Siste oppdatering :
18/03/2026
Antibiotika   Piperacillin sodium / tazobactam  
Injeksjon
Oppløsningsstabilitet Stabilitet i blandinger Faktorer som påvirker stabiliteten Kompatibilitet Administrasjonsmåte Referanser pdf
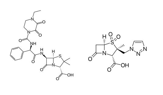
   Kjemisk struktur  

Handelsnavn   Handelsnavn     

Handelsnavn er veiledende og sammensetning av hjelpestoffer kan være forskjellig avhengig av land og produsent

Bagotaz Argentina
Betampil Ecuador
Bioval Chile
Petezam Argentina
Piperac Tyskland
Piperacillin tazobactam Belgia, Canada, Tyskland
Piperazam Brasil
Pipetazo Chile
Pipitaz Østerrike
Pixamol Colombia
Tazobac Ecuador, Italia, Portugal, Sveits
Tazocel Spania
Tazocilline Frankrike
Tazocin Argentina, Australia, Brasil, Colombia, Danmark, De forente arabiske emirater, Egypt, Finland, Hellas, Italia, Kroatia, Luxembourg, Mexico, Nederland, New Zealand, Nord-Irland, Norge, Peru, Polen, Storbritannia, Sverige, Sør-Afrika, Tyrkia, Ungarn
Tazonam Chile, Østerrike
Tazopip Australia
Tazpen Colombia, Mexico
Tazrobida Colombia
Tigux Chile
Tratac Chile
Trital Ecuador
Zosyn Japan, USA
Kompatibilitet   Injeksjon   Kompatibilitet : Piperacillin sodium / tazobactam              
Dette skjermbildet viser kompatibilitet eller inkompatibilitet med, i dette tilfellet, typen inkompatibilitet (nedbør, fargeendring, modifisering av en emulsjon, etc.). Kompatibilitetene som er vist her, er for det meste bare fysiske, og den kjemiske stabiliteten til hvert molekyl blir sjelden vurdert. Evalueringen av disse blandingene ble studert for å vurdere muligheten for Y-stedadministrasjon til pasienten. Disse dataene kan ikke brukes til å lage blandinger på forhånd i poser eller sprøyter. Denne typen informasjon er tilgjengelig på skjermen "Stabilitet i blanding".
Legemiddel Oppløsningsmiddel Referanser
Nedbør etter 1 time Uforenlig
Injeksjon Piperacillin sodium / tazobactam 40/5 mg/ml
Injeksjon Aciclovir sodium 7 mg/ml
Glukose 5 % 81
Kompatibel
Injeksjon Piperacillin sodium / tazobactam 40/5 mg/ml
Parenteral ernæring (med lipider) 1415
Kompatibel
Injeksjon Piperacillin sodium / tazobactam 200 mg/ml
Ringers laktatoppløsning 4603
Kompatibel
Injeksjon Piperacillin sodium / tazobactam 80 mg/ml
Parenteral ernæring (med lipider) 3948
Kjemisk ustabilitet Uforenlig
Injeksjon Piperacillin sodium / tazobactam
Injeksjon Amikacin sulfate
3586
Kompatibel
Injeksjon Piperacillin sodium / tazobactam 200 mg/ml
Parenteral ernæring (med lipider) 4924
Turbiditet på 24 timer Uforenlig
Injeksjon Piperacillin sodium / tazobactam 60 mg/ml
Injeksjon Amiodarone hydrochloride 6 mg/ml
Glukose 5 % 1611
Umiddelbar nedbør Uforenlig
Injeksjon Piperacillin sodium / tazobactam 40/5 mg/ml
Injeksjon Amphotericin B 0.6 mg/ml
Glukose 5 % 81
Umiddelbar nedbør Uforenlig
Injeksjon Piperacillin sodium / tazobactam 40/5 mg/ml
Injeksjon Amphotericin B cholesteryl sulfate complex 0.83 mg/ml
Glukose 5 % 921
Kompatibel
Injeksjon Piperacillin sodium / tazobactam 40/5 mg/ml
Injeksjon Anidulafungin 0.5 mg/ml
Glukose 5 % 1982
Kompatibel
Injeksjon Piperacillin sodium / tazobactam 40/5 mg/ml
Injeksjon Aztreonam 40 mg/ml
Glukose 5 % 81
Kompatibel
Injeksjon Piperacillin sodium / tazobactam 40/5 mg/ml
Injeksjon Bivalirudin 5 mg/ml
Glukose 5 % 1713
Kompatibel
Injeksjon Piperacillin sodium / tazobactam 40/5 mg/ml
Injeksjon Bleomycin sulfate 1 mg/ml
Glukose 5 % 81
Kompatibel
Injeksjon Piperacillin sodium / tazobactam 200 mg/ml
Injeksjon Caffeine 10 mg/ml
Ingen 3964
Kompatibel
Injeksjon Piperacillin sodium / tazobactam 40/5 mg/ml
Injeksjon Carboplatin 5 mg/ml
Glukose 5 % 81
Kompatibel
Injeksjon Piperacillin sodium / tazobactam 40/5 mg/ml
Injeksjon Carmustine 1.5 mg/ml
Glukose 5 % 81
Kompatibel
Injeksjon Piperacillin sodium / tazobactam 40/5 mg/ml
Injeksjon Ceftolozane / tazobactam 10/5 mg/ml
Natriumklorid 0,9 % 3828
Umiddelbar turbiditet Uforenlig
Injeksjon Piperacillin sodium / tazobactam 40/5 mg/ml
Injeksjon Chlorpromazine hydrochloride 2 mg/ml
Glukose 5 % 81
Kompatibel
Injeksjon Piperacillin sodium / tazobactam 40/5 mg/ml
Injeksjon Cisatracurium besylate 0.1 & 2 mg/ml
Glukose 5 % 299
Nedbør etter 1 time Uforenlig
Injeksjon Piperacillin sodium / tazobactam 40/5 mg/ml
Injeksjon Cisplatin 1 mg/ml
Glukose 5 % 81
Kompatibel
Injeksjon Piperacillin sodium / tazobactam 40/5 mg/ml
Injeksjon Clindamycin phosphate 10 mg/ml
Glukose 5 % 81
Kompatibel
Injeksjon Piperacillin sodium / tazobactam 40/5 mg/ml
Injeksjon Co-trimoxazole 0.8/4 mg/ml
Glukose 5 % 81
Kompatibel
Injeksjon Piperacillin sodium / tazobactam 40/0.5 mg/ml
Injeksjon Colistin mesilate sodium 1.5 mg/ml
Natriumklorid 0,9 % 3997
Kompatibel
Injeksjon Piperacillin sodium / tazobactam 40/5 mg/ml
Injeksjon Cyclophosphamide 10 mg/ml
Glukose 5 % 81
Kompatibel
Injeksjon Piperacillin sodium / tazobactam 40/5 mg/ml
Injeksjon Cytarabine 50 mg/ml
Glukose 5 % 81
Umiddelbar nedbør Uforenlig
Injeksjon Piperacillin sodium / tazobactam 40/5 mg/ml
Injeksjon Dacarbazine 4 mg/ml
Glukose 5 % 81
Umiddelbar turbiditet Uforenlig
Injeksjon Piperacillin sodium / tazobactam 40/5 mg/ml
Injeksjon Daunorubicin hydrochloride 1 mg/ml
Glukose 5 % 81
Umiddelbar turbiditet Uforenlig
Injeksjon Piperacillin sodium / tazobactam
Injeksjon Daunorubicin/cytarabine liposomale 0,4 mg/mL
Natriumklorid 0,9 % 4654
Umiddelbar turbiditet Uforenlig
Injeksjon Piperacillin sodium / tazobactam 40/5 mg/ml
Injeksjon Dobutamine hydrochloride 4 mg/ml
Glukose 5 % 81
Kompatibel
Injeksjon Piperacillin sodium / tazobactam 40/5 mg/ml
Injeksjon Docetaxel 0.9 mg/ml
Glukose 5 % 1754
Umiddelbar turbiditet Uforenlig
Injeksjon Piperacillin sodium / tazobactam 40/5 mg/ml
Injeksjon Doxorubicin hydrochloride 2 mg/ml
Glukose 5 % 81
Umiddelbar turbiditet Uforenlig
Injeksjon Piperacillin sodium / tazobactam 40/5 mg/ml
Injeksjon Doxycycline hyclate 1 mg/ml
Glukose 5 % 81
Umiddelbar nedbør Uforenlig
Injeksjon Piperacillin sodium / tazobactam 40/5 mg/ml
Injeksjon Droperidol 0.4 mg/ml
Glukose 5 % 81
Kompatibel
Injeksjon Piperacillin sodium / tazobactam 40/5 mg/ml
Injeksjon Etoposide 0.4 mg/ml
Glukose 5 % 81
Kompatibel
Injeksjon Piperacillin sodium / tazobactam 40/5 mg/ml
Injeksjon Etoposide phosphate 5 mg/ml
Natriumklorid 0,9 % 1410
Umiddelbar nedbør Uforenlig
Injeksjon Piperacillin sodium / tazobactam 40/5 mg/ml
Injeksjon Famotidine 2 mg/ml
Glukose 5 % 81
Kompatibel
Injeksjon Piperacillin sodium / tazobactam 40/5 mg/ml
Injeksjon Fenoldopam mesylate 80 µg/ml
Natriumklorid 0,9 % 1803
Kompatibel
Injeksjon Piperacillin sodium / tazobactam 40/5 mg/ml
Injeksjon Floxuridine 3 mg/ml
Glukose 5 % 81
Kompatibel
Injeksjon Piperacillin sodium / tazobactam 40/5 mg/ml
Injeksjon Fluconazole 2 mg/ml
Glukose 5 % 81
Kompatibel
Injeksjon Piperacillin sodium / tazobactam 40/5 mg/ml
Injeksjon Fludarabine phosphate 1 mg/ml
Glukose 5 % 81
Kompatibel
Injeksjon Piperacillin sodium / tazobactam 40/5 mg/ml
Injeksjon Fluorouracil 16 mg/ml
Glukose 5 % 81
Kompatibel
Injeksjon Piperacillin sodium / tazobactam 40/5 mg/ml
Injeksjon Fosfomycin 30 mg/ml
Natriumklorid 0,9 % 4055
Nedbør etter 1 time Uforenlig
Injeksjon Piperacillin sodium / tazobactam 40/5 mg/ml
Injeksjon Ganciclovir sodium 20 mg/ml
Glukose 5 % 81
Kjemisk ustabilitet Uforenlig
Injeksjon Piperacillin sodium / tazobactam
Injeksjon Gentamicin sulfate
3586
Kompatibel
Injeksjon Piperacillin sodium / tazobactam 40/5 mg/ml
Injeksjon Granisetron hydrochloride 0.05 mg/ml
Glukose 5 % 182
Umiddelbar nedbør Uforenlig
Injeksjon Piperacillin sodium / tazobactam 40/5 mg/ml
Injeksjon Haloperidol lactate 0.2 mg/ml
Glukose 5 % 81
Uspesifisert inkompatibilitet Uforenlig
Injeksjon Piperacillin sodium / tazobactam
Ringers laktatoppløsning 3586
Uspesifisert inkompatibilitet Uforenlig
Injeksjon Piperacillin sodium / tazobactam
Injeksjon Aciclovir sodium
3595
Kjemisk ustabilitet Uforenlig
Injeksjon Piperacillin sodium / tazobactam
Injeksjon Amikacin sulfate
3549
Kompatibel
Injeksjon Piperacillin sodium / tazobactam 40/5 mg/ml
Injeksjon Aminophylline 2.5 mg/ml
Glukose 5 % 81
Kompatibel
Injeksjon Piperacillin sodium / tazobactam 100 mg/ml
Injeksjon Amoxicillin sodium / clavulanic acid 100/10 mg/ml
3824
Umiddelbar nedbør Uforenlig
Injeksjon Piperacillin sodium / tazobactam 112.5 mg/ml
Injeksjon Azithromycine 2 mg/ml
Natriumklorid 0,9 % 1800
Kompatibel
Injeksjon Piperacillin sodium / tazobactam 40/5 mg/ml
Injeksjon Bumetanide 0.04 mg/ml
Glukose 5 % 81
Kompatibel
Injeksjon Piperacillin sodium / tazobactam 40/5 mg/ml
Injeksjon Buprenorphine hydrochloride 0.04 mg/ml
Glukose 5 % 81
Kompatibel
Injeksjon Piperacillin sodium / tazobactam 40/5 mg/ml
Injeksjon Butorphanol tartrate 0.04 mg/ml
Glukose 5 % 81
Kompatibel
Injeksjon Piperacillin sodium / tazobactam 200 mg/ml
Injeksjon Caffeine 10 mg/ml
Vann til injeksjon 4837
Kompatibel
Injeksjon Piperacillin sodium / tazobactam 200 mg/ml
Injeksjon Caffeine citrate 20 mg/ml
Vann til injeksjon 4837
Kompatibel
Injeksjon Piperacillin sodium / tazobactam 40/5 mg/ml
Injeksjon Calcium gluconate 40 mg/ml
Glukose 5 % 81
Umiddelbar nedbør Uforenlig
Injeksjon Piperacillin sodium / tazobactam 90 mg/ml
Injeksjon Caspofungin acetate 0.5 mg/ml
Natriumklorid 0,9 % 2233
Umiddelbar nedbør Uforenlig
Injeksjon Piperacillin sodium / tazobactam 40/5 mg/ml
Injeksjon Caspofungin acetate 0,7 mg/ml
Natriumklorid 0,9 % 2247
Kompatibel
Injeksjon Piperacillin sodium / tazobactam 40/5 mg/ml
Injeksjon Ceftolozane / tazobactam 10/5 mg/ml
Glukose 5 % 3828
Kompatibel
Injeksjon Piperacillin sodium / tazobactam 40/5 mg/ml
Injeksjon Cimetidine hydrochloride 12 mg/ml
Glukose 5 % 81
Uspesifisert inkompatibilitet Uforenlig
Injeksjon Piperacillin sodium / tazobactam
Injeksjon Ciprofloxacin lactate
3529
Nedbør etter 4 timer Uforenlig
Injeksjon Piperacillin sodium / tazobactam 40/5 mg/ml
Injeksjon Cisatracurium besylate 5 mg/ml
Glukose 5 % 299
Kompatibel
Injeksjon Piperacillin sodium / tazobactam 225 mg/ml
Injeksjon Cloxacillin sodium 100 mg/ml
Vann til injeksjon 3012
Subvisuell inkompatibilitet Uforenlig
Injeksjon Piperacillin sodium / tazobactam
Injeksjon Daunorubicin/cytarabine liposomale
4354
Kompatibel
Injeksjon Piperacillin sodium / tazobactam 40/5 mg/ml
Injeksjon Dexamethasone sodium phosphate 1 mg/ml
Glukose 5 % 81
Kompatibel
Injeksjon Piperacillin sodium / tazobactam 40/5 mg/ml
Injeksjon Dexmedetomidine 4 µg/ml
Natriumklorid 0,9 % 1712
Kompatibel
Injeksjon Piperacillin sodium / tazobactam
Injeksjon Dimenhydrinate
2087
Kompatibel
Injeksjon Piperacillin sodium / tazobactam 40/5 mg/ml
Injeksjon Diphenhydramine hydrochloride 2 mg/ml
Glukose 5 % 81
Kompatibel
Injeksjon Piperacillin sodium / tazobactam 40/5 mg/ml
Injeksjon Dopamine hydrochloride 3.2 mg/ml
Glukose 5 % 81
Tap av turbiditet Uforenlig
Injeksjon Piperacillin sodium / tazobactam 40/5 mg/ml
Injeksjon Doxorubicin hydrochloride liposome peg 0.4 mg/ml
Glukose 5 % 251
Kompatibel
Injeksjon Piperacillin sodium / tazobactam 40/5 mg/ml
Injeksjon Enalaprilate 0.1 mg/ml
Glukose 5 % 81
Kompatibel
Injeksjon Piperacillin sodium / tazobactam 40/5 mg/ml
Injeksjon Eravacycline 0,6 mg/ml
Natriumklorid 0,9 % 4434
Uspesifisert inkompatibilitet Uforenlig
Injeksjon Piperacillin sodium / tazobactam
Injeksjon Erythromycin lactobionate
3674
Kompatibel
Injeksjon Piperacillin sodium / tazobactam 40/5 mg/ml
Injeksjon Folinate calcium 2 mg/ml
Glukose 5 % 81
Kompatibel
Injeksjon Piperacillin sodium / tazobactam 40/5 mg/ml
Injeksjon Fosfomycin 30 mg/ml
Glukose 5 % 4055
Kompatibel
Injeksjon Piperacillin sodium / tazobactam 40/5 mg/ml
Injeksjon Furosemide 3 mg/ml
Glukose 5 % 81
Kompatibel
Injeksjon Piperacillin sodium / tazobactam 40/5 mg/ml
Injeksjon Gallium nitrate 0.4 mg/ml
Glukose 5 % 81
Umiddelbar turbiditet Uforenlig
Injeksjon Piperacillin sodium / tazobactam 40/5 mg/ml
Injeksjon Gemcitabine hydrochloride 10 mg/ml
Natriumklorid 0,9 % 1423
Uspesifisert inkompatibilitet Uforenlig
Injeksjon Piperacillin sodium / tazobactam
Injeksjon Gentamicin sulfate
3520
Uspesifisert inkompatibilitet Uforenlig
Injeksjon Piperacillin sodium / tazobactam
Injeksjon Gentamicin sulfate
3643
Kompatibel
Injeksjon Piperacillin sodium / tazobactam 0.5/0.0625 mg/ml
Injeksjon Heparin sodium 0.5 UI/ml
Dianéal® 1.5% glucose (Baxter) 4180
Kompatibel
Injeksjon Piperacillin sodium / tazobactam 0.5/0.0625 mg/ml
Injeksjon Heparin sodium 0.5 UI/ml
Extraneal® (Baxter) 4180
Kompatibel
Injeksjon Piperacillin sodium / tazobactam 1.38/0.1725 mg/ml
Injeksjon Heparin sodium 1.4 UI/ml
Physionéal® 2.27 (Baxter) 4180
Kompatibel
Injeksjon Piperacillin sodium / tazobactam 0.5/0.0625 mg/ml
Injeksjon Heparin sodium 0.5 UI/ml
Dianéal® 4.25% glucose (Baxter) 4180
Kompatibel
Injeksjon Piperacillin sodium / tazobactam 1.38/0.1725 mg/ml
Injeksjon Heparin sodium 1.4 UI/ml
Physionéal® 3.86 (Baxter) 4180
Kompatibel
Injeksjon Piperacillin sodium / tazobactam 1.38/0.1725 mg/ml
Injeksjon Heparin sodium 1.4 UI/ml
Physionéal® 1.36 (Baxter) 4180
Kompatibel
Injeksjon Piperacillin sodium / tazobactam 0.5/0.0625 mg/ml
Injeksjon Heparin sodium 0.5 UI/ml
Dianéal® 2.5% glucose (Baxter) 4180
Kompatibel
Injeksjon Piperacillin sodium / tazobactam 40/5 mg/ml
Injeksjon Heparin sodium 100 UI/ml
Glukose 5 % 81
Kompatibel
Injeksjon Piperacillin sodium / tazobactam 40/5 mg/ml
Injeksjon Hetastarch 60 mg/ml
spesifikk løsemiddel 1721
Kompatibel
Injeksjon Piperacillin sodium / tazobactam 40/5 mg/ml
Injeksjon Hydrocortisone sodium succinate 1 mg/ml
Glukose 5 % 81
Kompatibel
Injeksjon Piperacillin sodium / tazobactam 40/5 mg/ml
Injeksjon Hydromorphone hydrochloride 0.5 mg/ml
Glukose 5 % 81
Umiddelbar nedbør Uforenlig
Injeksjon Piperacillin sodium / tazobactam 40/5 mg/ml
Injeksjon Hydroxyzine dihydrochloride 4 mg/ml
Glukose 5 % 81
Umiddelbar turbiditet Uforenlig
Injeksjon Piperacillin sodium / tazobactam 40/5 mg/ml
Injeksjon Idarubicin hydrochloride 0.5 mg/ml
Glukose 5 % 81
Kompatibel
Injeksjon Piperacillin sodium / tazobactam 40/5 mg/ml
Injeksjon Ifosfamide 25 mg/ml
Glukose 5 % 81
Kompatibel
Injeksjon Piperacillin sodium / tazobactam 166/20.83 mg/ml
Injeksjon Insulin 1 UI/ml
Natriumklorid 0,9 % 4254
Kompatibel
Injeksjon Piperacillin sodium / tazobactam 45 mg/ml
Injeksjon Insulin aspart 1 UI/ml
Natriumklorid 0,9 % 1508
Kompatibel
Injeksjon Piperacillin sodium / tazobactam 45 mg/ml
Injeksjon Insulin aspart 1 UI/ml
Glukose 5 % 1508
Kompatibel
Injeksjon Piperacillin sodium / tazobactam 40/5 mg/ml
Injeksjon Isavuconazonium sulfate 1.5 mg/ml
Natriumklorid 0,9 % 3829
Kompatibel
Injeksjon Piperacillin sodium / tazobactam 40/5 mg/ml
Injeksjon Lansoprazole 0.55 mg/ml
Natriumklorid 0,9 % 1625
Kompatibel
Injeksjon Piperacillin sodium / tazobactam 166/20.83 mg/ml
Injeksjon Levetiracetam 20.83 mg/ml
Glukose 5 % 4254
Kompatibel
Injeksjon Piperacillin sodium / tazobactam 166/20.83 mg/ml
Injeksjon Levetiracetam 20.83 mg/ml
Natriumklorid 0,9 % 4254
Kompatibel
Injeksjon Piperacillin sodium / tazobactam 80 mg/ml
Parenteral ernæring(lipid-free) 3948
Kompatibel
Injeksjon Piperacillin sodium / tazobactam 166/20.83 mg/ml
Injeksjon Insulin 1 UI/ml
Glukose 5 % 4254
Kompatibel
Injeksjon Piperacillin sodium / tazobactam 33,75 mg/ml
Injeksjon Levetiracetam 5 mg/ml
Natriumklorid 0,9 % 4569
Kompatibel
Injeksjon Piperacillin sodium / tazobactam 40/5 mg/ml
Parenteral ernæring(lipid-free) 301
Umiddelbar turbiditet Uforenlig
Injeksjon Piperacillin sodium / tazobactam 40/5 mg/ml
Injeksjon Isavuconazonium sulfate 1.5 mg/ml
Glukose 5 % 3829
Uspesifisert inkompatibilitet Uforenlig
Injeksjon Piperacillin sodium / tazobactam
NaHCO3 3586
Kjemisk ustabilitet Uforenlig
Injeksjon Piperacillin sodium / tazobactam
Injeksjon Kanamycin sulfate
3586
Kompatibel
Injeksjon Piperacillin sodium / tazobactam 200 mg/ml
Injeksjon Ketamine hydrochloride 50 mg/ml
2109
Subvisuell inkompatibilitet Uforenlig
Injeksjon Piperacillin sodium / tazobactam 45 mg/ml
Injeksjon Levetiracetam 5 mg/ml
Natriumklorid 0,9 % 4569
Kompatibel
Injeksjon Piperacillin sodium / tazobactam 125 mg/ml
Injeksjon Linezolid 2 mg/ml
4928
Kompatibel
Injeksjon Piperacillin sodium / tazobactam 40/5 mg/ml
Injeksjon Linezolid 2 mg/ml
Ingen 1925
Kompatibel
Injeksjon Piperacillin sodium / tazobactam 40/5 mg/ml
Injeksjon Lorazepam 0.1 mg/ml
Glukose 5 % 81
Kompatibel
Injeksjon Piperacillin sodium / tazobactam 40/5 mg/ml
Injeksjon Magnesium sulfate 100 mg/ml
Glukose 5 % 81
Kompatibel
Injeksjon Piperacillin sodium / tazobactam 40/5 mg/ml
Injeksjon Mannitol 150 mg/ml
Glukose 5 % 81
Kompatibel
Injeksjon Piperacillin sodium / tazobactam 200 mg/ml
Injeksjon Meropenem 50 mg/ml
Vann til injeksjon 4319
Kompatibel
Injeksjon Piperacillin sodium / tazobactam 40/5 mg/ml
Injeksjon Mesna 10 mg/ml
Glukose 5 % 81
Kompatibel
Injeksjon Piperacillin sodium / tazobactam 40/5 mg/ml
Injeksjon Methotrexate sodium 15 mg/ml
Glukose 5 % 81
Kompatibel
Injeksjon Piperacillin sodium / tazobactam 40/5 mg/ml
Injeksjon Methylprednisolone sodium succinate 5 mg/ml
Glukose 5 % 81
Kompatibel
Injeksjon Piperacillin sodium / tazobactam 40/5 mg/ml
Injeksjon Metoclopramide hydrochloride 5 mg/ml
Glukose 5 % 81
Kompatibel
Injeksjon Piperacillin sodium / tazobactam 40/5 mg/ml
Injeksjon Metronidazole 5 mg/ml
Glukose 5 % 81
Umiddelbar nedbør Uforenlig
Injeksjon Piperacillin sodium / tazobactam 40/5 mg/ml
Injeksjon Minocycline hydrochloride 1 mg/ml
Glukose 5 % 81
Fargeendring etter 4 timer Uforenlig
Injeksjon Piperacillin sodium / tazobactam 40/5 mg/ml
Injeksjon Mitomycin 0.5 mg/ml
Glukose 5 % 81
Umiddelbar nedbør Uforenlig
Injeksjon Piperacillin sodium / tazobactam 40/5 mg/ml
Injeksjon Mitoxantrone dihydrochloride 0.5 mg/ml
Glukose 5 % 81
Kompatibel
Injeksjon Piperacillin sodium / tazobactam 40/5 mg/ml
Injeksjon Morphine sulfate 1 mg/ml
Glukose 5 % 81
Kompatibel
Injeksjon Piperacillin sodium / tazobactam
Injeksjon N-acetylcysteine 200 mg/ml
Ingen 3766
Umiddelbar turbiditet Uforenlig
Injeksjon Piperacillin sodium / tazobactam 40/5 mg/ml
Injeksjon Nalbuphine hydrochloride 10 mg/ml
Glukose 5 % 81
Kompatibel
Injeksjon Piperacillin sodium / tazobactam 200 mg/ml
Injeksjon Naloxone hydrochloride 0.4 mg/ml
Ingen 3408
Kjemisk ustabilitet Uforenlig
Injeksjon Piperacillin sodium / tazobactam
Injeksjon Netilmicin sulfate
3586
Kompatibel
Injeksjon Piperacillin sodium / tazobactam 20/2,5 & 40/5 mg/ml
Injeksjon Ondansetron hydrochloride 0,015 >> 0,15 mg/ml
Natriumklorid 0,9 % 16
Kompatibel
Injeksjon Piperacillin sodium / tazobactam 40/5 mg/ml
Injeksjon Ondansetron hydrochloride 0.1 mg/ml
Glukose 5 % 81
Kompatibel
Injeksjon Piperacillin sodium / tazobactam 200/25 mg/ml
Injeksjon Oxycodone hydrochloride 1 mg/ml
Natriumklorid 0,9 % 4842
Nedbør etter 1 time Uforenlig
Injeksjon Piperacillin sodium / tazobactam
Injeksjon Pantoprazole sodium
2090
Kompatibel
Injeksjon Piperacillin sodium / tazobactam 100 mg/ml
Injeksjon Paracetamol 10 mg/ml
Ingen 3571
Kompatibel
Injeksjon Piperacillin sodium / tazobactam 100 mg/ml
Injeksjon Paracetamol 10 mg/ml
4742
Kompatibel
Injeksjon Piperacillin sodium / tazobactam 200 mg/ml
Injeksjon Pentoxifyllin 5 mg/ml
Natriumklorid 0,9 % 4538
Kompatibel
Injeksjon Piperacillin sodium / tazobactam 40/5 mg/ml
Injeksjon Pethidine hydrochloride 4 mg/ml
Glukose 5 % 81
Kjemisk ustabilitet Uforenlig
Injeksjon Piperacillin sodium / tazobactam
Injeksjon Plazomicin sulfate
3586
Kompatibel
Injeksjon Piperacillin sodium / tazobactam 40/5 mg/ml
Injeksjon Plazomicin sulfate 24 mg/ml
Natriumklorid 0,9 % 4145
Umiddelbar nedbør Uforenlig
Injeksjon Piperacillin sodium / tazobactam 160 mg/ml
Injeksjon Posaconazole 1,2 mg/ml
Natriumklorid 0,9 % 4521
Kompatibel
Injeksjon Piperacillin sodium / tazobactam 40/5 mg/ml
Injeksjon Potassium chloride 100 mEq/l
Glukose 5 % 81
Umiddelbar turbiditet Uforenlig
Injeksjon Piperacillin sodium / tazobactam 40/5 mg/ml
Injeksjon Prochlorperazine edysilate 0.5 mg/ml
Glukose 5 % 81
Umiddelbar turbiditet Uforenlig
Injeksjon Piperacillin sodium / tazobactam 40/5 mg/ml
Injeksjon Promethazine hydrochloride 2 mg/ml
Glukose 5 % 81
Kompatibel
Injeksjon Piperacillin sodium / tazobactam 40/5 mg/ml
Injeksjon Ranitidine hydrochloride 2 mg/ml
Glukose 5 % 81
Kompatibel
Injeksjon Piperacillin sodium / tazobactam 40/5 mg/ml
Injeksjon Remifentanil hydrochloride 25 & 250 µg/ml
Natriumklorid 0,9 % 59
Umiddelbar nedbør Uforenlig
Injeksjon Piperacillin sodium / tazobactam 200 mg/ml
Injeksjon Salbutamol sulfate 1 mg/ml
Ingen 3216
Kompatibel
Injeksjon Piperacillin sodium / tazobactam 40/5 mg/ml
Injeksjon Sargramostim 10 µg/ml
Glukose 5 % 81
Kompatibel
Injeksjon Piperacillin sodium / tazobactam 200 mg/ml
Injeksjon Sildenafil citrate 0,6 mg/ml
Glukose 5 % 4845
Uspesifisert inkompatibilitet Uforenlig
Injeksjon Piperacillin sodium / tazobactam
Injeksjon Sodium bicarbonate
3586
Kompatibel
Injeksjon Piperacillin sodium / tazobactam 40/5 mg/ml
Injeksjon Sodium bicarbonate 84 mg/ml
Glukose 5 % 81
Kjemisk ustabilitet Uforenlig
Injeksjon Piperacillin sodium / tazobactam
Injeksjon Streptomycin sulfate
3586
Nedbør etter 1 time Uforenlig
Injeksjon Piperacillin sodium / tazobactam 40/5 mg/ml
Injeksjon Streptozocin 40 mg/ml
Glukose 5 % 81
Kompatibel
Injeksjon Piperacillin sodium / tazobactam 40/5 mg/ml
Injeksjon Sulbactam/durlobactam 15/15 mg/ml
Natriumklorid 0,9 % 4801
Kompatibel
Injeksjon Piperacillin sodium / tazobactam 40/5 mg/ml
Injeksjon Tedizolid phosphate 0.8 mg/ml
Natriumklorid 0,9 % 3827
Kompatibel
Injeksjon Piperacillin sodium / tazobactam 40/5 mg/ml
Injeksjon Telavancin hydrochloride 7.5 mg/ml
Glukose 5 % 3254
Kompatibel
Injeksjon Piperacillin sodium / tazobactam 40/5 mg/ml
Injeksjon Telavancin hydrochloride 7.5 mg/ml
Natriumklorid 0,9 % 3254
Kompatibel
Injeksjon Piperacillin sodium / tazobactam 40/5 mg/ml
Injeksjon Telavancin hydrochloride 7.5 mg/ml
Ringers laktatoppløsning 3254
Kjemisk ustabilitet Uforenlig
Injeksjon Piperacillin sodium / tazobactam 200 mg/ml
Injeksjon Temocilline 83.33 mg/ml
Vann til injeksjon 2231
Uspesifisert inkompatibilitet Uforenlig
Injeksjon Piperacillin sodium / tazobactam
Injeksjon Temocilline
4470
Kompatibel
Injeksjon Piperacillin sodium / tazobactam 166/20.83 mg/ml
Injeksjon Thiamine hydrochloride 0.4 mg/ml
Glukose 5 % 4254
Umiddelbar nedbør Uforenlig
Injeksjon Piperacillin sodium / tazobactam 200 mg/ml
Injeksjon Thiopental sodium 25 mg/ml
Natriumklorid 0,9 % 3767
Kompatibel
Injeksjon Piperacillin sodium / tazobactam 40/5 mg/ml
Injeksjon Thiotepa 1 mg/ml
Glukose 5 % 81
Kompatibel
Injeksjon Piperacillin sodium / tazobactam
Injeksjon Tigecycline
Natriumklorid 0,9 % 3332
Kjemisk ustabilitet Uforenlig
Injeksjon Piperacillin sodium / tazobactam
Injeksjon Tobramycin sulfate
3586
Umiddelbar nedbør Uforenlig
Injeksjon Piperacillin sodium / tazobactam 112,5 mg/ml
Injeksjon Vancomycin hydrochloride 10 mg/ml
Glukose 5 % 3428
Kompatibel
Injeksjon Piperacillin sodium / tazobactam
Glukose 5 % 3586
Kompatibel
Injeksjon Piperacillin sodium / tazobactam
Natriumklorid 0,9 % 5069
Umiddelbar nedbør Uforenlig
Injeksjon Piperacillin sodium / tazobactam 100/12,5 mg/ml
Injeksjon Vancomycin hydrochloride 10 mg/ml
3365
Umiddelbar nedbør Uforenlig
Injeksjon Piperacillin sodium / tazobactam 40 >> 100 mg/ml
Injeksjon Vancomycin hydrochloride 10 mg/ml
Natriumklorid 0,9 % 2475
Umiddelbar nedbør Uforenlig
Injeksjon Piperacillin sodium / tazobactam
Injeksjon Vancomycin hydrochloride >8 mg/ml
Natriumklorid 0,9 % 3841
Kompatibel
Injeksjon Piperacillin sodium / tazobactam 16 >> 100 mg/ml
Injeksjon Vancomycin hydrochloride 2 mg/ml
Natriumklorid 0,9 % 2475
Kompatibel
Injeksjon Piperacillin sodium / tazobactam 16 >> 100 mg/ml
Injeksjon Vancomycin hydrochloride 5 mg/ml
Natriumklorid 0,9 % 2475
Kompatibel
Injeksjon Piperacillin sodium / tazobactam 16 >> 30 mg/ml
Injeksjon Vancomycin hydrochloride 10 mg/ml
Natriumklorid 0,9 % 2475
Kompatibel
Injeksjon Piperacillin sodium / tazobactam 30/3,75 mg/ml
Injeksjon Vancomycin hydrochloride 4 mg/ml
Natriumklorid 0,9 % 3421
Kompatibel
Injeksjon Piperacillin sodium / tazobactam 40/5 mg/ml
Injeksjon Vancomycin hydrochloride 4 mg/ml
Natriumklorid 0,9 % 3421
Kompatibel
Injeksjon Piperacillin sodium / tazobactam 33.75 >> 90 mg/ml
Injeksjon Vancomycin hydrochloride 4 >> 7 mg/ml
Natriumklorid 0,9 % 3841
Umiddelbar nedbør Uforenlig
Injeksjon Piperacillin sodium / tazobactam 80 & 90 mg/ml
Injeksjon Vancomycin hydrochloride 8 mg/ml
Natriumklorid 0,9 % 3841
Kompatibel
Injeksjon Piperacillin sodium / tazobactam 33.75 >> 67.5 mg/ml
Injeksjon Vancomycin hydrochloride 8 mg/ml
Natriumklorid 0,9 % 3841
Umiddelbar turbiditet Uforenlig
Injeksjon Piperacillin sodium / tazobactam 40/5 mg/ml
Injeksjon Vancomycin hydrochloride 10 mg/ml
Glukose 5 % 81
Uspesifisert inkompatibilitet Uforenlig
Injeksjon Piperacillin sodium / tazobactam 200 mg/ml
Injeksjon Vancomycin hydrochloride 10 mg/ml
Glukose 5 % 3385
Umiddelbar nedbør Uforenlig
Injeksjon Piperacillin sodium / tazobactam 10/1.25 >> 200/25 mg/ml
Injeksjon Vancomycin hydrochloride 20 mg/ml
Glukose 5 % 1674
Umiddelbar nedbør Uforenlig
Injeksjon Piperacillin sodium / tazobactam 80 >> 100 mg/ml
Injeksjon Vancomycin hydrochloride 4 mg/ml
Glukose 5 % 2475
Umiddelbar nedbør Uforenlig
Injeksjon Piperacillin sodium / tazobactam 16 >> 100 mg/ml
Injeksjon Vancomycin hydrochloride 8 mg/ml
Glukose 5 % 2475
Umiddelbar nedbør Uforenlig
Injeksjon Piperacillin sodium / tazobactam 28 mg/ml
Injeksjon Vancomycin hydrochloride 10 & 15 mg/ml
Glukose 5 % 3984
Umiddelbar nedbør Uforenlig
Injeksjon Piperacillin sodium / tazobactam 67,5 mg/ml
Injeksjon Vancomycin hydrochloride 5 mg/ml
Glukose 5 % 3960
Kompatibel
Injeksjon Piperacillin sodium / tazobactam 16 >> 40 mg/ml
Injeksjon Vancomycin hydrochloride 4 mg/ml
Glukose 5 % 2475
Kompatibel
Injeksjon Piperacillin sodium / tazobactam 28 mg/ml
Injeksjon Vancomycin hydrochloride 5 mg/ml
Glukose 5 % 3984
Kompatibel
Injeksjon Piperacillin sodium / tazobactam 1/0.125 >> 200/25 mg/ml
Injeksjon Vancomycin hydrochloride 2 mg/ml
Glukose 5 % 1674
Kompatibel
Injeksjon Piperacillin sodium / tazobactam 1/0.125 mg/ml
Injeksjon Vancomycin hydrochloride 20 mg/ml
Glukose 5 % 1674
Kompatibel
Injeksjon Piperacillin sodium / tazobactam 112.5 mg/ml
Injeksjon Vasopressin 0.2 UI/ml
Natriumklorid 0,9 % 2017
Kompatibel
Injeksjon Piperacillin sodium / tazobactam 40/5 mg/ml
Injeksjon Vinblastine sulfate 0.12 mg/ml
Glukose 5 % 81
Kompatibel
Injeksjon Piperacillin sodium / tazobactam 40/5 mg/ml
Injeksjon Vincristine sulfate 0.05 mg/ml
Glukose 5 % 81
Kompatibel
Injeksjon Piperacillin sodium / tazobactam 40/5 mg/ml
Injeksjon Zidovudine 4 mg/ml
Glukose 5 % 81
Kompatibel
Injeksjon Piperacillin sodium / tazobactam 40/5 mg/ml
Normosol® 4655

  Mentions Légales