глюкоза 5% 81
Немедленные осадки несовместимый
Инъекция Piperacillin sodium / tazobactam 40/5 mg/ml
Инъекция Minocycline hydrochloride 1 mg/ml
Глюкоза 5% 81
Смена цвета через 4 часа несовместимый
Инъекция Piperacillin sodium / tazobactam 40/5 mg/ml
Инъекция Mitomycin 0.5 mg/ml
Глюкоза 5% 81
Немедленные осадки несовместимый
Инъекция Piperacillin sodium / tazobactam 40/5 mg/ml
Инъекция Mitoxantrone dihydrochloride 0.5 mg/ml
Глюкоза 5% 81
совместимый
Инъекция Piperacillin sodium / tazobactam 40/5 mg/ml
Инъекция Morphine sulfate 1 mg/ml
Глюкоза 5% 81
совместимый
Инъекция Piperacillin sodium / tazobactam
Инъекция N-acetylcysteine 200 mg/ml
Нет 3766
Немедленная мутность несовместимый
Инъекция Piperacillin sodium / tazobactam 40/5 mg/ml
Инъекция Nalbuphine hydrochloride 10 mg/ml
Глюкоза 5% 81
совместимый
Инъекция Piperacillin sodium / tazobactam 200 mg/ml
Инъекция Naloxone hydrochloride 0.4 mg/ml
Нет 3408
Химическая нестабильность несовместимый
Инъекция Piperacillin sodium / tazobactam
Инъекция Netilmicin sulfate
3586
совместимый
Инъекция Piperacillin sodium / tazobactam 20/2,5 & 40/5 mg/ml
Инъекция Ondansetron hydrochloride 0,015 >> 0,15 mg/ml
Натрия хлорид 0,9% 16
совместимый
Инъекция Piperacillin sodium / tazobactam 40/5 mg/ml
Инъекция Ondansetron hydrochloride 0.1 mg/ml
Глюкоза 5% 81
совместимый
Инъекция Piperacillin sodium / tazobactam 200/25 mg/ml
Инъекция Oxycodone hydrochloride 1 mg/ml
Натрия хлорид 0,9% 4842
Осадки через 1 час несовместимый
Инъекция Piperacillin sodium / tazobactam
Инъекция Pantoprazole sodium
2090
совместимый
Инъекция Piperacillin sodium / tazobactam 100 mg/ml
Инъекция Paracetamol 10 mg/ml
Нет 3571
совместимый
Инъекция Piperacillin sodium / tazobactam 100 mg/ml
Инъекция Paracetamol 10 mg/ml
4742
совместимый
Инъекция Piperacillin sodium / tazobactam 200 mg/ml
Инъекция Pentoxifyllin 5 mg/ml
Натрия хлорид 0,9% 4538
совместимый
Инъекция Piperacillin sodium / tazobactam 40/5 mg/ml
Инъекция Pethidine hydrochloride 4 mg/ml
Глюкоза 5% 81
Химическая нестабильность несовместимый
Инъекция Piperacillin sodium / tazobactam
Инъекция Plazomicin sulfate
3586
совместимый
Инъекция Piperacillin sodium / tazobactam 40/5 mg/ml
Инъекция Plazomicin sulfate 24 mg/ml
Натрия хлорид 0,9% 4145
Немедленные осадки несовместимый
Инъекция Piperacillin sodium / tazobactam 160 mg/ml
Инъекция Posaconazole 1,2 mg/ml
Натрия хлорид 0,9% 4521
совместимый
Инъекция Piperacillin sodium / tazobactam 40/5 mg/ml
Инъекция Potassium chloride 100 mEq/l
Глюкоза 5% 81
Немедленная мутность несовместимый
Инъекция Piperacillin sodium / tazobactam 40/5 mg/ml
Инъекция Prochlorperazine edysilate 0.5 mg/ml
Глюкоза 5% 81
Немедленная мутность несовместимый
Инъекция Piperacillin sodium / tazobactam 40/5 mg/ml
Инъекция Promethazine hydrochloride 2 mg/ml
Глюкоза 5% 81
совместимый
Инъекция Piperacillin sodium / tazobactam 40/5 mg/ml
Инъекция Ranitidine hydrochloride 2 mg/ml
Глюкоза 5% 81
совместимый
Инъекция Piperacillin sodium / tazobactam 40/5 mg/ml
Инъекция Remifentanil hydrochloride 25 & 250 µg/ml
Натрия хлорид 0,9% 59
Немедленные осадки несовместимый
Инъекция Piperacillin sodium / tazobactam 200 mg/ml
Инъекция Salbutamol sulfate 1 mg/ml
Нет 3216
совместимый
Инъекция Piperacillin sodium / tazobactam 40/5 mg/ml
Инъекция Sargramostim 10 µg/ml
Глюкоза 5% 81
совместимый
Инъекция Piperacillin sodium / tazobactam 200 mg/ml
Инъекция Sildenafil citrate 0,6 mg/ml
Глюкоза 5% 4845
Неопределенная несовместимость несовместимый
Инъекция Piperacillin sodium / tazobactam
Инъекция Sodium bicarbonate
3586
совместимый
Инъекция Piperacillin sodium / tazobactam 40/5 mg/ml
Инъекция Sodium bicarbonate 84 mg/ml
Глюкоза 5% 81
Химическая нестабильность несовместимый
Инъекция Piperacillin sodium / tazobactam
Инъекция Streptomycin sulfate
3586
Осадки через 1 час несовместимый
Инъекция Piperacillin sodium / tazobactam 40/5 mg/ml
Инъекция Streptozocin 40 mg/ml
Глюкоза 5% 81
совместимый
Инъекция Piperacillin sodium / tazobactam 40/5 mg/ml
Инъекция Sulbactam/durlobactam 15/15 mg/ml
Натрия хлорид 0,9% 4801
совместимый
Инъекция Piperacillin sodium / tazobactam 40/5 mg/ml
Инъекция Tedizolid phosphate 0.8 mg/ml
Натрия хлорид 0,9% 3827
совместимый
Инъекция Piperacillin sodium / tazobactam 40/5 mg/ml
Инъекция Telavancin hydrochloride 7.5 mg/ml
Глюкоза 5% 3254
совместимый
Инъекция Piperacillin sodium / tazobactam 40/5 mg/ml
Инъекция Telavancin hydrochloride 7.5 mg/ml
Натрия хлорид 0,9% 3254
совместимый
Инъекция Piperacillin sodium / tazobactam 40/5 mg/ml
Инъекция Telavancin hydrochloride 7.5 mg/ml
Раствор Рингера лактата 3254
Химическая нестабильность несовместимый
Инъекция Piperacillin sodium / tazobactam 200 mg/ml
Инъекция Temocilline 83.33 mg/ml
Вода для инъекций 2231
Неопределенная несовместимость несовместимый
Инъекция Piperacillin sodium / tazobactam
Инъекция Temocilline
4470
совместимый
Инъекция Piperacillin sodium / tazobactam 166/20.83 mg/ml
Инъекция Thiamine hydrochloride 0.4 mg/ml
Глюкоза 5% 4254
Немедленные осадки несовместимый
Инъекция Piperacillin sodium / tazobactam 200 mg/ml
Инъекция Thiopental sodium 25 mg/ml
Натрия хлорид 0,9% 3767
совместимый
Инъекция Piperacillin sodium / tazobactam 40/5 mg/ml
Инъекция Thiotepa 1 mg/ml
Глюкоза 5% 81
совместимый
Инъекция Piperacillin sodium / tazobactam
Инъекция Tigecycline
Натрия хлорид 0,9% 3332
Химическая нестабильность несовместимый
Инъекция Piperacillin sodium / tazobactam
Инъекция Tobramycin sulfate
3586
Немедленные осадки несовместимый
Инъекция Piperacillin sodium / tazobactam 112,5 mg/ml
Инъекция Vancomycin hydrochloride 10 mg/ml
Глюкоза 5% 3428
совместимый
Инъекция Piperacillin sodium / tazobactam
Глюкоза 5% 3586
совместимый
Инъекция Piperacillin sodium / tazobactam
Натрия хлорид 0,9% 5069
Немедленные осадки несовместимый
Инъекция Piperacillin sodium / tazobactam 100/12,5 mg/ml
Инъекция Vancomycin hydrochloride 10 mg/ml
3365
Немедленные осадки несовместимый
Инъекция Piperacillin sodium / tazobactam 40 >> 100 mg/ml
Инъекция Vancomycin hydrochloride 10 mg/ml
Натрия хлорид 0,9% 2475
Немедленные осадки несовместимый
Инъекция Piperacillin sodium / tazobactam
Инъекция Vancomycin hydrochloride >8 mg/ml
Натрия хлорид 0,9% 3841
совместимый
Инъекция Piperacillin sodium / tazobactam 16 >> 100 mg/ml
Инъекция Vancomycin hydrochloride 2 mg/ml
Натрия хлорид 0,9% 2475
совместимый
Инъекция Piperacillin sodium / tazobactam 16 >> 100 mg/ml
Инъекция Vancomycin hydrochloride 5 mg/ml
Натрия хлорид 0,9% 2475
совместимый
Инъекция Piperacillin sodium / tazobactam 16 >> 30 mg/ml
Инъекция Vancomycin hydrochloride 10 mg/ml
Натрия хлорид 0,9% 2475
совместимый
Инъекция Piperacillin sodium / tazobactam 30/3,75 mg/ml
Инъекция Vancomycin hydrochloride 4 mg/ml
Натрия хлорид 0,9% 3421
совместимый
Инъекция Piperacillin sodium / tazobactam 40/5 mg/ml
Инъекция Vancomycin hydrochloride 4 mg/ml
Натрия хлорид 0,9% 3421
совместимый
Инъекция Piperacillin sodium / tazobactam 33.75 >> 90 mg/ml
Инъекция Vancomycin hydrochloride 4 >> 7 mg/ml
Натрия хлорид 0,9% 3841
Немедленные осадки несовместимый
Инъекция Piperacillin sodium / tazobactam 80 & 90 mg/ml
Инъекция Vancomycin hydrochloride 8 mg/ml
Натрия хлорид 0,9% 3841
совместимый
Инъекция Piperacillin sodium / tazobactam 33.75 >> 67.5 mg/ml
Инъекция Vancomycin hydrochloride 8 mg/ml
Натрия хлорид 0,9% 3841
Немедленная мутность несовместимый
Инъекция Piperacillin sodium / tazobactam 40/5 mg/ml
Инъекция Vancomycin hydrochloride 10 mg/ml
Глюкоза 5% 81
Неопределенная несовместимость несовместимый
Инъекция Piperacillin sodium / tazobactam 200 mg/ml
Инъекция Vancomycin hydrochloride 10 mg/ml
Глюкоза 5% 3385
Немедленные осадки несовместимый
Инъекция Piperacillin sodium / tazobactam 10/1.25 >> 200/25 mg/ml
Инъекция Vancomycin hydrochloride 20 mg/ml
Глюкоза 5% 1674
Немедленные осадки несовместимый
Инъекция Piperacillin sodium / tazobactam 80 >> 100 mg/ml
Инъекция Vancomycin hydrochloride 4 mg/ml
Глюкоза 5% 2475
Немедленные осадки несовместимый
Инъекция Piperacillin sodium / tazobactam 16 >> 100 mg/ml
Инъекция Vancomycin hydrochloride 8 mg/ml
Глюкоза 5% 2475
Немедленные осадки несовместимый
Инъекция Piperacillin sodium / tazobactam 28 mg/ml
Инъекция Vancomycin hydrochloride 10 & 15 mg/ml
Глюкоза 5% 3984
Немедленные осадки несовместимый
Инъекция Piperacillin sodium / tazobactam 67,5 mg/ml
Инъекция Vancomycin hydrochloride 5 mg/ml
Глюкоза 5% 3960
совместимый
Инъекция Piperacillin sodium / tazobactam 16 >> 40 mg/ml
Инъекция Vancomycin hydrochloride 4 mg/ml
Глюкоза 5% 2475
совместимый
Инъекция Piperacillin sodium / tazobactam 28 mg/ml
Инъекция Vancomycin hydrochloride 5 mg/ml
Глюкоза 5% 3984
совместимый
Инъекция Piperacillin sodium / tazobactam 1/0.125 >> 200/25 mg/ml
Инъекция Vancomycin hydrochloride 2 mg/ml
Глюкоза 5% 1674
совместимый
Инъекция Piperacillin sodium / tazobactam 1/0.125 mg/ml
Инъекция Vancomycin hydrochloride 20 mg/ml
Глюкоза 5% 1674
совместимый
Инъекция Piperacillin sodium / tazobactam 112.5 mg/ml
Инъекция Vasopressin 0.2 UI/ml
Натрия хлорид 0,9% 2017
совместимый
Инъекция Piperacillin sodium / tazobactam 40/5 mg/ml
Инъекция Vinblastine sulfate 0.12 mg/ml
Глюкоза 5% 81
совместимый
Инъекция Piperacillin sodium / tazobactam 40/5 mg/ml
Инъекция Vincristine sulfate 0.05 mg/ml
Глюкоза 5% 81
совместимый
Инъекция Piperacillin sodium / tazobactam 40/5 mg/ml
Инъекция Zidovudine 4 mg/ml
Глюкоза 5% 81
совместимый
Инъекция Piperacillin sodium / tazobactam 40/5 mg/ml
Normosol® 4655

  Mentions Légales