Zadnji put ažurirano :
18/03/2026
antibiotik   Piperacillin sodium / tazobactam  
injekcija
Stabilizacija rješenja Stabilnost mješavine Stabilizacijski faktor Kompatibilnosti način davanja lijeka Bibliografija pdf
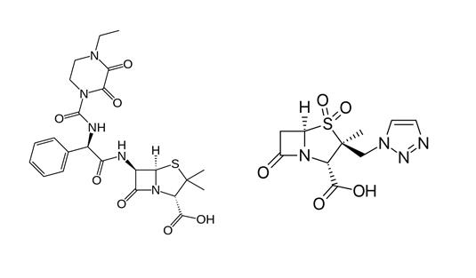
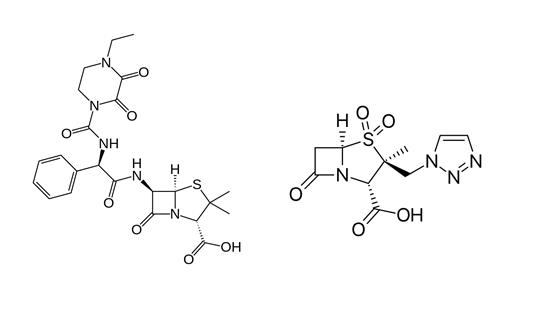
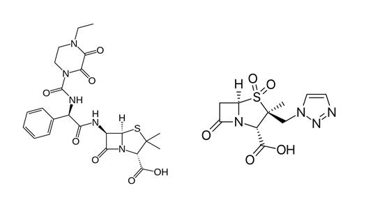
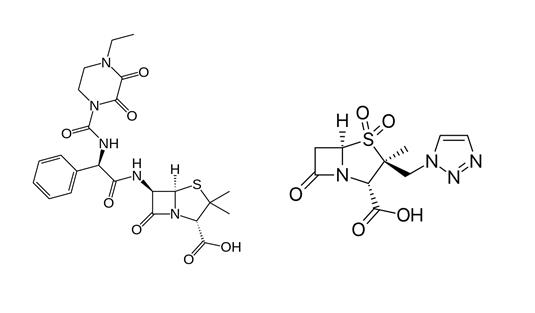
   Kemijska struktura  

Nekomercijalni   Nekomercijalni     

Zaštićeni nazivi su indikativni i sastav ekscipijensa može biti različit ovisno o državi i laboratorijima

Bagotaz Argentina
Betampil Ekvador
Bioval Čile
Petezam Argentina
Piperac Njemačka
Piperacillin tazobactam Belgija, Kanada, Njemačka
Piperazam Brazil
Pipetazo Čile
Pipitaz Austrija
Pixamol Kolumbija
Tazobac Ekvador, Italija, Portugal, Švicarska
Tazocel Španjolska
Tazocilline Francuska
Tazocin Argentina, Australija, Brazil, Danska, Egipat, Finska, Grčka, Hrvatska, Italija, Južna Afrika, Kolumbija, Luksemburg, Madžarska, Meksiko, Nizozemska, Norveška, novi Zeland, Peru, Poljska, Sjeverna Irska, Švedska, Turska, Ujedinjeni Arapski Emirati, Velika Britanija
Tazonam Austrija, Čile
Tazopip Australija
Tazpen Kolumbija, Meksiko
Tazrobida Kolumbija
Tigux Čile
Tratac Čile
Trital Ekvador
Zosyn Japan, S A D
Kompatibilnosti   injekcija   Kompatibilnosti : Piperacillin sodium / tazobactam              
Ovdje su prikazane kompatibilnosti ili nekompatibilnosti s tipom nekompatibilnosti (taloženje, promjena boje, modifikacija emulzije itd.) u ovom slučaju. Kompatibilnosti prikazane ovdje najčešće su fizikalne dok se kemijska stabilnost molekule rijetko procjenjuje. Procjena ovih mikstura je proučavana kako bi se razmotrila mogućnost primjene lijeka putem Y-mjesta. Ovi se podaci ne smiju koristiti za pripremu mikstura unaprijed u vrećicama ili štrcaljkama. Ova vrsta informacije se može pronaći u odjeljku « stabilnost u miksturama ».
molekula sredstvo za rastapanje Bibliografija
Padavine nakon 1 sata inkompatibilan
injekcija Piperacillin sodium / tazobactam 40/5 mg/ml
injekcija Aciclovir sodium 7 mg/ml
glukoza 5% 81
Kompatibilan
injekcija Piperacillin sodium / tazobactam 40/5 mg/ml
Parenteralna prehrana (lipidima) 1415
Kompatibilan
injekcija Piperacillin sodium / tazobactam 200 mg/ml
Ringer laktat 4603
Kompatibilan
injekcija Piperacillin sodium / tazobactam 80 mg/ml
Parenteralna prehrana (lipidima) 3948
Kemijska nestabilnost inkompatibilan
injekcija Piperacillin sodium / tazobactam
injekcija Amikacin sulfate
3586
Kompatibilan
injekcija Piperacillin sodium / tazobactam 200 mg/ml
Parenteralna prehrana (lipidima) 4924
Zamućenost u 24 sata inkompatibilan
injekcija Piperacillin sodium / tazobactam 60 mg/ml
injekcija Amiodarone hydrochloride 6 mg/ml
glukoza 5% 1611
Neposredne oborine inkompatibilan
injekcija Piperacillin sodium / tazobactam 40/5 mg/ml
injekcija Amphotericin B 0.6 mg/ml
glukoza 5% 81
Neposredne oborine inkompatibilan
injekcija Piperacillin sodium / tazobactam 40/5 mg/ml
injekcija Amphotericin B cholesteryl sulfate complex 0.83 mg/ml
glukoza 5% 921
Kompatibilan
injekcija Piperacillin sodium / tazobactam 40/5 mg/ml
injekcija Anidulafungin 0.5 mg/ml
glukoza 5% 1982
Kompatibilan
injekcija Piperacillin sodium / tazobactam 40/5 mg/ml
injekcija Aztreonam 40 mg/ml
glukoza 5% 81
Kompatibilan
injekcija Piperacillin sodium / tazobactam 40/5 mg/ml
injekcija Bivalirudin 5 mg/ml
glukoza 5% 1713
Kompatibilan
injekcija Piperacillin sodium / tazobactam 40/5 mg/ml
injekcija Bleomycin sulfate 1 mg/ml
glukoza 5% 81
Kompatibilan
injekcija Piperacillin sodium / tazobactam 200 mg/ml
injekcija Caffeine 10 mg/ml
nijedan 3964
Kompatibilan
injekcija Piperacillin sodium / tazobactam 40/5 mg/ml
injekcija Carboplatin 5 mg/ml
glukoza 5% 81
Kompatibilan
injekcija Piperacillin sodium / tazobactam 40/5 mg/ml
injekcija Carmustine 1.5 mg/ml
glukoza 5% 81
Kompatibilan
injekcija Piperacillin sodium / tazobactam 40/5 mg/ml
injekcija Ceftolozane / tazobactam 10/5 mg/ml
natrijumkorid 0,9% 3828
Neposredna zamućenost inkompatibilan
injekcija Piperacillin sodium / tazobactam 40/5 mg/ml
injekcija Chlorpromazine hydrochloride 2 mg/ml
glukoza 5% 81
Kompatibilan
injekcija Piperacillin sodium / tazobactam 40/5 mg/ml
injekcija Cisatracurium besylate 0.1 & 2 mg/ml
glukoza 5% 299
Padavine nakon 1 sata inkompatibilan
injekcija Piperacillin sodium / tazobactam 40/5 mg/ml
injekcija Cisplatin 1 mg/ml
glukoza 5% 81
Kompatibilan
injekcija Piperacillin sodium / tazobactam 40/5 mg/ml
injekcija Clindamycin phosphate 10 mg/ml
glukoza 5% 81
Kompatibilan
injekcija Piperacillin sodium / tazobactam 40/5 mg/ml
injekcija Co-trimoxazole 0.8/4 mg/ml
glukoza 5% 81
Kompatibilan
injekcija Piperacillin sodium / tazobactam 40/0.5 mg/ml
injekcija Colistin mesilate sodium 1.5 mg/ml
natrijumkorid 0,9% 3997
Kompatibilan
injekcija Piperacillin sodium / tazobactam 40/5 mg/ml
injekcija Cyclophosphamide 10 mg/ml
glukoza 5% 81
Kompatibilan
injekcija Piperacillin sodium / tazobactam 40/5 mg/ml
injekcija Cytarabine 50 mg/ml
glukoza 5% 81
Neposredne oborine inkompatibilan
injekcija Piperacillin sodium / tazobactam 40/5 mg/ml
injekcija Dacarbazine 4 mg/ml
glukoza 5% 81
Neposredna zamućenost inkompatibilan
injekcija Piperacillin sodium / tazobactam 40/5 mg/ml
injekcija Daunorubicin hydrochloride 1 mg/ml
glukoza 5% 81
Neposredna zamućenost inkompatibilan
injekcija Piperacillin sodium / tazobactam
injekcija Daunorubicin/cytarabine liposomale 0,4 mg/mL
natrijumkorid 0,9% 4654
Neposredna zamućenost inkompatibilan
injekcija Piperacillin sodium / tazobactam 40/5 mg/ml
injekcija Dobutamine hydrochloride 4 mg/ml
glukoza 5% 81
Kompatibilan
injekcija Piperacillin sodium / tazobactam 40/5 mg/ml
injekcija Docetaxel 0.9 mg/ml
glukoza 5% 1754
Neposredna zamućenost inkompatibilan
injekcija Piperacillin sodium / tazobactam 40/5 mg/ml
injekcija Doxorubicin hydrochloride 2 mg/ml
glukoza 5% 81
Neposredna zamućenost inkompatibilan
injekcija Piperacillin sodium / tazobactam 40/5 mg/ml
injekcija Doxycycline hyclate 1 mg/ml
glukoza 5% 81
Neposredne oborine inkompatibilan
injekcija Piperacillin sodium / tazobactam 40/5 mg/ml
injekcija Droperidol 0.4 mg/ml
glukoza 5% 81
Kompatibilan
injekcija Piperacillin sodium / tazobactam 40/5 mg/ml
injekcija Etoposide 0.4 mg/ml
glukoza 5% 81
Kompatibilan
injekcija Piperacillin sodium / tazobactam 40/5 mg/ml
injekcija Etoposide phosphate 5 mg/ml
natrijumkorid 0,9% 1410
Neposredne oborine inkompatibilan
injekcija Piperacillin sodium / tazobactam 40/5 mg/ml
injekcija Famotidine 2 mg/ml
glukoza 5% 81
Kompatibilan
injekcija Piperacillin sodium / tazobactam 40/5 mg/ml
injekcija Fenoldopam mesylate 80 µg/ml
natrijumkorid 0,9% 1803
Kompatibilan
injekcija Piperacillin sodium / tazobactam 40/5 mg/ml
injekcija Floxuridine 3 mg/ml
glukoza 5% 81
Kompatibilan
injekcija Piperacillin sodium / tazobactam 40/5 mg/ml
injekcija Fluconazole 2 mg/ml
glukoza 5% 81
Kompatibilan
injekcija Piperacillin sodium / tazobactam 40/5 mg/ml
injekcija Fludarabine phosphate 1 mg/ml
glukoza 5% 81
Kompatibilan
injekcija Piperacillin sodium / tazobactam 40/5 mg/ml
injekcija Fluorouracil 16 mg/ml
glukoza 5% 81
Kompatibilan
injekcija Piperacillin sodium / tazobactam 40/5 mg/ml
injekcija Fosfomycin 30 mg/ml
natrijumkorid 0,9% 4055
Padavine nakon 1 sata inkompatibilan
injekcija Piperacillin sodium / tazobactam 40/5 mg/ml
injekcija Ganciclovir sodium 20 mg/ml
glukoza 5% 81
Kemijska nestabilnost inkompatibilan
injekcija Piperacillin sodium / tazobactam
injekcija Gentamicin sulfate
3586
Kompatibilan
injekcija Piperacillin sodium / tazobactam 40/5 mg/ml
injekcija Granisetron hydrochloride 0.05 mg/ml
glukoza 5% 182
Neposredne oborine inkompatibilan
injekcija Piperacillin sodium / tazobactam 40/5 mg/ml
injekcija Haloperidol lactate 0.2 mg/ml
glukoza 5% 81
Neodređena nespojivost inkompatibilan
injekcija Piperacillin sodium / tazobactam
Ringer laktat 3586
Neodređena nespojivost inkompatibilan
injekcija Piperacillin sodium / tazobactam
injekcija Aciclovir sodium
3595
Kemijska nestabilnost inkompatibilan
injekcija Piperacillin sodium / tazobactam
injekcija Amikacin sulfate
3549
Kompatibilan
injekcija Piperacillin sodium / tazobactam 40/5 mg/ml
injekcija Aminophylline 2.5 mg/ml
glukoza 5% 81
Kompatibilan
injekcija Piperacillin sodium / tazobactam 100 mg/ml
injekcija Amoxicillin sodium / clavulanic acid 100/10 mg/ml
3824
Neposredne oborine inkompatibilan
injekcija Piperacillin sodium / tazobactam 112.5 mg/ml
injekcija Azithromycine 2 mg/ml
natrijumkorid 0,9% 1800
Kompatibilan
injekcija Piperacillin sodium / tazobactam 40/5 mg/ml
injekcija Bumetanide 0.04 mg/ml
glukoza 5% 81
Kompatibilan
injekcija Piperacillin sodium / tazobactam 40/5 mg/ml
injekcija Buprenorphine hydrochloride 0.04 mg/ml
glukoza 5% 81
Kompatibilan
injekcija Piperacillin sodium / tazobactam 40/5 mg/ml
injekcija Butorphanol tartrate 0.04 mg/ml
glukoza 5% 81
Kompatibilan
injekcija Piperacillin sodium / tazobactam 200 mg/ml
injekcija Caffeine 10 mg/ml
čista voda za injektiranje 4837
Kompatibilan
injekcija Piperacillin sodium / tazobactam 200 mg/ml
injekcija Caffeine citrate 20 mg/ml
čista voda za injektiranje 4837
Kompatibilan
injekcija Piperacillin sodium / tazobactam 40/5 mg/ml
injekcija Calcium gluconate 40 mg/ml
glukoza 5% 81
Neposredne oborine inkompatibilan
injekcija Piperacillin sodium / tazobactam 90 mg/ml
injekcija Caspofungin acetate 0.5 mg/ml
natrijumkorid 0,9% 2233
Neposredne oborine inkompatibilan
injekcija Piperacillin sodium / tazobactam 40/5 mg/ml
injekcija Caspofungin acetate 0,7 mg/ml
natrijumkorid 0,9% 2247
Kompatibilan
injekcija Piperacillin sodium / tazobactam 40/5 mg/ml
injekcija Ceftolozane / tazobactam 10/5 mg/ml
glukoza 5% 3828
Kompatibilan
injekcija Piperacillin sodium / tazobactam 40/5 mg/ml
injekcija Cimetidine hydrochloride 12 mg/ml
glukoza 5% 81
Neodređena nespojivost inkompatibilan
injekcija Piperacillin sodium / tazobactam
injekcija Ciprofloxacin lactate
3529
Padavine nakon 4 sata inkompatibilan
injekcija Piperacillin sodium / tazobactam 40/5 mg/ml
injekcija Cisatracurium besylate 5 mg/ml
glukoza 5% 299
Kompatibilan
injekcija Piperacillin sodium / tazobactam 225 mg/ml
injekcija Cloxacillin sodium 100 mg/ml
čista voda za injektiranje 3012
Subvizualna nekompatibilnost inkompatibilan
injekcija Piperacillin sodium / tazobactam
injekcija Daunorubicin/cytarabine liposomale
4354
Kompatibilan
injekcija Piperacillin sodium / tazobactam 40/5 mg/ml
injekcija Dexamethasone sodium phosphate 1 mg/ml
glukoza 5% 81
Kompatibilan
injekcija Piperacillin sodium / tazobactam 40/5 mg/ml
injekcija Dexmedetomidine 4 µg/ml
natrijumkorid 0,9% 1712
Kompatibilan
injekcija Piperacillin sodium / tazobactam
injekcija Dimenhydrinate
2087
Kompatibilan
injekcija Piperacillin sodium / tazobactam 40/5 mg/ml
injekcija Diphenhydramine hydrochloride 2 mg/ml
glukoza 5% 81
Kompatibilan
injekcija Piperacillin sodium / tazobactam 40/5 mg/ml
injekcija Dopamine hydrochloride 3.2 mg/ml
glukoza 5% 81
Gubitak zamućenosti inkompatibilan
injekcija Piperacillin sodium / tazobactam 40/5 mg/ml
injekcija Doxorubicin hydrochloride liposome peg 0.4 mg/ml
glukoza 5% 251
Kompatibilan
injekcija Piperacillin sodium / tazobactam 40/5 mg/ml
injekcija Enalaprilate 0.1 mg/ml
glukoza 5% 81
Kompatibilan
injekcija Piperacillin sodium / tazobactam 40/5 mg/ml
injekcija Eravacycline 0,6 mg/ml
natrijumkorid 0,9% 4434
Neodređena nespojivost inkompatibilan
injekcija Piperacillin sodium / tazobactam
injekcija Erythromycin lactobionate
3674
Kompatibilan
injekcija Piperacillin sodium / tazobactam 40/5 mg/ml
injekcija Folinate calcium 2 mg/ml
glukoza 5% 81
Kompatibilan
injekcija Piperacillin sodium / tazobactam 40/5 mg/ml
injekcija Fosfomycin 30 mg/ml
glukoza 5% 4055
Kompatibilan
injekcija Piperacillin sodium / tazobactam 40/5 mg/ml
injekcija Furosemide 3 mg/ml
glukoza 5% 81
Kompatibilan
injekcija Piperacillin sodium / tazobactam 40/5 mg/ml
injekcija Gallium nitrate 0.4 mg/ml
glukoza 5% 81
Neposredna zamućenost inkompatibilan
injekcija Piperacillin sodium / tazobactam 40/5 mg/ml
injekcija Gemcitabine hydrochloride 10 mg/ml
natrijumkorid 0,9% 1423
Neodređena nespojivost inkompatibilan
injekcija Piperacillin sodium / tazobactam
injekcija Gentamicin sulfate
3520
Neodređena nespojivost inkompatibilan
injekcija Piperacillin sodium / tazobactam
injekcija Gentamicin sulfate
3643
Kompatibilan
injekcija Piperacillin sodium / tazobactam 0.5/0.0625 mg/ml
injekcija Heparin sodium 0.5 UI/ml
Dianéal® 1.5% glucose (Baxter) 4180
Kompatibilan
injekcija Piperacillin sodium / tazobactam 0.5/0.0625 mg/ml
injekcija Heparin sodium 0.5 UI/ml
Extraneal® (Baxter) 4180
Kompatibilan
injekcija Piperacillin sodium / tazobactam 1.38/0.1725 mg/ml
injekcija Heparin sodium 1.4 UI/ml
Physionéal® 2.27 (Baxter) 4180
Kompatibilan
injekcija Piperacillin sodium / tazobactam 0.5/0.0625 mg/ml
injekcija Heparin sodium 0.5 UI/ml
Dianéal® 4.25% glucose (Baxter) 4180
Kompatibilan
injekcija Piperacillin sodium / tazobactam 1.38/0.1725 mg/ml
injekcija Heparin sodium 1.4 UI/ml
Physionéal® 3.86 (Baxter) 4180
Kompatibilan
injekcija Piperacillin sodium / tazobactam 1.38/0.1725 mg/ml
injekcija Heparin sodium 1.4 UI/ml
Physionéal® 1.36 (Baxter) 4180
Kompatibilan
injekcija Piperacillin sodium / tazobactam 0.5/0.0625 mg/ml
injekcija Heparin sodium 0.5 UI/ml
Dianéal® 2.5% glucose (Baxter) 4180
Kompatibilan
injekcija Piperacillin sodium / tazobactam 40/5 mg/ml
injekcija Heparin sodium 100 UI/ml
glukoza 5% 81
Kompatibilan
injekcija Piperacillin sodium / tazobactam 40/5 mg/ml
injekcija Hetastarch 60 mg/ml
Specifična otapala 1721
Kompatibilan
injekcija Piperacillin sodium / tazobactam 40/5 mg/ml
injekcija Hydrocortisone sodium succinate 1 mg/ml
glukoza 5% 81
Kompatibilan
injekcija Piperacillin sodium / tazobactam 40/5 mg/ml
injekcija Hydromorphone hydrochloride 0.5 mg/ml
glukoza 5% 81
Neposredne oborine inkompatibilan
injekcija Piperacillin sodium / tazobactam 40/5 mg/ml
injekcija Hydroxyzine dihydrochloride 4 mg/ml
glukoza 5% 81
Neposredna zamućenost inkompatibilan
injekcija Piperacillin sodium / tazobactam 40/5 mg/ml
injekcija Idarubicin hydrochloride 0.5 mg/ml
glukoza 5% 81
Kompatibilan
injekcija Piperacillin sodium / tazobactam 40/5 mg/ml
injekcija Ifosfamide 25 mg/ml
glukoza 5% 81
Kompatibilan
injekcija Piperacillin sodium / tazobactam 166/20.83 mg/ml
injekcija Insulin 1 UI/ml
natrijumkorid 0,9% 4254
Kompatibilan
injekcija Piperacillin sodium / tazobactam 45 mg/ml
injekcija Insulin aspart 1 UI/ml
natrijumkorid 0,9% 1508
Kompatibilan
injekcija Piperacillin sodium / tazobactam 45 mg/ml
injekcija Insulin aspart 1 UI/ml
glukoza 5% 1508
Kompatibilan
injekcija Piperacillin sodium / tazobactam 40/5 mg/ml
injekcija Isavuconazonium sulfate 1.5 mg/ml
natrijumkorid 0,9% 3829
Kompatibilan
injekcija Piperacillin sodium / tazobactam 40/5 mg/ml
injekcija Lansoprazole 0.55 mg/ml
natrijumkorid 0,9% 1625
Kompatibilan
injekcija Piperacillin sodium / tazobactam 166/20.83 mg/ml
injekcija Levetiracetam 20.83 mg/ml
glukoza 5% 4254
Kompatibilan
injekcija Piperacillin sodium / tazobactam 166/20.83 mg/ml
injekcija Levetiracetam 20.83 mg/ml
natrijumkorid 0,9% 4254
Kompatibilan
injekcija Piperacillin sodium / tazobactam 80 mg/ml
Parenteralna prehrana (bezlipidna) 3948
Kompatibilan
injekcija Piperacillin sodium / tazobactam 166/20.83 mg/ml
injekcija Insulin 1 UI/ml
glukoza 5% 4254
Kompatibilan
injekcija Piperacillin sodium / tazobactam 33,75 mg/ml
injekcija Levetiracetam 5 mg/ml
natrijumkorid 0,9% 4569
Kompatibilan
injekcija Piperacillin sodium / tazobactam 40/5 mg/ml
Parenteralna prehrana (bezlipidna) 301
Neposredna zamućenost inkompatibilan
injekcija Piperacillin sodium / tazobactam 40/5 mg/ml
injekcija Isavuconazonium sulfate 1.5 mg/ml
glukoza 5% 3829
Neodređena nespojivost inkompatibilan
injekcija Piperacillin sodium / tazobactam
NaHCO3 3586
Kemijska nestabilnost inkompatibilan
injekcija Piperacillin sodium / tazobactam
injekcija Kanamycin sulfate
3586
Kompatibilan
injekcija Piperacillin sodium / tazobactam 200 mg/ml
injekcija Ketamine hydrochloride 50 mg/ml
2109
Subvizualna nekompatibilnost inkompatibilan
injekcija Piperacillin sodium / tazobactam 45 mg/ml
injekcija Levetiracetam 5 mg/ml
natrijumkorid 0,9% 4569
Kompatibilan
injekcija Piperacillin sodium / tazobactam 125 mg/ml
injekcija Linezolid 2 mg/ml
4928
Kompatibilan
injekcija Piperacillin sodium / tazobactam 40/5 mg/ml
injekcija Linezolid 2 mg/ml
nijedan 1925
Kompatibilan
injekcija Piperacillin sodium / tazobactam 40/5 mg/ml
injekcija Lorazepam 0.1 mg/ml
glukoza 5% 81
Kompatibilan
injekcija Piperacillin sodium / tazobactam 40/5 mg/ml
injekcija Magnesium sulfate 100 mg/ml
glukoza 5% 81
Kompatibilan
injekcija Piperacillin sodium / tazobactam 40/5 mg/ml
injekcija Mannitol 150 mg/ml
glukoza 5% 81
Kompatibilan
injekcija Piperacillin sodium / tazobactam 200 mg/ml
injekcija Meropenem 50 mg/ml
čista voda za injektiranje 4319
Kompatibilan
injekcija Piperacillin sodium / tazobactam 40/5 mg/ml
injekcija Mesna 10 mg/ml
glukoza 5% 81
Kompatibilan
injekcija Piperacillin sodium / tazobactam 40/5 mg/ml
injekcija Methotrexate sodium 15 mg/ml
glukoza 5% 81
Kompatibilan
injekcija Piperacillin sodium / tazobactam 40/5 mg/ml
injekcija Methylprednisolone sodium succinate 5 mg/ml
glukoza 5% 81
Kompatibilan
injekcija Piperacillin sodium / tazobactam 40/5 mg/ml
injekcija Metoclopramide hydrochloride 5 mg/ml
glukoza 5% 81
Kompatibilan
injekcija Piperacillin sodium / tazobactam 40/5 mg/ml
injekcija Metronidazole 5 mg/ml
glukoza 5% 81
Neposredne oborine inkompatibilan
injekcija Piperacillin sodium / tazobactam 40/5 mg/ml
injekcija Minocycline hydrochloride 1 mg/ml
glukoza 5% 81
Promjena boje je nakon 4 sata inkompatibilan
injekcija Piperacillin sodium / tazobactam 40/5 mg/ml
injekcija Mitomycin 0.5 mg/ml
glukoza 5% 81
Neposredne oborine inkompatibilan
injekcija Piperacillin sodium / tazobactam 40/5 mg/ml
injekcija Mitoxantrone dihydrochloride 0.5 mg/ml
glukoza 5% 81
Kompatibilan
injekcija Piperacillin sodium / tazobactam 40/5 mg/ml
injekcija Morphine sulfate 1 mg/ml
glukoza 5% 81
Kompatibilan
injekcija Piperacillin sodium / tazobactam
injekcija N-acetylcysteine 200 mg/ml
nijedan 3766
Neposredna zamućenost inkompatibilan
injekcija Piperacillin sodium / tazobactam 40/5 mg/ml
injekcija Nalbuphine hydrochloride 10 mg/ml
glukoza 5% 81
Kompatibilan
injekcija Piperacillin sodium / tazobactam 200 mg/ml
injekcija Naloxone hydrochloride 0.4 mg/ml
nijedan 3408
Kemijska nestabilnost inkompatibilan
injekcija Piperacillin sodium / tazobactam
injekcija Netilmicin sulfate
3586
Kompatibilan
injekcija Piperacillin sodium / tazobactam 20/2,5 & 40/5 mg/ml
injekcija Ondansetron hydrochloride 0,015 >> 0,15 mg/ml
natrijumkorid 0,9% 16
Kompatibilan
injekcija Piperacillin sodium / tazobactam 40/5 mg/ml
injekcija Ondansetron hydrochloride 0.1 mg/ml
glukoza 5% 81
Kompatibilan
injekcija Piperacillin sodium / tazobactam 200/25 mg/ml
injekcija Oxycodone hydrochloride 1 mg/ml
natrijumkorid 0,9% 4842
Padavine nakon 1 sata inkompatibilan
injekcija Piperacillin sodium / tazobactam
injekcija Pantoprazole sodium
2090
Kompatibilan
injekcija Piperacillin sodium / tazobactam 100 mg/ml
injekcija Paracetamol 10 mg/ml
nijedan 3571
Kompatibilan
injekcija Piperacillin sodium / tazobactam 100 mg/ml
injekcija Paracetamol 10 mg/ml
4742
Kompatibilan
injekcija Piperacillin sodium / tazobactam 200 mg/ml
injekcija Pentoxifyllin 5 mg/ml
natrijumkorid 0,9% 4538
Kompatibilan
injekcija Piperacillin sodium / tazobactam 40/5 mg/ml
injekcija Pethidine hydrochloride 4 mg/ml
glukoza 5% 81
Kemijska nestabilnost inkompatibilan
injekcija Piperacillin sodium / tazobactam
injekcija Plazomicin sulfate
3586
Kompatibilan
injekcija Piperacillin sodium / tazobactam 40/5 mg/ml
injekcija Plazomicin sulfate 24 mg/ml
natrijumkorid 0,9% 4145
Neposredne oborine inkompatibilan
injekcija Piperacillin sodium / tazobactam 160 mg/ml
injekcija Posaconazole 1,2 mg/ml
natrijumkorid 0,9% 4521
Kompatibilan
injekcija Piperacillin sodium / tazobactam 40/5 mg/ml
injekcija Potassium chloride 100 mEq/l
glukoza 5% 81
Neposredna zamućenost inkompatibilan
injekcija Piperacillin sodium / tazobactam 40/5 mg/ml
injekcija Prochlorperazine edysilate 0.5 mg/ml
glukoza 5% 81
Neposredna zamućenost inkompatibilan
injekcija Piperacillin sodium / tazobactam 40/5 mg/ml
injekcija Promethazine hydrochloride 2 mg/ml
glukoza 5% 81
Kompatibilan
injekcija Piperacillin sodium / tazobactam 40/5 mg/ml
injekcija Ranitidine hydrochloride 2 mg/ml
glukoza 5% 81
Kompatibilan
injekcija Piperacillin sodium / tazobactam 40/5 mg/ml
injekcija Remifentanil hydrochloride 25 & 250 µg/ml
natrijumkorid 0,9% 59
Neposredne oborine inkompatibilan
injekcija Piperacillin sodium / tazobactam 200 mg/ml
injekcija Salbutamol sulfate 1 mg/ml
nijedan 3216
Kompatibilan
injekcija Piperacillin sodium / tazobactam 40/5 mg/ml
injekcija Sargramostim 10 µg/ml
glukoza 5% 81
Kompatibilan
injekcija Piperacillin sodium / tazobactam 200 mg/ml
injekcija Sildenafil citrate 0,6 mg/ml
glukoza 5% 4845
Neodređena nespojivost inkompatibilan
injekcija Piperacillin sodium / tazobactam
injekcija Sodium bicarbonate
3586
Kompatibilan
injekcija Piperacillin sodium / tazobactam 40/5 mg/ml
injekcija Sodium bicarbonate 84 mg/ml
glukoza 5% 81
Kemijska nestabilnost inkompatibilan
injekcija Piperacillin sodium / tazobactam
injekcija Streptomycin sulfate
3586
Padavine nakon 1 sata inkompatibilan
injekcija Piperacillin sodium / tazobactam 40/5 mg/ml
injekcija Streptozocin 40 mg/ml
glukoza 5% 81
Kompatibilan
injekcija Piperacillin sodium / tazobactam 40/5 mg/ml
injekcija Sulbactam/durlobactam 15/15 mg/ml
natrijumkorid 0,9% 4801
Kompatibilan
injekcija Piperacillin sodium / tazobactam 40/5 mg/ml
injekcija Tedizolid phosphate 0.8 mg/ml
natrijumkorid 0,9% 3827
Kompatibilan
injekcija Piperacillin sodium / tazobactam 40/5 mg/ml
injekcija Telavancin hydrochloride 7.5 mg/ml
glukoza 5% 3254
Kompatibilan
injekcija Piperacillin sodium / tazobactam 40/5 mg/ml
injekcija Telavancin hydrochloride 7.5 mg/ml
natrijumkorid 0,9% 3254
Kompatibilan
injekcija Piperacillin sodium / tazobactam 40/5 mg/ml
injekcija Telavancin hydrochloride 7.5 mg/ml
Ringer laktat 3254
Kemijska nestabilnost inkompatibilan
injekcija Piperacillin sodium / tazobactam 200 mg/ml
injekcija Temocilline 83.33 mg/ml
čista voda za injektiranje 2231
Neodređena nespojivost inkompatibilan
injekcija Piperacillin sodium / tazobactam
injekcija Temocilline
4470
Kompatibilan
injekcija Piperacillin sodium / tazobactam 166/20.83 mg/ml
injekcija Thiamine hydrochloride 0.4 mg/ml
glukoza 5% 4254
Neposredne oborine inkompatibilan
injekcija Piperacillin sodium / tazobactam 200 mg/ml
injekcija Thiopental sodium 25 mg/ml
natrijumkorid 0,9% 3767
Kompatibilan
injekcija Piperacillin sodium / tazobactam 40/5 mg/ml
injekcija Thiotepa 1 mg/ml
glukoza 5% 81
Kompatibilan
injekcija Piperacillin sodium / tazobactam
injekcija Tigecycline
natrijumkorid 0,9% 3332
Kemijska nestabilnost inkompatibilan
injekcija Piperacillin sodium / tazobactam
injekcija Tobramycin sulfate
3586
Neposredne oborine inkompatibilan
injekcija Piperacillin sodium / tazobactam 112,5 mg/ml
injekcija Vancomycin hydrochloride 10 mg/ml
glukoza 5% 3428
Kompatibilan
injekcija Piperacillin sodium / tazobactam
glukoza 5% 3586
Kompatibilan
injekcija Piperacillin sodium / tazobactam
natrijumkorid 0,9% 5069
Neposredne oborine inkompatibilan
injekcija Piperacillin sodium / tazobactam 100/12,5 mg/ml
injekcija Vancomycin hydrochloride 10 mg/ml
3365
Neposredne oborine inkompatibilan
injekcija Piperacillin sodium / tazobactam 40 >> 100 mg/ml
injekcija Vancomycin hydrochloride 10 mg/ml
natrijumkorid 0,9% 2475
Neposredne oborine inkompatibilan
injekcija Piperacillin sodium / tazobactam
injekcija Vancomycin hydrochloride >8 mg/ml
natrijumkorid 0,9% 3841
Kompatibilan
injekcija Piperacillin sodium / tazobactam 16 >> 100 mg/ml
injekcija Vancomycin hydrochloride 2 mg/ml
natrijumkorid 0,9% 2475
Kompatibilan
injekcija Piperacillin sodium / tazobactam 16 >> 100 mg/ml
injekcija Vancomycin hydrochloride 5 mg/ml
natrijumkorid 0,9% 2475
Kompatibilan
injekcija Piperacillin sodium / tazobactam 16 >> 30 mg/ml
injekcija Vancomycin hydrochloride 10 mg/ml
natrijumkorid 0,9% 2475
Kompatibilan
injekcija Piperacillin sodium / tazobactam 30/3,75 mg/ml
injekcija Vancomycin hydrochloride 4 mg/ml
natrijumkorid 0,9% 3421
Kompatibilan
injekcija Piperacillin sodium / tazobactam 40/5 mg/ml
injekcija Vancomycin hydrochloride 4 mg/ml
natrijumkorid 0,9% 3421
Kompatibilan
injekcija Piperacillin sodium / tazobactam 33.75 >> 90 mg/ml
injekcija Vancomycin hydrochloride 4 >> 7 mg/ml
natrijumkorid 0,9% 3841
Neposredne oborine inkompatibilan
injekcija Piperacillin sodium / tazobactam 80 & 90 mg/ml
injekcija Vancomycin hydrochloride 8 mg/ml
natrijumkorid 0,9% 3841
Kompatibilan
injekcija Piperacillin sodium / tazobactam 33.75 >> 67.5 mg/ml
injekcija Vancomycin hydrochloride 8 mg/ml
natrijumkorid 0,9% 3841
Neposredna zamućenost inkompatibilan
injekcija Piperacillin sodium / tazobactam 40/5 mg/ml
injekcija Vancomycin hydrochloride 10 mg/ml
glukoza 5% 81
Neodređena nespojivost inkompatibilan
injekcija Piperacillin sodium / tazobactam 200 mg/ml
injekcija Vancomycin hydrochloride 10 mg/ml
glukoza 5% 3385
Neposredne oborine inkompatibilan
injekcija Piperacillin sodium / tazobactam 10/1.25 >> 200/25 mg/ml
injekcija Vancomycin hydrochloride 20 mg/ml
glukoza 5% 1674
Neposredne oborine inkompatibilan
injekcija Piperacillin sodium / tazobactam 80 >> 100 mg/ml
injekcija Vancomycin hydrochloride 4 mg/ml
glukoza 5% 2475
Neposredne oborine inkompatibilan
injekcija Piperacillin sodium / tazobactam 16 >> 100 mg/ml
injekcija Vancomycin hydrochloride 8 mg/ml
glukoza 5% 2475
Neposredne oborine inkompatibilan
injekcija Piperacillin sodium / tazobactam 28 mg/ml
injekcija Vancomycin hydrochloride 10 & 15 mg/ml
glukoza 5% 3984
Neposredne oborine inkompatibilan
injekcija Piperacillin sodium / tazobactam 67,5 mg/ml
injekcija Vancomycin hydrochloride 5 mg/ml
glukoza 5% 3960
Kompatibilan
injekcija Piperacillin sodium / tazobactam 16 >> 40 mg/ml
injekcija Vancomycin hydrochloride 4 mg/ml
glukoza 5% 2475
Kompatibilan
injekcija Piperacillin sodium / tazobactam 28 mg/ml
injekcija Vancomycin hydrochloride 5 mg/ml
glukoza 5% 3984
Kompatibilan
injekcija Piperacillin sodium / tazobactam 1/0.125 >> 200/25 mg/ml
injekcija Vancomycin hydrochloride 2 mg/ml
glukoza 5% 1674
Kompatibilan
injekcija Piperacillin sodium / tazobactam 1/0.125 mg/ml
injekcija Vancomycin hydrochloride 20 mg/ml
glukoza 5% 1674
Kompatibilan
injekcija Piperacillin sodium / tazobactam 112.5 mg/ml
injekcija Vasopressin 0.2 UI/ml
natrijumkorid 0,9% 2017
Kompatibilan
injekcija Piperacillin sodium / tazobactam 40/5 mg/ml
injekcija Vinblastine sulfate 0.12 mg/ml
glukoza 5% 81
Kompatibilan
injekcija Piperacillin sodium / tazobactam 40/5 mg/ml
injekcija Vincristine sulfate 0.05 mg/ml
glukoza 5% 81
Kompatibilan
injekcija Piperacillin sodium / tazobactam 40/5 mg/ml
injekcija Zidovudine 4 mg/ml
glukoza 5% 81
Kompatibilan
injekcija Piperacillin sodium / tazobactam 40/5 mg/ml
Normosol® 4655

  Mentions Légales