Última actualização :
27/04/2026
antibiótico   Piperacillin sodium / tazobactam  
injetável
Estabilidade em soluções simples Estabilidade em misturas Factores que afectam a sua estabilidade Compatibilidade Método de administração Bibliografía pdf
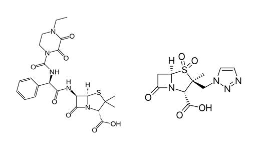
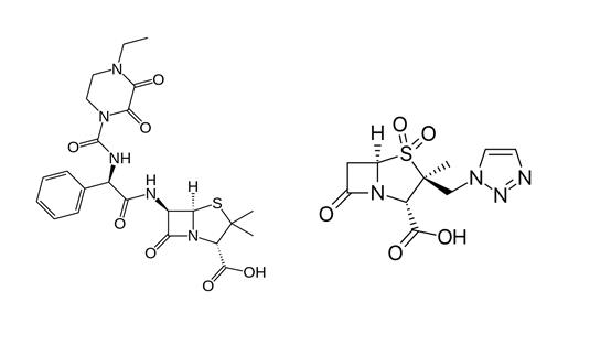
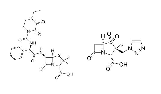
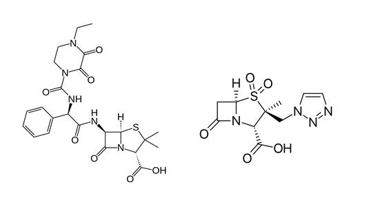
   estrutura química  

Nomes comerciais nos diversos países   Nomes comerciais nos diversos países     

OS NOMES COMERCIAIS SÃO INDICATIVOS E OS EXCIPIENTES DA FORMULAÇÃO PODEM SER DIFERENTES CONFORME O PAÍS E FABRICANTE.

Bagotaz Argentina
Betampil Equator
Bioval Chilli
Petezam Argentina
Piperac Alemanha
Piperacillin tazobactam Alemanha, Bélgica, Canadá
Piperazam Brasil
Pipetazo Chilli
Pipitaz Austria
Pixamol Colômbia
Tazobac Equator, Itália, Portugal, Suicia
Tazocel Espanha
Tazocilline França
Tazocin Africa do sul, Argentina, Australia, Brasil, Colômbia, Croácia, Dinamarca, Egipto, Emirados Árabes Unidos, Finlandia, Gran-bretanha, Grècia, Hungria, Irlanda do norte, Itália, Luxemburgo, México, Noruega, nova Zelândia, Países Baixos, Peru, Polonia, Suècia, Turquia
Tazonam Austria, Chilli
Tazopip Australia
Tazpen Colômbia, México
Tazrobida Colômbia
Tigux Chilli
Tratac Chilli
Trital Equator
Zosyn Estados Unidos de América, Japón
Estabilidade em misturas   injetável   Estabilidade em misturas : Piperacillin sodium / tazobactam     
Embalagem Solvente concentração molécula temperatura conservação Duração da estabilidade Bibliografia
vidro cloreto de sódio 0,9% 80/10 mg/ml
injetável   Piperacillin sodium / tazobactam   
injetável   Ranitidine hydrochloride 0,5 & 2 mg/ml
23°C
4 hora
luz 235
Nível de evidência B
vidro cloreto de sódio 0,9% 20/2,5 >> 40/5 mg/ml
injetável   Piperacillin sodium / tazobactam   
injetável   Ondansetron hydrochloride 0,015 >> 0,15 mg/ml
23°C
4 hora
luz 16
Cloreto de polivinilo Dianéal® PD1 1.5% Glucose (Baxter) 0,5/0,0625 mg/ml
injetável   Piperacillin sodium / tazobactam   
injetável   Heparin sodium 0,5 UI/ml
37°C
10 hora
no especificado 4180
Nível de evidência B
Cloreto de polivinilo Dianéal® PD1 1.5% Glucose (Baxter) 0,5/0,0625 mg/ml
injetável   Piperacillin sodium / tazobactam   
injetável   Heparin sodium 0,5 UI/ml
4°C
168 hora
no especificado 4180
Nível de evidência B
Cloreto de polivinilo Dianéal® PD2 4.25% Glucose (Baxter) 0,5/0,0625 mg/ml
injetável   Piperacillin sodium / tazobactam   
injetável   Heparin sodium 0,5 UI/ml
37°C
10 hora
no especificado 4180
Nível de evidência B
Cloreto de polivinilo Dianéal® PD2 4.25% Glucose (Baxter) 0,5/0,0625 mg/ml
injetável   Piperacillin sodium / tazobactam   
injetável   Heparin sodium 0,5 UI/ml
4°C
168 hora
no especificado 4180
Nível de evidência B
Cloreto de polivinilo Dianéal® PD2 2.5% glucose (Baxter) 0,5/0,0625 mg/ml
injetável   Piperacillin sodium / tazobactam   
injetável   Heparin sodium 0,5 UI/ml
37°C
10 hora
no especificado 4180
Nível de evidência B
Cloreto de polivinilo Dianéal® PD2 2.5% glucose (Baxter) 0,5/0,0625 mg/ml
injetável   Piperacillin sodium / tazobactam   
injetável   Heparin sodium 0,5 UI/ml
4°C
168 hora
no especificado 4180
Nível de evidência B
Cloreto de polivinilo Extraneal® (Baxter) 0,5/0,0625 mg/ml
injetável   Piperacillin sodium / tazobactam   
injetável   Heparin sodium 0,5 UI/ml
37°C
10 hora
no especificado 4180
Nível de evidência B
Cloreto de polivinilo Extraneal® (Baxter) 0,5/0,0625 mg/ml
injetável   Piperacillin sodium / tazobactam   
injetável   Heparin sodium 0,5 UI/ml
4°C
168 hora
no especificado 4180
Nível de evidência B
Cloreto de polivinilo Physionéal® 1.36 (Baxter) 1,38/0,172 mg/ml
injetável   Piperacillin sodium / tazobactam   
injetável   Heparin sodium 1,4 UI/ml
37°C
10 hora
no especificado 4180
Nível de evidência B
Cloreto de polivinilo Physionéal® 1.36 (Baxter) 1,38/0,172 mg/ml
injetável   Piperacillin sodium / tazobactam   
injetável   Heparin sodium 1,4 UI/ml
4°C
168 hora
no especificado 4180
Nível de evidência B
Cloreto de polivinilo Physionéal® 2.27 (Baxter) 1,38/0,172 mg/ml
injetável   Piperacillin sodium / tazobactam   
injetável   Heparin sodium 1,4 UI/ml
37°C
10 hora
no especificado 4180
Nível de evidência B
Cloreto de polivinilo Physionéal® 2.27 (Baxter) 1,38/0,172 mg/ml
injetável   Piperacillin sodium / tazobactam   
injetável   Heparin sodium 1,4 UI/ml
4°C
168 hora
no especificado 4180
Nível de evidência B
Cloreto de polivinilo Physionéal® 3.86 (Baxter) 1,38/0,172 mg/ml
injetável   Piperacillin sodium / tazobactam   
injetável   Heparin sodium 1,4 UI/ml
37°C
10 hora
no especificado 4180
Nível de evidência B
Cloreto de polivinilo Physionéal® 3.86 (Baxter) 1,38/0,172 mg/ml
injetável   Piperacillin sodium / tazobactam   
injetável   Heparin sodium 1,4 UI/ml
4°C
168 hora
no especificado 4180
Nível de evidência B
Polipropileno cloreto de sódio 0,9% 20 / 2.5 mg/ml
injetável   Piperacillin sodium / tazobactam   
injetável   Norepinephrine bitartrate 0,032 mg/ml
22-23°C
24 hora
ao abrigo da luz 4758
Nível de evidência B
seringa polipropylen Agua para injectaveis 90/10 mg/ml
injetável   Piperacillin sodium / tazobactam   
injetável   Paracetamol 10 mg/ml
25°C
4 hora
no especificado 3571
Nível de evidência A+

  Mentions Légales