Останнє оновлення :
18/03/2026
Антибіотик   Piperacillin sodium / tazobactam  
ін'єкція
Стійкість в розчинах Стійкість сумішей Фактори, що впливають на стабільність Сумісність Шлях введення Список літератури pdf
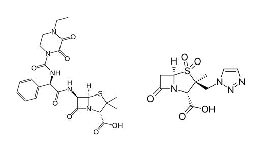
   Хімічна структура  

Торгова назва   Торгова назва     

Торгові назви є орієнтовними, а склад допоміжних речовин може бути різним залежно від країни та виробника

Bagotaz Аргентина
Betampil Еквадор
Bioval Чилі
Petezam Аргентина
Piperac Німеччина
Piperacillin tazobactam Бельгія, Канада, Німеччина
Piperazam Бразилія
Pipetazo Чилі
Pipitaz Австрія
Pixamol Колумбія
Tazobac Італія, Еквадор, Португалія, Швейцарія
Tazocel Іспанія
Tazocilline Франція
Tazocin Єгипет, Італія, Австралія, Аргентина, Бразилія, Великобританія, Греція, Данія, Колумбія, Люксембург, Мексика, Нідерланди, Нова Зеландія, Норвегія, Об'єднані Арабські Емірати, Південно-Африканська Республіка, Північна Ірландія, Перу, Польща, Туреччина, Угорщина, Фінляндія, Хорватія, Швеція
Tazonam Австрія, Чилі
Tazopip Австралія
Tazpen Колумбія, Мексика
Tazrobida Колумбія
Tigux Чилі
Tratac Чилі
Trital Еквадор
Zosyn Сполучені Штати Америки, Японія
Сумісність   ін'єкція   Сумісність : Piperacillin sodium / tazobactam              
explication_incompatibilite_molecules
З'єднання Розчинник Список літератури
Опади через 1 год Несумісні
ін'єкція Piperacillin sodium / tazobactam 40/5 mg/ml
ін'єкція Aciclovir sodium 7 mg/ml
Глюкоза 5% 81
сумісний
ін'єкція Piperacillin sodium / tazobactam 40/5 mg/ml
Парентеральне харчування (ліпідами) 1415
сумісний
ін'єкція Piperacillin sodium / tazobactam 200 mg/ml
Розчин лактату Рінгера 4603
сумісний
ін'єкція Piperacillin sodium / tazobactam 80 mg/ml
Парентеральне харчування (ліпідами) 3948
Хімічна нестійкість Несумісні
ін'єкція Piperacillin sodium / tazobactam
ін'єкція Amikacin sulfate
3586
сумісний
ін'єкція Piperacillin sodium / tazobactam 200 mg/ml
Парентеральне харчування (ліпідами) 4924
Помутніння через 24 години Несумісні
ін'єкція Piperacillin sodium / tazobactam 60 mg/ml
ін'єкція Amiodarone hydrochloride 6 mg/ml
Глюкоза 5% 1611
Миттєві опади Несумісні
ін'єкція Piperacillin sodium / tazobactam 40/5 mg/ml
ін'єкція Amphotericin B 0.6 mg/ml
Глюкоза 5% 81
Миттєві опади Несумісні
ін'єкція Piperacillin sodium / tazobactam 40/5 mg/ml
ін'єкція Amphotericin B cholesteryl sulfate complex 0.83 mg/ml
Глюкоза 5% 921
сумісний
ін'єкція Piperacillin sodium / tazobactam 40/5 mg/ml
ін'єкція Anidulafungin 0.5 mg/ml
Глюкоза 5% 1982
сумісний
ін'єкція Piperacillin sodium / tazobactam 40/5 mg/ml
ін'єкція Aztreonam 40 mg/ml
Глюкоза 5% 81
сумісний
ін'єкція Piperacillin sodium / tazobactam 40/5 mg/ml
ін'єкція Bivalirudin 5 mg/ml
Глюкоза 5% 1713
сумісний
ін'єкція Piperacillin sodium / tazobactam 40/5 mg/ml
ін'єкція Bleomycin sulfate 1 mg/ml
Глюкоза 5% 81
сумісний
ін'єкція Piperacillin sodium / tazobactam 200 mg/ml
ін'єкція Caffeine 10 mg/ml
Жодного 3964
сумісний
ін'єкція Piperacillin sodium / tazobactam 40/5 mg/ml
ін'єкція Carboplatin 5 mg/ml
Глюкоза 5% 81
сумісний
ін'єкція Piperacillin sodium / tazobactam 40/5 mg/ml
ін'єкція Carmustine 1.5 mg/ml
Глюкоза 5% 81
сумісний
ін'єкція Piperacillin sodium / tazobactam 40/5 mg/ml
ін'єкція Ceftolozane / tazobactam 10/5 mg/ml
Натрію хлорид 0,9% 3828
Негайне помутніння Несумісні
ін'єкція Piperacillin sodium / tazobactam 40/5 mg/ml
ін'єкція Chlorpromazine hydrochloride 2 mg/ml
Глюкоза 5% 81
сумісний
ін'єкція Piperacillin sodium / tazobactam 40/5 mg/ml
ін'єкція Cisatracurium besylate 0.1 & 2 mg/ml
Глюкоза 5% 299
Опади через 1 год Несумісні
ін'єкція Piperacillin sodium / tazobactam 40/5 mg/ml
ін'єкція Cisplatin 1 mg/ml
Глюкоза 5% 81
сумісний
ін'єкція Piperacillin sodium / tazobactam 40/5 mg/ml
ін'єкція Clindamycin phosphate 10 mg/ml
Глюкоза 5% 81
сумісний
ін'єкція Piperacillin sodium / tazobactam 40/5 mg/ml
ін'єкція Co-trimoxazole 0.8/4 mg/ml
Глюкоза 5% 81
сумісний
ін'єкція Piperacillin sodium / tazobactam 40/0.5 mg/ml
ін'єкція Colistin mesilate sodium 1.5 mg/ml
Натрію хлорид 0,9% 3997
сумісний
ін'єкція Piperacillin sodium / tazobactam 40/5 mg/ml
ін'єкція Cyclophosphamide 10 mg/ml
Глюкоза 5% 81
сумісний
ін'єкція Piperacillin sodium / tazobactam 40/5 mg/ml
ін'єкція Cytarabine 50 mg/ml
Глюкоза 5% 81
Миттєві опади Несумісні
ін'єкція Piperacillin sodium / tazobactam 40/5 mg/ml
ін'єкція Dacarbazine 4 mg/ml
Глюкоза 5% 81
Негайне помутніння Несумісні
ін'єкція Piperacillin sodium / tazobactam 40/5 mg/ml
ін'єкція Daunorubicin hydrochloride 1 mg/ml
Глюкоза 5% 81
Негайне помутніння Несумісні
ін'єкція Piperacillin sodium / tazobactam
ін'єкція Daunorubicin/cytarabine liposomale 0,4 mg/mL
Натрію хлорид 0,9% 4654
Негайне помутніння Несумісні
ін'єкція Piperacillin sodium / tazobactam 40/5 mg/ml
ін'єкція Dobutamine hydrochloride 4 mg/ml
Глюкоза 5% 81
сумісний
ін'єкція Piperacillin sodium / tazobactam 40/5 mg/ml
ін'єкція Docetaxel 0.9 mg/ml
Глюкоза 5% 1754
Негайне помутніння Несумісні
ін'єкція Piperacillin sodium / tazobactam 40/5 mg/ml
ін'єкція Doxorubicin hydrochloride 2 mg/ml
Глюкоза 5% 81
Негайне помутніння Несумісні
ін'єкція Piperacillin sodium / tazobactam 40/5 mg/ml
ін'єкція Doxycycline hyclate 1 mg/ml
Глюкоза 5% 81
Миттєві опади Несумісні
ін'єкція Piperacillin sodium / tazobactam 40/5 mg/ml
ін'єкція Droperidol 0.4 mg/ml
Глюкоза 5% 81
сумісний
ін'єкція Piperacillin sodium / tazobactam 40/5 mg/ml
ін'єкція Etoposide 0.4 mg/ml
Глюкоза 5% 81
сумісний
ін'єкція Piperacillin sodium / tazobactam 40/5 mg/ml
ін'єкція Etoposide phosphate 5 mg/ml
Натрію хлорид 0,9% 1410
Миттєві опади Несумісні
ін'єкція Piperacillin sodium / tazobactam 40/5 mg/ml
ін'єкція Famotidine 2 mg/ml
Глюкоза 5% 81
сумісний
ін'єкція Piperacillin sodium / tazobactam 40/5 mg/ml
ін'єкція Fenoldopam mesylate 80 µg/ml
Натрію хлорид 0,9% 1803
сумісний
ін'єкція Piperacillin sodium / tazobactam 40/5 mg/ml
ін'єкція Floxuridine 3 mg/ml
Глюкоза 5% 81
сумісний
ін'єкція Piperacillin sodium / tazobactam 40/5 mg/ml
ін'єкція Fluconazole 2 mg/ml
Глюкоза 5% 81
сумісний
ін'єкція Piperacillin sodium / tazobactam 40/5 mg/ml
ін'єкція Fludarabine phosphate 1 mg/ml
Глюкоза 5% 81
сумісний
ін'єкція Piperacillin sodium / tazobactam 40/5 mg/ml
ін'єкція Fluorouracil 16 mg/ml
Глюкоза 5% 81
сумісний
ін'єкція Piperacillin sodium / tazobactam 40/5 mg/ml
ін'єкція Fosfomycin 30 mg/ml
Натрію хлорид 0,9% 4055
Опади через 1 год Несумісні
ін'єкція Piperacillin sodium / tazobactam 40/5 mg/ml
ін'єкція Ganciclovir sodium 20 mg/ml
Глюкоза 5% 81
Хімічна нестійкість Несумісні
ін'єкція Piperacillin sodium / tazobactam
ін'єкція Gentamicin sulfate
3586
сумісний
ін'єкція Piperacillin sodium / tazobactam 40/5 mg/ml
ін'єкція Granisetron hydrochloride 0.05 mg/ml
Глюкоза 5% 182
Миттєві опади Несумісні
ін'єкція Piperacillin sodium / tazobactam 40/5 mg/ml
ін'єкція Haloperidol lactate 0.2 mg/ml
Глюкоза 5% 81
Неуточнена несумісність Несумісні
ін'єкція Piperacillin sodium / tazobactam
Розчин лактату Рінгера 3586
Неуточнена несумісність Несумісні
ін'єкція Piperacillin sodium / tazobactam
ін'єкція Aciclovir sodium
3595
Хімічна нестійкість Несумісні
ін'єкція Piperacillin sodium / tazobactam
ін'єкція Amikacin sulfate
3549
сумісний
ін'єкція Piperacillin sodium / tazobactam 40/5 mg/ml
ін'єкція Aminophylline 2.5 mg/ml
Глюкоза 5% 81
сумісний
ін'єкція Piperacillin sodium / tazobactam 100 mg/ml
ін'єкція Amoxicillin sodium / clavulanic acid 100/10 mg/ml
3824
Миттєві опади Несумісні
ін'єкція Piperacillin sodium / tazobactam 112.5 mg/ml
ін'єкція Azithromycine 2 mg/ml
Натрію хлорид 0,9% 1800
сумісний
ін'єкція Piperacillin sodium / tazobactam 40/5 mg/ml
ін'єкція Bumetanide 0.04 mg/ml
Глюкоза 5% 81
сумісний
ін'єкція Piperacillin sodium / tazobactam 40/5 mg/ml
ін'єкція Buprenorphine hydrochloride 0.04 mg/ml
Глюкоза 5% 81
сумісний
ін'єкція Piperacillin sodium / tazobactam 40/5 mg/ml
ін'єкція Butorphanol tartrate 0.04 mg/ml
Глюкоза 5% 81
сумісний
ін'єкція Piperacillin sodium / tazobactam 200 mg/ml
ін'єкція Caffeine 10 mg/ml
Вода для ін'єкцій 4837
сумісний
ін'єкція Piperacillin sodium / tazobactam 200 mg/ml
ін'єкція Caffeine citrate 20 mg/ml
Вода для ін'єкцій 4837
сумісний
ін'єкція Piperacillin sodium / tazobactam 40/5 mg/ml
ін'єкція Calcium gluconate 40 mg/ml
Глюкоза 5% 81
Миттєві опади Несумісні
ін'єкція Piperacillin sodium / tazobactam 90 mg/ml
ін'єкція Caspofungin acetate 0.5 mg/ml
Натрію хлорид 0,9% 2233
Миттєві опади Несумісні
ін'єкція Piperacillin sodium / tazobactam 40/5 mg/ml
ін'єкція Caspofungin acetate 0,7 mg/ml
Натрію хлорид 0,9% 2247
сумісний
ін'єкція Piperacillin sodium / tazobactam 40/5 mg/ml
ін'єкція Ceftolozane / tazobactam 10/5 mg/ml
Глюкоза 5% 3828
сумісний
ін'єкція Piperacillin sodium / tazobactam 40/5 mg/ml
ін'єкція Cimetidine hydrochloride 12 mg/ml
Глюкоза 5% 81
Неуточнена несумісність Несумісні
ін'єкція Piperacillin sodium / tazobactam
ін'єкція Ciprofloxacin lactate
3529
Опади через 4 год Несумісні
ін'єкція Piperacillin sodium / tazobactam 40/5 mg/ml
ін'єкція Cisatracurium besylate 5 mg/ml
Глюкоза 5% 299
сумісний
ін'єкція Piperacillin sodium / tazobactam 225 mg/ml
ін'єкція Cloxacillin sodium 100 mg/ml
Вода для ін'єкцій 3012
Підзорова несумісність Несумісні
ін'єкція Piperacillin sodium / tazobactam
ін'єкція Daunorubicin/cytarabine liposomale
4354
сумісний
ін'єкція Piperacillin sodium / tazobactam 40/5 mg/ml
ін'єкція Dexamethasone sodium phosphate 1 mg/ml
Глюкоза 5% 81
сумісний
ін'єкція Piperacillin sodium / tazobactam 40/5 mg/ml
ін'єкція Dexmedetomidine 4 µg/ml
Натрію хлорид 0,9% 1712
сумісний
ін'єкція Piperacillin sodium / tazobactam
ін'єкція Dimenhydrinate
2087
сумісний
ін'єкція Piperacillin sodium / tazobactam 40/5 mg/ml
ін'єкція Diphenhydramine hydrochloride 2 mg/ml
Глюкоза 5% 81
сумісний
ін'єкція Piperacillin sodium / tazobactam 40/5 mg/ml
ін'єкція Dopamine hydrochloride 3.2 mg/ml
Глюкоза 5% 81
Втрата каламутності Несумісні
ін'єкція Piperacillin sodium / tazobactam 40/5 mg/ml
ін'єкція Doxorubicin hydrochloride liposome peg 0.4 mg/ml
Глюкоза 5% 251
сумісний
ін'єкція Piperacillin sodium / tazobactam 40/5 mg/ml
ін'єкція Enalaprilate 0.1 mg/ml
Глюкоза 5% 81
сумісний
ін'єкція Piperacillin sodium / tazobactam 40/5 mg/ml
ін'єкція Eravacycline 0,6 mg/ml
Натрію хлорид 0,9% 4434
Неуточнена несумісність Несумісні
ін'єкція Piperacillin sodium / tazobactam
ін'єкція Erythromycin lactobionate
3674
сумісний
ін'єкція Piperacillin sodium / tazobactam 40/5 mg/ml
ін'єкція Folinate calcium 2 mg/ml
Глюкоза 5% 81
сумісний
ін'єкція Piperacillin sodium / tazobactam 40/5 mg/ml
ін'єкція Fosfomycin 30 mg/ml
Глюкоза 5% 4055
сумісний
ін'єкція Piperacillin sodium / tazobactam 40/5 mg/ml
ін'єкція Furosemide 3 mg/ml
Глюкоза 5% 81
сумісний
ін'єкція Piperacillin sodium / tazobactam 40/5 mg/ml
ін'єкція Gallium nitrate 0.4 mg/ml
Глюкоза 5% 81
Негайне помутніння Несумісні
ін'єкція Piperacillin sodium / tazobactam 40/5 mg/ml
ін'єкція Gemcitabine hydrochloride 10 mg/ml
Натрію хлорид 0,9% 1423
Неуточнена несумісність Несумісні
ін'єкція Piperacillin sodium / tazobactam
ін'єкція Gentamicin sulfate
3520
Неуточнена несумісність Несумісні
ін'єкція Piperacillin sodium / tazobactam
ін'єкція Gentamicin sulfate
3643
сумісний
ін'єкція Piperacillin sodium / tazobactam 0.5/0.0625 mg/ml
ін'єкція Heparin sodium 0.5 UI/ml
Dianéal® 1.5% glucose (Baxter) 4180
сумісний
ін'єкція Piperacillin sodium / tazobactam 0.5/0.0625 mg/ml
ін'єкція Heparin sodium 0.5 UI/ml
Extraneal® (Baxter) 4180
сумісний
ін'єкція Piperacillin sodium / tazobactam 1.38/0.1725 mg/ml
ін'єкція Heparin sodium 1.4 UI/ml
Physionéal® 2.27 (Baxter) 4180
сумісний
ін'єкція Piperacillin sodium / tazobactam 0.5/0.0625 mg/ml
ін'єкція Heparin sodium 0.5 UI/ml
Dianéal® 4.25% glucose (Baxter) 4180
сумісний
ін'єкція Piperacillin sodium / tazobactam 1.38/0.1725 mg/ml
ін'єкція Heparin sodium 1.4 UI/ml
Physionéal® 3.86 (Baxter) 4180
сумісний
ін'єкція Piperacillin sodium / tazobactam 1.38/0.1725 mg/ml
ін'єкція Heparin sodium 1.4 UI/ml
Physionéal® 1.36 (Baxter) 4180
сумісний
ін'єкція Piperacillin sodium / tazobactam 0.5/0.0625 mg/ml
ін'єкція Heparin sodium 0.5 UI/ml
Dianéal® 2.5% glucose (Baxter) 4180
сумісний
ін'єкція Piperacillin sodium / tazobactam 40/5 mg/ml
ін'єкція Heparin sodium 100 UI/ml
Глюкоза 5% 81
сумісний
ін'єкція Piperacillin sodium / tazobactam 40/5 mg/ml
ін'єкція Hetastarch 60 mg/ml
специфічний розчинник 1721
сумісний
ін'єкція Piperacillin sodium / tazobactam 40/5 mg/ml
ін'єкція Hydrocortisone sodium succinate 1 mg/ml
Глюкоза 5% 81
сумісний
ін'єкція Piperacillin sodium / tazobactam 40/5 mg/ml
ін'єкція Hydromorphone hydrochloride 0.5 mg/ml
Глюкоза 5% 81
Миттєві опади Несумісні
ін'єкція Piperacillin sodium / tazobactam 40/5 mg/ml
ін'єкція Hydroxyzine dihydrochloride 4 mg/ml
Глюкоза 5% 81
Негайне помутніння Несумісні
ін'єкція Piperacillin sodium / tazobactam 40/5 mg/ml
ін'єкція Idarubicin hydrochloride 0.5 mg/ml
Глюкоза 5% 81
сумісний
ін'єкція Piperacillin sodium / tazobactam 40/5 mg/ml
ін'єкція Ifosfamide 25 mg/ml
Глюкоза 5% 81
сумісний
ін'єкція Piperacillin sodium / tazobactam 166/20.83 mg/ml
ін'єкція Insulin 1 UI/ml
Натрію хлорид 0,9% 4254
сумісний
ін'єкція Piperacillin sodium / tazobactam 45 mg/ml
ін'єкція Insulin aspart 1 UI/ml
Натрію хлорид 0,9% 1508
сумісний
ін'єкція Piperacillin sodium / tazobactam 45 mg/ml
ін'єкція Insulin aspart 1 UI/ml
Глюкоза 5% 1508
сумісний
ін'єкція Piperacillin sodium / tazobactam 40/5 mg/ml
ін'єкція Isavuconazonium sulfate 1.5 mg/ml
Натрію хлорид 0,9% 3829
сумісний
ін'єкція Piperacillin sodium / tazobactam 40/5 mg/ml
ін'єкція Lansoprazole 0.55 mg/ml
Натрію хлорид 0,9% 1625
сумісний
ін'єкція Piperacillin sodium / tazobactam 166/20.83 mg/ml
ін'єкція Levetiracetam 20.83 mg/ml
Глюкоза 5% 4254
сумісний
ін'єкція Piperacillin sodium / tazobactam 166/20.83 mg/ml
ін'єкція Levetiracetam 20.83 mg/ml
Натрію хлорид 0,9% 4254
сумісний
ін'єкція Piperacillin sodium / tazobactam 80 mg/ml
Парентеральне харчування (бінарна суміш) 3948
сумісний
ін'єкція Piperacillin sodium / tazobactam 166/20.83 mg/ml
ін'єкція Insulin 1 UI/ml
Глюкоза 5% 4254
сумісний
ін'єкція Piperacillin sodium / tazobactam 33,75 mg/ml
ін'єкція Levetiracetam 5 mg/ml
Натрію хлорид 0,9% 4569
сумісний
ін'єкція Piperacillin sodium / tazobactam 40/5 mg/ml
Парентеральне харчування (бінарна суміш) 301
Негайне помутніння Несумісні
ін'єкція Piperacillin sodium / tazobactam 40/5 mg/ml
ін'єкція Isavuconazonium sulfate 1.5 mg/ml
Глюкоза 5% 3829
Неуточнена несумісність Несумісні
ін'єкція Piperacillin sodium / tazobactam
NaHCO3 3586
Хімічна нестійкість Несумісні
ін'єкція Piperacillin sodium / tazobactam
ін'єкція Kanamycin sulfate
3586
сумісний
ін'єкція Piperacillin sodium / tazobactam 200 mg/ml
ін'єкція Ketamine hydrochloride 50 mg/ml
2109
Підзорова несумісність Несумісні
ін'єкція Piperacillin sodium / tazobactam 45 mg/ml
ін'єкція Levetiracetam 5 mg/ml
Натрію хлорид 0,9% 4569
сумісний
ін'єкція Piperacillin sodium / tazobactam 125 mg/ml
ін'єкція Linezolid 2 mg/ml
4928
сумісний
ін'єкція Piperacillin sodium / tazobactam 40/5 mg/ml
ін'єкція Linezolid 2 mg/ml
Жодного 1925
сумісний
ін'єкція Piperacillin sodium / tazobactam 40/5 mg/ml
ін'єкція Lorazepam 0.1 mg/ml
Глюкоза 5% 81
сумісний
ін'єкція Piperacillin sodium / tazobactam 40/5 mg/ml
ін'єкція Magnesium sulfate 100 mg/ml
Глюкоза 5% 81
сумісний
ін'єкція Piperacillin sodium / tazobactam 40/5 mg/ml
ін'єкція Mannitol 150 mg/ml
Глюкоза 5% 81
сумісний
ін'єкція Piperacillin sodium / tazobactam 200 mg/ml
ін'єкція Meropenem 50 mg/ml
Вода для ін'єкцій 4319
сумісний
ін'єкція Piperacillin sodium / tazobactam 40/5 mg/ml
ін'єкція Mesna 10 mg/ml
Глюкоза 5% 81
сумісний
ін'єкція Piperacillin sodium / tazobactam 40/5 mg/ml
ін'єкція Methotrexate sodium 15 mg/ml
Глюкоза 5% 81
сумісний
ін'єкція Piperacillin sodium / tazobactam 40/5 mg/ml
ін'єкція Methylprednisolone sodium succinate 5 mg/ml
Глюкоза 5% 81
сумісний
ін'єкція Piperacillin sodium / tazobactam 40/5 mg/ml
ін'єкція Metoclopramide hydrochloride 5 mg/ml
Глюкоза 5% 81
сумісний
ін'єкція Piperacillin sodium / tazobactam 40/5 mg/ml
ін'єкція Metronidazole 5 mg/ml
Глюкоза 5% 81
Миттєві опади Несумісні
ін'єкція Piperacillin sodium / tazobactam 40/5 mg/ml
ін'єкція Minocycline hydrochloride 1 mg/ml
Глюкоза 5% 81
Зміна кольору через 4 години Несумісні
ін'єкція Piperacillin sodium / tazobactam 40/5 mg/ml
ін'єкція Mitomycin 0.5 mg/ml
Глюкоза 5% 81
Миттєві опади Несумісні
ін'єкція Piperacillin sodium / tazobactam 40/5 mg/ml
ін'єкція Mitoxantrone dihydrochloride 0.5 mg/ml
Глюкоза 5% 81
сумісний
ін'єкція Piperacillin sodium / tazobactam 40/5 mg/ml
ін'єкція Morphine sulfate 1 mg/ml
Глюкоза 5% 81
сумісний
ін'єкція Piperacillin sodium / tazobactam
ін'єкція N-acetylcysteine 200 mg/ml
Жодного 3766
Негайне помутніння Несумісні
ін'єкція Piperacillin sodium / tazobactam 40/5 mg/ml
ін'єкція Nalbuphine hydrochloride 10 mg/ml
Глюкоза 5% 81
сумісний
ін'єкція Piperacillin sodium / tazobactam 200 mg/ml
ін'єкція Naloxone hydrochloride 0.4 mg/ml
Жодного 3408
Хімічна нестійкість Несумісні
ін'єкція Piperacillin sodium / tazobactam
ін'єкція Netilmicin sulfate
3586
сумісний
ін'єкція Piperacillin sodium / tazobactam 20/2,5 & 40/5 mg/ml
ін'єкція Ondansetron hydrochloride 0,015 >> 0,15 mg/ml
Натрію хлорид 0,9% 16
сумісний
ін'єкція Piperacillin sodium / tazobactam 40/5 mg/ml
ін'єкція Ondansetron hydrochloride 0.1 mg/ml
Глюкоза 5% 81
сумісний
ін'єкція Piperacillin sodium / tazobactam 200/25 mg/ml
ін'єкція Oxycodone hydrochloride 1 mg/ml
Натрію хлорид 0,9% 4842
Опади через 1 год Несумісні
ін'єкція Piperacillin sodium / tazobactam
ін'єкція Pantoprazole sodium
2090
сумісний
ін'єкція Piperacillin sodium / tazobactam 100 mg/ml
ін'єкція Paracetamol 10 mg/ml
Жодного 3571
сумісний
ін'єкція Piperacillin sodium / tazobactam 100 mg/ml
ін'єкція Paracetamol 10 mg/ml
4742
сумісний
ін'єкція Piperacillin sodium / tazobactam 200 mg/ml
ін'єкція Pentoxifyllin 5 mg/ml
Натрію хлорид 0,9% 4538
сумісний
ін'єкція Piperacillin sodium / tazobactam 40/5 mg/ml
ін'єкція Pethidine hydrochloride 4 mg/ml
Глюкоза 5% 81
Хімічна нестійкість Несумісні
ін'єкція Piperacillin sodium / tazobactam
ін'єкція Plazomicin sulfate
3586
сумісний
ін'єкція Piperacillin sodium / tazobactam 40/5 mg/ml
ін'єкція Plazomicin sulfate 24 mg/ml
Натрію хлорид 0,9% 4145
Миттєві опади Несумісні
ін'єкція Piperacillin sodium / tazobactam 160 mg/ml
ін'єкція Posaconazole 1,2 mg/ml
Натрію хлорид 0,9% 4521
сумісний
ін'єкція Piperacillin sodium / tazobactam 40/5 mg/ml
ін'єкція Potassium chloride 100 mEq/l
Глюкоза 5% 81
Негайне помутніння Несумісні
ін'єкція Piperacillin sodium / tazobactam 40/5 mg/ml
ін'єкція Prochlorperazine edysilate 0.5 mg/ml
Глюкоза 5% 81
Негайне помутніння Несумісні
ін'єкція Piperacillin sodium / tazobactam 40/5 mg/ml
ін'єкція Promethazine hydrochloride 2 mg/ml
Глюкоза 5% 81
сумісний
ін'єкція Piperacillin sodium / tazobactam 40/5 mg/ml
ін'єкція Ranitidine hydrochloride 2 mg/ml
Глюкоза 5% 81
сумісний
ін'єкція Piperacillin sodium / tazobactam 40/5 mg/ml
ін'єкція Remifentanil hydrochloride 25 & 250 µg/ml
Натрію хлорид 0,9% 59
Миттєві опади Несумісні
ін'єкція Piperacillin sodium / tazobactam 200 mg/ml
ін'єкція Salbutamol sulfate 1 mg/ml
Жодного 3216
сумісний
ін'єкція Piperacillin sodium / tazobactam 40/5 mg/ml
ін'єкція Sargramostim 10 µg/ml
Глюкоза 5% 81
сумісний
ін'єкція Piperacillin sodium / tazobactam 200 mg/ml
ін'єкція Sildenafil citrate 0,6 mg/ml
Глюкоза 5% 4845
Неуточнена несумісність Несумісні
ін'єкція Piperacillin sodium / tazobactam
ін'єкція Sodium bicarbonate
3586
сумісний
ін'єкція Piperacillin sodium / tazobactam 40/5 mg/ml
ін'єкція Sodium bicarbonate 84 mg/ml
Глюкоза 5% 81
Хімічна нестійкість Несумісні
ін'єкція Piperacillin sodium / tazobactam
ін'єкція Streptomycin sulfate
3586
Опади через 1 год Несумісні
ін'єкція Piperacillin sodium / tazobactam 40/5 mg/ml
ін'єкція Streptozocin 40 mg/ml
Глюкоза 5% 81
сумісний
ін'єкція Piperacillin sodium / tazobactam 40/5 mg/ml
ін'єкція Sulbactam/durlobactam 15/15 mg/ml
Натрію хлорид 0,9% 4801
сумісний
ін'єкція Piperacillin sodium / tazobactam 40/5 mg/ml
ін'єкція Tedizolid phosphate 0.8 mg/ml
Натрію хлорид 0,9% 3827
сумісний
ін'єкція Piperacillin sodium / tazobactam 40/5 mg/ml
ін'єкція Telavancin hydrochloride 7.5 mg/ml
Глюкоза 5% 3254
сумісний
ін'єкція Piperacillin sodium / tazobactam 40/5 mg/ml
ін'єкція Telavancin hydrochloride 7.5 mg/ml
Натрію хлорид 0,9% 3254
сумісний
ін'єкція Piperacillin sodium / tazobactam 40/5 mg/ml
ін'єкція Telavancin hydrochloride 7.5 mg/ml
Розчин лактату Рінгера 3254
Хімічна нестійкість Несумісні
ін'єкція Piperacillin sodium / tazobactam 200 mg/ml
ін'єкція Temocilline 83.33 mg/ml
Вода для ін'єкцій 2231
Неуточнена несумісність Несумісні
ін'єкція Piperacillin sodium / tazobactam
ін'єкція Temocilline
4470
сумісний
ін'єкція Piperacillin sodium / tazobactam 166/20.83 mg/ml
ін'єкція Thiamine hydrochloride 0.4 mg/ml
Глюкоза 5% 4254
Миттєві опади Несумісні
ін'єкція Piperacillin sodium / tazobactam 200 mg/ml
ін'єкція Thiopental sodium 25 mg/ml
Натрію хлорид 0,9% 3767
сумісний
ін'єкція Piperacillin sodium / tazobactam 40/5 mg/ml
ін'єкція Thiotepa 1 mg/ml
Глюкоза 5% 81
сумісний
ін'єкція Piperacillin sodium / tazobactam
ін'єкція Tigecycline
Натрію хлорид 0,9% 3332
Хімічна нестійкість Несумісні
ін'єкція Piperacillin sodium / tazobactam
ін'єкція Tobramycin sulfate
3586
Миттєві опади Несумісні
ін'єкція Piperacillin sodium / tazobactam 112,5 mg/ml
ін'єкція Vancomycin hydrochloride 10 mg/ml
Глюкоза 5% 3428
сумісний
ін'єкція Piperacillin sodium / tazobactam
Глюкоза 5% 3586
сумісний
ін'єкція Piperacillin sodium / tazobactam
Натрію хлорид 0,9% 5069
Миттєві опади Несумісні
ін'єкція Piperacillin sodium / tazobactam 100/12,5 mg/ml
ін'єкція Vancomycin hydrochloride 10 mg/ml
3365
Миттєві опади Несумісні
ін'єкція Piperacillin sodium / tazobactam 40 >> 100 mg/ml
ін'єкція Vancomycin hydrochloride 10 mg/ml
Натрію хлорид 0,9% 2475
Миттєві опади Несумісні
ін'єкція Piperacillin sodium / tazobactam
ін'єкція Vancomycin hydrochloride >8 mg/ml
Натрію хлорид 0,9% 3841
сумісний
ін'єкція Piperacillin sodium / tazobactam 16 >> 100 mg/ml
ін'єкція Vancomycin hydrochloride 2 mg/ml
Натрію хлорид 0,9% 2475
сумісний
ін'єкція Piperacillin sodium / tazobactam 16 >> 100 mg/ml
ін'єкція Vancomycin hydrochloride 5 mg/ml
Натрію хлорид 0,9% 2475
сумісний
ін'єкція Piperacillin sodium / tazobactam 16 >> 30 mg/ml
ін'єкція Vancomycin hydrochloride 10 mg/ml
Натрію хлорид 0,9% 2475
сумісний
ін'єкція Piperacillin sodium / tazobactam 30/3,75 mg/ml
ін'єкція Vancomycin hydrochloride 4 mg/ml
Натрію хлорид 0,9% 3421
сумісний
ін'єкція Piperacillin sodium / tazobactam 40/5 mg/ml
ін'єкція Vancomycin hydrochloride 4 mg/ml
Натрію хлорид 0,9% 3421
сумісний
ін'єкція Piperacillin sodium / tazobactam 33.75 >> 90 mg/ml
ін'єкція Vancomycin hydrochloride 4 >> 7 mg/ml
Натрію хлорид 0,9% 3841
Миттєві опади Несумісні
ін'єкція Piperacillin sodium / tazobactam 80 & 90 mg/ml
ін'єкція Vancomycin hydrochloride 8 mg/ml
Натрію хлорид 0,9% 3841
сумісний
ін'єкція Piperacillin sodium / tazobactam 33.75 >> 67.5 mg/ml
ін'єкція Vancomycin hydrochloride 8 mg/ml
Натрію хлорид 0,9% 3841
Негайне помутніння Несумісні
ін'єкція Piperacillin sodium / tazobactam 40/5 mg/ml
ін'єкція Vancomycin hydrochloride 10 mg/ml
Глюкоза 5% 81
Неуточнена несумісність Несумісні
ін'єкція Piperacillin sodium / tazobactam 200 mg/ml
ін'єкція Vancomycin hydrochloride 10 mg/ml
Глюкоза 5% 3385
Миттєві опади Несумісні
ін'єкція Piperacillin sodium / tazobactam 10/1.25 >> 200/25 mg/ml
ін'єкція Vancomycin hydrochloride 20 mg/ml
Глюкоза 5% 1674
Миттєві опади Несумісні
ін'єкція Piperacillin sodium / tazobactam 80 >> 100 mg/ml
ін'єкція Vancomycin hydrochloride 4 mg/ml
Глюкоза 5% 2475
Миттєві опади Несумісні
ін'єкція Piperacillin sodium / tazobactam 16 >> 100 mg/ml
ін'єкція Vancomycin hydrochloride 8 mg/ml
Глюкоза 5% 2475
Миттєві опади Несумісні
ін'єкція Piperacillin sodium / tazobactam 28 mg/ml
ін'єкція Vancomycin hydrochloride 10 & 15 mg/ml
Глюкоза 5% 3984
Миттєві опади Несумісні
ін'єкція Piperacillin sodium / tazobactam 67,5 mg/ml
ін'єкція Vancomycin hydrochloride 5 mg/ml
Глюкоза 5% 3960
сумісний
ін'єкція Piperacillin sodium / tazobactam 16 >> 40 mg/ml
ін'єкція Vancomycin hydrochloride 4 mg/ml
Глюкоза 5% 2475
сумісний
ін'єкція Piperacillin sodium / tazobactam 28 mg/ml
ін'єкція Vancomycin hydrochloride 5 mg/ml
Глюкоза 5% 3984
сумісний
ін'єкція Piperacillin sodium / tazobactam 1/0.125 >> 200/25 mg/ml
ін'єкція Vancomycin hydrochloride 2 mg/ml
Глюкоза 5% 1674
сумісний
ін'єкція Piperacillin sodium / tazobactam 1/0.125 mg/ml
ін'єкція Vancomycin hydrochloride 20 mg/ml
Глюкоза 5% 1674
сумісний
ін'єкція Piperacillin sodium / tazobactam 112.5 mg/ml
ін'єкція Vasopressin 0.2 UI/ml
Натрію хлорид 0,9% 2017
сумісний
ін'єкція Piperacillin sodium / tazobactam 40/5 mg/ml
ін'єкція Vinblastine sulfate 0.12 mg/ml
Глюкоза 5% 81
сумісний
ін'єкція Piperacillin sodium / tazobactam 40/5 mg/ml
ін'єкція Vincristine sulfate 0.05 mg/ml
Глюкоза 5% 81
сумісний
ін'єкція Piperacillin sodium / tazobactam 40/5 mg/ml
ін'єкція Zidovudine 4 mg/ml
Глюкоза 5% 81
сумісний
ін'єкція Piperacillin sodium / tazobactam 40/5 mg/ml
Normosol® 4655

  Mentions Légales