viimane versioon :
18/03/2026
antibiootikum   Piperacillin sodium / tazobactam  
Süsteravim
Stabiilsus lahustes Stabiilsust mõjutavad tegurid stabiilsust mõjutavad faktorid Sobimatus Manustamis viis Viited pdf
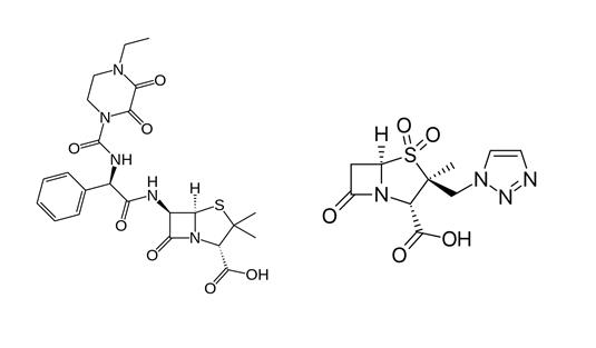
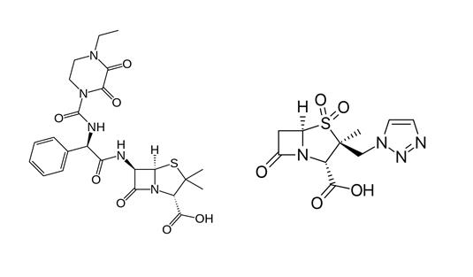
   keemiline struktuur  

Kaubanduslikud nimed erinevates maades   Kaubanduslikud nimed erinevates maades     

Preparaatide nimed on näitlikud ja abianete sisaldus võib erineda sõltuvalt riigist ja laborist

Bagotaz Argentiina
Betampil Ecuador
Bioval Tšiili
Petezam Argentiina
Piperac Saksamaa
Piperacillin tazobactam Belgia, Kanada, Saksamaa
Piperazam Brasiilia
Pipetazo Tšiili
Pipitaz Austria
Pixamol Kolumbia
Tazobac Ecuador, Itaalia, Portugal, Sveits
Tazocel Hispaania
Tazocilline Prantsusmaa
Tazocin Araabia Ühendemiraadid, Argentiina, Austraalia, Brasiilia, Egiptus, Holland, Horvaatia, Itaalia, Kolumbia, Kreeka, Lõuna Aafrika Vabariik, Luksemburg, Maroko, Mehhiko, Norra, Põhja-Iirimaa, Poola, Rootsi, Soome, Suurbritannia, Taani, Türgi, Ungari, uus-Meremaa
Tazonam Austria, Tšiili
Tazopip Austraalia
Tazpen Kolumbia, Mehhiko
Tazrobida Kolumbia
Tigux Tšiili
Tratac Tšiili
Trital Ecuador
Zosyn Ameerika ühendriigid, Jaapan
Sobimatus   Süsteravim   Sobimatus : Piperacillin sodium / tazobactam              
Sellel lehel kuvatakse sobimatusi ja sobimatuse tüüpi (sadenemine, värvuse muutus, emulsiooni modifitseerumine jne). Enamasti on siin lehel kuvatud füüsikalised sobimatused, kuna molekulide keemilist stabiilsust hinnatakse harva. Hinnatud on segude sobivust Y-liinis. Antud infot ei saa kasutada ravimite sobivuse hindamiseks juhul, kui ravimid on segatud süstaldes või infusioonikottides. See info on lehel « stabiilsus segudes ».
ingredient lahusti Viited
Sade 1 tunni pärast Sobimatu
Süsteravim Piperacillin sodium / tazobactam 40/5 mg/ml
Süsteravim Aciclovir sodium 7 mg/ml
glükoos 5% 81
Ühilduv
Süsteravim Piperacillin sodium / tazobactam 40/5 mg/ml
Parenteraalse toitmise (lipiidide) 1415
Ühilduv
Süsteravim Piperacillin sodium / tazobactam 200 mg/ml
Ringer laktaat 4603
Ühilduv
Süsteravim Piperacillin sodium / tazobactam 80 mg/ml
Parenteraalse toitmise (lipiidide) 3948
Keemiline ebastabiilsus Sobimatu
Süsteravim Piperacillin sodium / tazobactam
Süsteravim Amikacin sulfate
3586
Ühilduv
Süsteravim Piperacillin sodium / tazobactam 200 mg/ml
Parenteraalse toitmise (lipiidide) 4924
Hägusus 24 tunniga Sobimatu
Süsteravim Piperacillin sodium / tazobactam 60 mg/ml
Süsteravim Amiodarone hydrochloride 6 mg/ml
glükoos 5% 1611
Kohene sade Sobimatu
Süsteravim Piperacillin sodium / tazobactam 40/5 mg/ml
Süsteravim Amphotericin B 0.6 mg/ml
glükoos 5% 81
Kohene sade Sobimatu
Süsteravim Piperacillin sodium / tazobactam 40/5 mg/ml
Süsteravim Amphotericin B cholesteryl sulfate complex 0.83 mg/ml
glükoos 5% 921
Ühilduv
Süsteravim Piperacillin sodium / tazobactam 40/5 mg/ml
Süsteravim Anidulafungin 0.5 mg/ml
glükoos 5% 1982
Ühilduv
Süsteravim Piperacillin sodium / tazobactam 40/5 mg/ml
Süsteravim Aztreonam 40 mg/ml
glükoos 5% 81
Ühilduv
Süsteravim Piperacillin sodium / tazobactam 40/5 mg/ml
Süsteravim Bivalirudin 5 mg/ml
glükoos 5% 1713
Ühilduv
Süsteravim Piperacillin sodium / tazobactam 40/5 mg/ml
Süsteravim Bleomycin sulfate 1 mg/ml
glükoos 5% 81
Ühilduv
Süsteravim Piperacillin sodium / tazobactam 200 mg/ml
Süsteravim Caffeine 10 mg/ml
mitte ükski 3964
Ühilduv
Süsteravim Piperacillin sodium / tazobactam 40/5 mg/ml
Süsteravim Carboplatin 5 mg/ml
glükoos 5% 81
Ühilduv
Süsteravim Piperacillin sodium / tazobactam 40/5 mg/ml
Süsteravim Carmustine 1.5 mg/ml
glükoos 5% 81
Ühilduv
Süsteravim Piperacillin sodium / tazobactam 40/5 mg/ml
Süsteravim Ceftolozane / tazobactam 10/5 mg/ml
naatriumkloriid 0.9% 3828
Kohene hägusus Sobimatu
Süsteravim Piperacillin sodium / tazobactam 40/5 mg/ml
Süsteravim Chlorpromazine hydrochloride 2 mg/ml
glükoos 5% 81
Ühilduv
Süsteravim Piperacillin sodium / tazobactam 40/5 mg/ml
Süsteravim Cisatracurium besylate 0.1 & 2 mg/ml
glükoos 5% 299
Sade 1 tunni pärast Sobimatu
Süsteravim Piperacillin sodium / tazobactam 40/5 mg/ml
Süsteravim Cisplatin 1 mg/ml
glükoos 5% 81
Ühilduv
Süsteravim Piperacillin sodium / tazobactam 40/5 mg/ml
Süsteravim Clindamycin phosphate 10 mg/ml
glükoos 5% 81
Ühilduv
Süsteravim Piperacillin sodium / tazobactam 40/5 mg/ml
Süsteravim Co-trimoxazole 0.8/4 mg/ml
glükoos 5% 81
Ühilduv
Süsteravim Piperacillin sodium / tazobactam 40/0.5 mg/ml
Süsteravim Colistin mesilate sodium 1.5 mg/ml
naatriumkloriid 0.9% 3997
Ühilduv
Süsteravim Piperacillin sodium / tazobactam 40/5 mg/ml
Süsteravim Cyclophosphamide 10 mg/ml
glükoos 5% 81
Ühilduv
Süsteravim Piperacillin sodium / tazobactam 40/5 mg/ml
Süsteravim Cytarabine 50 mg/ml
glükoos 5% 81
Kohene sade Sobimatu
Süsteravim Piperacillin sodium / tazobactam 40/5 mg/ml
Süsteravim Dacarbazine 4 mg/ml
glükoos 5% 81
Kohene hägusus Sobimatu
Süsteravim Piperacillin sodium / tazobactam 40/5 mg/ml
Süsteravim Daunorubicin hydrochloride 1 mg/ml
glükoos 5% 81
Kohene hägusus Sobimatu
Süsteravim Piperacillin sodium / tazobactam
Süsteravim Daunorubicin/cytarabine liposomale 0,4 mg/mL
naatriumkloriid 0.9% 4654
Kohene hägusus Sobimatu
Süsteravim Piperacillin sodium / tazobactam 40/5 mg/ml
Süsteravim Dobutamine hydrochloride 4 mg/ml
glükoos 5% 81
Ühilduv
Süsteravim Piperacillin sodium / tazobactam 40/5 mg/ml
Süsteravim Docetaxel 0.9 mg/ml
glükoos 5% 1754
Kohene hägusus Sobimatu
Süsteravim Piperacillin sodium / tazobactam 40/5 mg/ml
Süsteravim Doxorubicin hydrochloride 2 mg/ml
glükoos 5% 81
Kohene hägusus Sobimatu
Süsteravim Piperacillin sodium / tazobactam 40/5 mg/ml
Süsteravim Doxycycline hyclate 1 mg/ml
glükoos 5% 81
Kohene sade Sobimatu
Süsteravim Piperacillin sodium / tazobactam 40/5 mg/ml
Süsteravim Droperidol 0.4 mg/ml
glükoos 5% 81
Ühilduv
Süsteravim Piperacillin sodium / tazobactam 40/5 mg/ml
Süsteravim Etoposide 0.4 mg/ml
glükoos 5% 81
Ühilduv
Süsteravim Piperacillin sodium / tazobactam 40/5 mg/ml
Süsteravim Etoposide phosphate 5 mg/ml
naatriumkloriid 0.9% 1410
Kohene sade Sobimatu
Süsteravim Piperacillin sodium / tazobactam 40/5 mg/ml
Süsteravim Famotidine 2 mg/ml
glükoos 5% 81
Ühilduv
Süsteravim Piperacillin sodium / tazobactam 40/5 mg/ml
Süsteravim Fenoldopam mesylate 80 µg/ml
naatriumkloriid 0.9% 1803
Ühilduv
Süsteravim Piperacillin sodium / tazobactam 40/5 mg/ml
Süsteravim Floxuridine 3 mg/ml
glükoos 5% 81
Ühilduv
Süsteravim Piperacillin sodium / tazobactam 40/5 mg/ml
Süsteravim Fluconazole 2 mg/ml
glükoos 5% 81
Ühilduv
Süsteravim Piperacillin sodium / tazobactam 40/5 mg/ml
Süsteravim Fludarabine phosphate 1 mg/ml
glükoos 5% 81
Ühilduv
Süsteravim Piperacillin sodium / tazobactam 40/5 mg/ml
Süsteravim Fluorouracil 16 mg/ml
glükoos 5% 81
Ühilduv
Süsteravim Piperacillin sodium / tazobactam 40/5 mg/ml
Süsteravim Fosfomycin 30 mg/ml
naatriumkloriid 0.9% 4055
Sade 1 tunni pärast Sobimatu
Süsteravim Piperacillin sodium / tazobactam 40/5 mg/ml
Süsteravim Ganciclovir sodium 20 mg/ml
glükoos 5% 81
Keemiline ebastabiilsus Sobimatu
Süsteravim Piperacillin sodium / tazobactam
Süsteravim Gentamicin sulfate
3586
Ühilduv
Süsteravim Piperacillin sodium / tazobactam 40/5 mg/ml
Süsteravim Granisetron hydrochloride 0.05 mg/ml
glükoos 5% 182
Kohene sade Sobimatu
Süsteravim Piperacillin sodium / tazobactam 40/5 mg/ml
Süsteravim Haloperidol lactate 0.2 mg/ml
glükoos 5% 81
Täpsustamata sobimatus Sobimatu
Süsteravim Piperacillin sodium / tazobactam
Ringer laktaat 3586
Täpsustamata sobimatus Sobimatu
Süsteravim Piperacillin sodium / tazobactam
Süsteravim Aciclovir sodium
3595
Keemiline ebastabiilsus Sobimatu
Süsteravim Piperacillin sodium / tazobactam
Süsteravim Amikacin sulfate
3549
Ühilduv
Süsteravim Piperacillin sodium / tazobactam 40/5 mg/ml
Süsteravim Aminophylline 2.5 mg/ml
glükoos 5% 81
Ühilduv
Süsteravim Piperacillin sodium / tazobactam 100 mg/ml
Süsteravim Amoxicillin sodium / clavulanic acid 100/10 mg/ml
3824
Kohene sade Sobimatu
Süsteravim Piperacillin sodium / tazobactam 112.5 mg/ml
Süsteravim Azithromycine 2 mg/ml
naatriumkloriid 0.9% 1800
Ühilduv
Süsteravim Piperacillin sodium / tazobactam 40/5 mg/ml
Süsteravim Bumetanide 0.04 mg/ml
glükoos 5% 81
Ühilduv
Süsteravim Piperacillin sodium / tazobactam 40/5 mg/ml
Süsteravim Buprenorphine hydrochloride 0.04 mg/ml
glükoos 5% 81
Ühilduv
Süsteravim Piperacillin sodium / tazobactam 40/5 mg/ml
Süsteravim Butorphanol tartrate 0.04 mg/ml
glükoos 5% 81
Ühilduv
Süsteravim Piperacillin sodium / tazobactam 200 mg/ml
Süsteravim Caffeine 10 mg/ml
süstevesi 4837
Ühilduv
Süsteravim Piperacillin sodium / tazobactam 200 mg/ml
Süsteravim Caffeine citrate 20 mg/ml
süstevesi 4837
Ühilduv
Süsteravim Piperacillin sodium / tazobactam 40/5 mg/ml
Süsteravim Calcium gluconate 40 mg/ml
glükoos 5% 81
Kohene sade Sobimatu
Süsteravim Piperacillin sodium / tazobactam 90 mg/ml
Süsteravim Caspofungin acetate 0.5 mg/ml
naatriumkloriid 0.9% 2233
Kohene sade Sobimatu
Süsteravim Piperacillin sodium / tazobactam 40/5 mg/ml
Süsteravim Caspofungin acetate 0,7 mg/ml
naatriumkloriid 0.9% 2247
Ühilduv
Süsteravim Piperacillin sodium / tazobactam 40/5 mg/ml
Süsteravim Ceftolozane / tazobactam 10/5 mg/ml
glükoos 5% 3828
Ühilduv
Süsteravim Piperacillin sodium / tazobactam 40/5 mg/ml
Süsteravim Cimetidine hydrochloride 12 mg/ml
glükoos 5% 81
Täpsustamata sobimatus Sobimatu
Süsteravim Piperacillin sodium / tazobactam
Süsteravim Ciprofloxacin lactate
3529
Sade 4 tunni pärast Sobimatu
Süsteravim Piperacillin sodium / tazobactam 40/5 mg/ml
Süsteravim Cisatracurium besylate 5 mg/ml
glükoos 5% 299
Ühilduv
Süsteravim Piperacillin sodium / tazobactam 225 mg/ml
Süsteravim Cloxacillin sodium 100 mg/ml
süstevesi 3012
Subvisuaalne kokkusobimatus Sobimatu
Süsteravim Piperacillin sodium / tazobactam
Süsteravim Daunorubicin/cytarabine liposomale
4354
Ühilduv
Süsteravim Piperacillin sodium / tazobactam 40/5 mg/ml
Süsteravim Dexamethasone sodium phosphate 1 mg/ml
glükoos 5% 81
Ühilduv
Süsteravim Piperacillin sodium / tazobactam 40/5 mg/ml
Süsteravim Dexmedetomidine 4 µg/ml
naatriumkloriid 0.9% 1712
Ühilduv
Süsteravim Piperacillin sodium / tazobactam
Süsteravim Dimenhydrinate
2087
Ühilduv
Süsteravim Piperacillin sodium / tazobactam 40/5 mg/ml
Süsteravim Diphenhydramine hydrochloride 2 mg/ml
glükoos 5% 81
Ühilduv
Süsteravim Piperacillin sodium / tazobactam 40/5 mg/ml
Süsteravim Dopamine hydrochloride 3.2 mg/ml
glükoos 5% 81
Hägususe kaotus Sobimatu
Süsteravim Piperacillin sodium / tazobactam 40/5 mg/ml
Süsteravim Doxorubicin hydrochloride liposome peg 0.4 mg/ml
glükoos 5% 251
Ühilduv
Süsteravim Piperacillin sodium / tazobactam 40/5 mg/ml
Süsteravim Enalaprilate 0.1 mg/ml
glükoos 5% 81
Ühilduv
Süsteravim Piperacillin sodium / tazobactam 40/5 mg/ml
Süsteravim Eravacycline 0,6 mg/ml
naatriumkloriid 0.9% 4434
Täpsustamata sobimatus Sobimatu
Süsteravim Piperacillin sodium / tazobactam
Süsteravim Erythromycin lactobionate
3674
Ühilduv
Süsteravim Piperacillin sodium / tazobactam 40/5 mg/ml
Süsteravim Folinate calcium 2 mg/ml
glükoos 5% 81
Ühilduv
Süsteravim Piperacillin sodium / tazobactam 40/5 mg/ml
Süsteravim Fosfomycin 30 mg/ml
glükoos 5% 4055
Ühilduv
Süsteravim Piperacillin sodium / tazobactam 40/5 mg/ml
Süsteravim Furosemide 3 mg/ml
glükoos 5% 81
Ühilduv
Süsteravim Piperacillin sodium / tazobactam 40/5 mg/ml
Süsteravim Gallium nitrate 0.4 mg/ml
glükoos 5% 81
Kohene hägusus Sobimatu
Süsteravim Piperacillin sodium / tazobactam 40/5 mg/ml
Süsteravim Gemcitabine hydrochloride 10 mg/ml
naatriumkloriid 0.9% 1423
Täpsustamata sobimatus Sobimatu
Süsteravim Piperacillin sodium / tazobactam
Süsteravim Gentamicin sulfate
3520
Täpsustamata sobimatus Sobimatu
Süsteravim Piperacillin sodium / tazobactam
Süsteravim Gentamicin sulfate
3643
Ühilduv
Süsteravim Piperacillin sodium / tazobactam 0.5/0.0625 mg/ml
Süsteravim Heparin sodium 0.5 UI/ml
Dianéal® 1.5% glucose (Baxter) 4180
Ühilduv
Süsteravim Piperacillin sodium / tazobactam 0.5/0.0625 mg/ml
Süsteravim Heparin sodium 0.5 UI/ml
Extraneal® (Baxter) 4180
Ühilduv
Süsteravim Piperacillin sodium / tazobactam 1.38/0.1725 mg/ml
Süsteravim Heparin sodium 1.4 UI/ml
Physionéal® 2.27 (Baxter) 4180
Ühilduv
Süsteravim Piperacillin sodium / tazobactam 0.5/0.0625 mg/ml
Süsteravim Heparin sodium 0.5 UI/ml
Dianéal® 4.25% glucose (Baxter) 4180
Ühilduv
Süsteravim Piperacillin sodium / tazobactam 1.38/0.1725 mg/ml
Süsteravim Heparin sodium 1.4 UI/ml
Physionéal® 3.86 (Baxter) 4180
Ühilduv
Süsteravim Piperacillin sodium / tazobactam 1.38/0.1725 mg/ml
Süsteravim Heparin sodium 1.4 UI/ml
Physionéal® 1.36 (Baxter) 4180
Ühilduv
Süsteravim Piperacillin sodium / tazobactam 0.5/0.0625 mg/ml
Süsteravim Heparin sodium 0.5 UI/ml
Dianéal® 2.5% glucose (Baxter) 4180
Ühilduv
Süsteravim Piperacillin sodium / tazobactam 40/5 mg/ml
Süsteravim Heparin sodium 100 UI/ml
glükoos 5% 81
Ühilduv
Süsteravim Piperacillin sodium / tazobactam 40/5 mg/ml
Süsteravim Hetastarch 60 mg/ml
konkreetsed lahusti 1721
Ühilduv
Süsteravim Piperacillin sodium / tazobactam 40/5 mg/ml
Süsteravim Hydrocortisone sodium succinate 1 mg/ml
glükoos 5% 81
Ühilduv
Süsteravim Piperacillin sodium / tazobactam 40/5 mg/ml
Süsteravim Hydromorphone hydrochloride 0.5 mg/ml
glükoos 5% 81
Kohene sade Sobimatu
Süsteravim Piperacillin sodium / tazobactam 40/5 mg/ml
Süsteravim Hydroxyzine dihydrochloride 4 mg/ml
glükoos 5% 81
Kohene hägusus Sobimatu
Süsteravim Piperacillin sodium / tazobactam 40/5 mg/ml
Süsteravim Idarubicin hydrochloride 0.5 mg/ml
glükoos 5% 81
Ühilduv
Süsteravim Piperacillin sodium / tazobactam 40/5 mg/ml
Süsteravim Ifosfamide 25 mg/ml
glükoos 5% 81
Ühilduv
Süsteravim Piperacillin sodium / tazobactam 166/20.83 mg/ml
Süsteravim Insulin 1 UI/ml
naatriumkloriid 0.9% 4254
Ühilduv
Süsteravim Piperacillin sodium / tazobactam 45 mg/ml
Süsteravim Insulin aspart 1 UI/ml
naatriumkloriid 0.9% 1508
Ühilduv
Süsteravim Piperacillin sodium / tazobactam 45 mg/ml
Süsteravim Insulin aspart 1 UI/ml
glükoos 5% 1508
Ühilduv
Süsteravim Piperacillin sodium / tazobactam 40/5 mg/ml
Süsteravim Isavuconazonium sulfate 1.5 mg/ml
naatriumkloriid 0.9% 3829
Ühilduv
Süsteravim Piperacillin sodium / tazobactam 40/5 mg/ml
Süsteravim Lansoprazole 0.55 mg/ml
naatriumkloriid 0.9% 1625
Ühilduv
Süsteravim Piperacillin sodium / tazobactam 166/20.83 mg/ml
Süsteravim Levetiracetam 20.83 mg/ml
glükoos 5% 4254
Ühilduv
Süsteravim Piperacillin sodium / tazobactam 166/20.83 mg/ml
Süsteravim Levetiracetam 20.83 mg/ml
naatriumkloriid 0.9% 4254
Ühilduv
Süsteravim Piperacillin sodium / tazobactam 80 mg/ml
Parenteraalse toitmise (lipiide tasuta) 3948
Ühilduv
Süsteravim Piperacillin sodium / tazobactam 166/20.83 mg/ml
Süsteravim Insulin 1 UI/ml
glükoos 5% 4254
Ühilduv
Süsteravim Piperacillin sodium / tazobactam 33,75 mg/ml
Süsteravim Levetiracetam 5 mg/ml
naatriumkloriid 0.9% 4569
Ühilduv
Süsteravim Piperacillin sodium / tazobactam 40/5 mg/ml
Parenteraalse toitmise (lipiide tasuta) 301
Kohene hägusus Sobimatu
Süsteravim Piperacillin sodium / tazobactam 40/5 mg/ml
Süsteravim Isavuconazonium sulfate 1.5 mg/ml
glükoos 5% 3829
Täpsustamata sobimatus Sobimatu
Süsteravim Piperacillin sodium / tazobactam
NaHCO3 3586
Keemiline ebastabiilsus Sobimatu
Süsteravim Piperacillin sodium / tazobactam
Süsteravim Kanamycin sulfate
3586
Ühilduv
Süsteravim Piperacillin sodium / tazobactam 200 mg/ml
Süsteravim Ketamine hydrochloride 50 mg/ml
2109
Subvisuaalne kokkusobimatus Sobimatu
Süsteravim Piperacillin sodium / tazobactam 45 mg/ml
Süsteravim Levetiracetam 5 mg/ml
naatriumkloriid 0.9% 4569
Ühilduv
Süsteravim Piperacillin sodium / tazobactam 125 mg/ml
Süsteravim Linezolid 2 mg/ml
4928
Ühilduv
Süsteravim Piperacillin sodium / tazobactam 40/5 mg/ml
Süsteravim Linezolid 2 mg/ml
mitte ükski 1925
Ühilduv
Süsteravim Piperacillin sodium / tazobactam 40/5 mg/ml
Süsteravim Lorazepam 0.1 mg/ml
glükoos 5% 81
Ühilduv
Süsteravim Piperacillin sodium / tazobactam 40/5 mg/ml
Süsteravim Magnesium sulfate 100 mg/ml
glükoos 5% 81
Ühilduv
Süsteravim Piperacillin sodium / tazobactam 40/5 mg/ml
Süsteravim Mannitol 150 mg/ml
glükoos 5% 81
Ühilduv
Süsteravim Piperacillin sodium / tazobactam 200 mg/ml
Süsteravim Meropenem 50 mg/ml
süstevesi 4319
Ühilduv
Süsteravim Piperacillin sodium / tazobactam 40/5 mg/ml
Süsteravim Mesna 10 mg/ml
glükoos 5% 81
Ühilduv
Süsteravim Piperacillin sodium / tazobactam 40/5 mg/ml
Süsteravim Methotrexate sodium 15 mg/ml
glükoos 5% 81
Ühilduv
Süsteravim Piperacillin sodium / tazobactam 40/5 mg/ml
Süsteravim Methylprednisolone sodium succinate 5 mg/ml
glükoos 5% 81
Ühilduv
Süsteravim Piperacillin sodium / tazobactam 40/5 mg/ml
Süsteravim Metoclopramide hydrochloride 5 mg/ml
glükoos 5% 81
Ühilduv
Süsteravim Piperacillin sodium / tazobactam 40/5 mg/ml
Süsteravim Metronidazole 5 mg/ml
glükoos 5% 81
Kohene sade Sobimatu
Süsteravim Piperacillin sodium / tazobactam 40/5 mg/ml
Süsteravim Minocycline hydrochloride 1 mg/ml
glükoos 5% 81
Värvi muutus 4 tunni pärast Sobimatu
Süsteravim Piperacillin sodium / tazobactam 40/5 mg/ml
Süsteravim Mitomycin 0.5 mg/ml
glükoos 5% 81
Kohene sade Sobimatu
Süsteravim Piperacillin sodium / tazobactam 40/5 mg/ml
Süsteravim Mitoxantrone dihydrochloride 0.5 mg/ml
glükoos 5% 81
Ühilduv
Süsteravim Piperacillin sodium / tazobactam 40/5 mg/ml
Süsteravim Morphine sulfate 1 mg/ml
glükoos 5% 81
Ühilduv
Süsteravim Piperacillin sodium / tazobactam
Süsteravim N-acetylcysteine 200 mg/ml
mitte ükski 3766
Kohene hägusus Sobimatu
Süsteravim Piperacillin sodium / tazobactam 40/5 mg/ml
Süsteravim Nalbuphine hydrochloride 10 mg/ml
glükoos 5% 81
Ühilduv
Süsteravim Piperacillin sodium / tazobactam 200 mg/ml
Süsteravim Naloxone hydrochloride 0.4 mg/ml
mitte ükski 3408
Keemiline ebastabiilsus Sobimatu
Süsteravim Piperacillin sodium / tazobactam
Süsteravim Netilmicin sulfate
3586
Ühilduv
Süsteravim Piperacillin sodium / tazobactam 20/2,5 & 40/5 mg/ml
Süsteravim Ondansetron hydrochloride 0,015 >> 0,15 mg/ml
naatriumkloriid 0.9% 16
Ühilduv
Süsteravim Piperacillin sodium / tazobactam 40/5 mg/ml
Süsteravim Ondansetron hydrochloride 0.1 mg/ml
glükoos 5% 81
Ühilduv
Süsteravim Piperacillin sodium / tazobactam 200/25 mg/ml
Süsteravim Oxycodone hydrochloride 1 mg/ml
naatriumkloriid 0.9% 4842
Sade 1 tunni pärast Sobimatu
Süsteravim Piperacillin sodium / tazobactam
Süsteravim Pantoprazole sodium
2090
Ühilduv
Süsteravim Piperacillin sodium / tazobactam 100 mg/ml
Süsteravim Paracetamol 10 mg/ml
mitte ükski 3571
Ühilduv
Süsteravim Piperacillin sodium / tazobactam 100 mg/ml
Süsteravim Paracetamol 10 mg/ml
4742
Ühilduv
Süsteravim Piperacillin sodium / tazobactam 200 mg/ml
Süsteravim Pentoxifyllin 5 mg/ml
naatriumkloriid 0.9% 4538
Ühilduv
Süsteravim Piperacillin sodium / tazobactam 40/5 mg/ml
Süsteravim Pethidine hydrochloride 4 mg/ml
glükoos 5% 81
Keemiline ebastabiilsus Sobimatu
Süsteravim Piperacillin sodium / tazobactam
Süsteravim Plazomicin sulfate
3586
Ühilduv
Süsteravim Piperacillin sodium / tazobactam 40/5 mg/ml
Süsteravim Plazomicin sulfate 24 mg/ml
naatriumkloriid 0.9% 4145
Kohene sade Sobimatu
Süsteravim Piperacillin sodium / tazobactam 160 mg/ml
Süsteravim Posaconazole 1,2 mg/ml
naatriumkloriid 0.9% 4521
Ühilduv
Süsteravim Piperacillin sodium / tazobactam 40/5 mg/ml
Süsteravim Potassium chloride 100 mEq/l
glükoos 5% 81
Kohene hägusus Sobimatu
Süsteravim Piperacillin sodium / tazobactam 40/5 mg/ml
Süsteravim Prochlorperazine edysilate 0.5 mg/ml
glükoos 5% 81
Kohene hägusus Sobimatu
Süsteravim Piperacillin sodium / tazobactam 40/5 mg/ml
Süsteravim Promethazine hydrochloride 2 mg/ml
glükoos 5% 81
Ühilduv
Süsteravim Piperacillin sodium / tazobactam 40/5 mg/ml
Süsteravim Ranitidine hydrochloride 2 mg/ml
glükoos 5% 81
Ühilduv
Süsteravim Piperacillin sodium / tazobactam 40/5 mg/ml
Süsteravim Remifentanil hydrochloride 25 & 250 µg/ml
naatriumkloriid 0.9% 59
Kohene sade Sobimatu
Süsteravim Piperacillin sodium / tazobactam 200 mg/ml
Süsteravim Salbutamol sulfate 1 mg/ml
mitte ükski 3216
Ühilduv
Süsteravim Piperacillin sodium / tazobactam 40/5 mg/ml
Süsteravim Sargramostim 10 µg/ml
glükoos 5% 81
Ühilduv
Süsteravim Piperacillin sodium / tazobactam 200 mg/ml
Süsteravim Sildenafil citrate 0,6 mg/ml
glükoos 5% 4845
Täpsustamata sobimatus Sobimatu
Süsteravim Piperacillin sodium / tazobactam
Süsteravim Sodium bicarbonate
3586
Ühilduv
Süsteravim Piperacillin sodium / tazobactam 40/5 mg/ml
Süsteravim Sodium bicarbonate 84 mg/ml
glükoos 5% 81
Keemiline ebastabiilsus Sobimatu
Süsteravim Piperacillin sodium / tazobactam
Süsteravim Streptomycin sulfate
3586
Sade 1 tunni pärast Sobimatu
Süsteravim Piperacillin sodium / tazobactam 40/5 mg/ml
Süsteravim Streptozocin 40 mg/ml
glükoos 5% 81
Ühilduv
Süsteravim Piperacillin sodium / tazobactam 40/5 mg/ml
Süsteravim Sulbactam/durlobactam 15/15 mg/ml
naatriumkloriid 0.9% 4801
Ühilduv
Süsteravim Piperacillin sodium / tazobactam 40/5 mg/ml
Süsteravim Tedizolid phosphate 0.8 mg/ml
naatriumkloriid 0.9% 3827
Ühilduv
Süsteravim Piperacillin sodium / tazobactam 40/5 mg/ml
Süsteravim Telavancin hydrochloride 7.5 mg/ml
glükoos 5% 3254
Ühilduv
Süsteravim Piperacillin sodium / tazobactam 40/5 mg/ml
Süsteravim Telavancin hydrochloride 7.5 mg/ml
naatriumkloriid 0.9% 3254
Ühilduv
Süsteravim Piperacillin sodium / tazobactam 40/5 mg/ml
Süsteravim Telavancin hydrochloride 7.5 mg/ml
Ringer laktaat 3254
Keemiline ebastabiilsus Sobimatu
Süsteravim Piperacillin sodium / tazobactam 200 mg/ml
Süsteravim Temocilline 83.33 mg/ml
süstevesi 2231
Täpsustamata sobimatus Sobimatu
Süsteravim Piperacillin sodium / tazobactam
Süsteravim Temocilline
4470
Ühilduv
Süsteravim Piperacillin sodium / tazobactam 166/20.83 mg/ml
Süsteravim Thiamine hydrochloride 0.4 mg/ml
glükoos 5% 4254
Kohene sade Sobimatu
Süsteravim Piperacillin sodium / tazobactam 200 mg/ml
Süsteravim Thiopental sodium 25 mg/ml
naatriumkloriid 0.9% 3767
Ühilduv
Süsteravim Piperacillin sodium / tazobactam 40/5 mg/ml
Süsteravim Thiotepa 1 mg/ml
glükoos 5% 81
Ühilduv
Süsteravim Piperacillin sodium / tazobactam
Süsteravim Tigecycline
naatriumkloriid 0.9% 3332
Keemiline ebastabiilsus Sobimatu
Süsteravim Piperacillin sodium / tazobactam
Süsteravim Tobramycin sulfate
3586
Kohene sade Sobimatu
Süsteravim Piperacillin sodium / tazobactam 112,5 mg/ml
Süsteravim Vancomycin hydrochloride 10 mg/ml
glükoos 5% 3428
Ühilduv
Süsteravim Piperacillin sodium / tazobactam
glükoos 5% 3586
Ühilduv
Süsteravim Piperacillin sodium / tazobactam
naatriumkloriid 0.9% 5069
Kohene sade Sobimatu
Süsteravim Piperacillin sodium / tazobactam 100/12,5 mg/ml
Süsteravim Vancomycin hydrochloride 10 mg/ml
3365
Kohene sade Sobimatu
Süsteravim Piperacillin sodium / tazobactam 40 >> 100 mg/ml
Süsteravim Vancomycin hydrochloride 10 mg/ml
naatriumkloriid 0.9% 2475
Kohene sade Sobimatu
Süsteravim Piperacillin sodium / tazobactam
Süsteravim Vancomycin hydrochloride >8 mg/ml
naatriumkloriid 0.9% 3841
Ühilduv
Süsteravim Piperacillin sodium / tazobactam 16 >> 100 mg/ml
Süsteravim Vancomycin hydrochloride 2 mg/ml
naatriumkloriid 0.9% 2475
Ühilduv
Süsteravim Piperacillin sodium / tazobactam 16 >> 100 mg/ml
Süsteravim Vancomycin hydrochloride 5 mg/ml
naatriumkloriid 0.9% 2475
Ühilduv
Süsteravim Piperacillin sodium / tazobactam 16 >> 30 mg/ml
Süsteravim Vancomycin hydrochloride 10 mg/ml
naatriumkloriid 0.9% 2475
Ühilduv
Süsteravim Piperacillin sodium / tazobactam 30/3,75 mg/ml
Süsteravim Vancomycin hydrochloride 4 mg/ml
naatriumkloriid 0.9% 3421
Ühilduv
Süsteravim Piperacillin sodium / tazobactam 40/5 mg/ml
Süsteravim Vancomycin hydrochloride 4 mg/ml
naatriumkloriid 0.9% 3421
Ühilduv
Süsteravim Piperacillin sodium / tazobactam 33.75 >> 90 mg/ml
Süsteravim Vancomycin hydrochloride 4 >> 7 mg/ml
naatriumkloriid 0.9% 3841
Kohene sade Sobimatu
Süsteravim Piperacillin sodium / tazobactam 80 & 90 mg/ml
Süsteravim Vancomycin hydrochloride 8 mg/ml
naatriumkloriid 0.9% 3841
Ühilduv
Süsteravim Piperacillin sodium / tazobactam 33.75 >> 67.5 mg/ml
Süsteravim Vancomycin hydrochloride 8 mg/ml
naatriumkloriid 0.9% 3841
Kohene hägusus Sobimatu
Süsteravim Piperacillin sodium / tazobactam 40/5 mg/ml
Süsteravim Vancomycin hydrochloride 10 mg/ml
glükoos 5% 81
Täpsustamata sobimatus Sobimatu
Süsteravim Piperacillin sodium / tazobactam 200 mg/ml
Süsteravim Vancomycin hydrochloride 10 mg/ml
glükoos 5% 3385
Kohene sade Sobimatu
Süsteravim Piperacillin sodium / tazobactam 10/1.25 >> 200/25 mg/ml
Süsteravim Vancomycin hydrochloride 20 mg/ml
glükoos 5% 1674
Kohene sade Sobimatu
Süsteravim Piperacillin sodium / tazobactam 80 >> 100 mg/ml
Süsteravim Vancomycin hydrochloride 4 mg/ml
glükoos 5% 2475
Kohene sade Sobimatu
Süsteravim Piperacillin sodium / tazobactam 16 >> 100 mg/ml
Süsteravim Vancomycin hydrochloride 8 mg/ml
glükoos 5% 2475
Kohene sade Sobimatu
Süsteravim Piperacillin sodium / tazobactam 28 mg/ml
Süsteravim Vancomycin hydrochloride 10 & 15 mg/ml
glükoos 5% 3984
Kohene sade Sobimatu
Süsteravim Piperacillin sodium / tazobactam 67,5 mg/ml
Süsteravim Vancomycin hydrochloride 5 mg/ml
glükoos 5% 3960
Ühilduv
Süsteravim Piperacillin sodium / tazobactam 16 >> 40 mg/ml
Süsteravim Vancomycin hydrochloride 4 mg/ml
glükoos 5% 2475
Ühilduv
Süsteravim Piperacillin sodium / tazobactam 28 mg/ml
Süsteravim Vancomycin hydrochloride 5 mg/ml
glükoos 5% 3984
Ühilduv
Süsteravim Piperacillin sodium / tazobactam 1/0.125 >> 200/25 mg/ml
Süsteravim Vancomycin hydrochloride 2 mg/ml
glükoos 5% 1674
Ühilduv
Süsteravim Piperacillin sodium / tazobactam 1/0.125 mg/ml
Süsteravim Vancomycin hydrochloride 20 mg/ml
glükoos 5% 1674
Ühilduv
Süsteravim Piperacillin sodium / tazobactam 112.5 mg/ml
Süsteravim Vasopressin 0.2 UI/ml
naatriumkloriid 0.9% 2017
Ühilduv
Süsteravim Piperacillin sodium / tazobactam 40/5 mg/ml
Süsteravim Vinblastine sulfate 0.12 mg/ml
glükoos 5% 81
Ühilduv
Süsteravim Piperacillin sodium / tazobactam 40/5 mg/ml
Süsteravim Vincristine sulfate 0.05 mg/ml
glükoos 5% 81
Ühilduv
Süsteravim Piperacillin sodium / tazobactam 40/5 mg/ml
Süsteravim Zidovudine 4 mg/ml
glükoos 5% 81
Ühilduv
Süsteravim Piperacillin sodium / tazobactam 40/5 mg/ml
Normosol® 4655

  Mentions Légales