Senaste uppdateringen :
27/11/2025
Vasodilaterare   Alprostadil  
injektion
Lösningars stabilitet Stabilitet i blandningar Faktorer som påverkar stabiliteten Kompatibilitet Administreringssätt Hänvisningar pdf
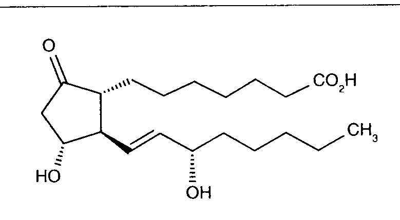
   Molekylstruktur  

Varunamn   Varunamn     

Angivna handelsnamn på läkemedel är enbart vägledande då formulering inklusive hjälpämnen kan variera mellan länder och tillverkare

Alfaprostin Egypten
Alistint Mexiko, Peru
Alprostadil Argentina, Australien, Chile, Ecuador, Förenta Staterna, Kanada, Malaysia, Peru, Rumänien, Saudi-Arabien, Spanien, Turkiet, Tyskland
Alprostapint Argentina, Colombia, Ecuador, Österrike, Peru, Ungern
Alprostar Italien
Aplicav
Cardiobonisol Polen
Caverject Belgien, Brasilien, Chile, Colombia, Danmark, Förenade Arabemiraten, Förenta Staterna, Frankrike, Italien, Kanada, Norge, Österrike, Polen, Portugal, Schweiz, Slovenien, Spanien, Storbritannien, Sverige, Turkiet
Edex Förenta Staterna, Frankrike, Grekland, Tunisien
Liple Japan
Minprog Österrike, Tyskland
Ostapint Mexiko, Peru
Palux Japan
Pridax Österrike, Rumänien, Spanien, Tyskland
Prolisina VR Argentina
Prostandin Japan
Prostavasin Egypten, Iran, Italien, Luxemburg, Österrike, Polen, Tyskland, Ungern
Prostin VR Belgien, Colombia, Danmark, Finland, Förenta Staterna, Grekland, Iran, Italien, Kanada, Kroatien, Luxemburg, Malaysia, Nederländerna, Norge, Polen, Portugal, Saudi-Arabien, Schweiz, Storbritannien, Ungern, Venezuela
Prostine VR Frankrike
Vasaprostan Rumänien
Kompatibilitet   injektion   Kompatibilitet : Alprostadil              
Den här skärmen visar kompatibiliteten eller inkompatibiliteten med, i detta fall, typen av inkompatibilitet (utfällning, färgförändring, modifiering av en emulsion, etc.). De kompatibiliteter som visas här är oftast endast fysiska, varvid den kemiska stabiliteten för varje molekyl sällan utvärderas. Utvärderingen av dessa blandningar studerades för att överväga möjligheten för Y-platsadministrering till patienten. Dessa data kan inte användas för att göra blandningar i förväg i påsar eller sprutor. Denna typ av information finns på skärmen "Stabilitet i blandning".
Substans Lösningsmedel Hänvisningar
Kompatibel
injektion Alprostadil 20 µg/ml
injektion Caffeine citrate 20 mg/ml
Natriumklorid 0,9 % 4837
Kompatibel
injektion Alprostadil
Glukos 5 % 4954
Kompatibel
injektion Alprostadil 20 µg/ml
injektion Amiodarone hydrochloride 6 mg/ml
Glukos 5 % 4651
Kompatibel
injektion Alprostadil 20 µg/ml
injektion Amiodarone hydrochloride 6 mg/ml
Glukos 5 % 4491
Kompatibel
injektion Alprostadil 15 µg/ml
injektion Ampicillin sodium 100 mg/ml
3201
Kompatibel
injektion Alprostadil 20 µg/ml
injektion Caffeine 10 mg/ml
Natriumklorid 0,9 % 4837
Kompatibel
injektion Alprostadil 20 µg/ml
injektion Calcium gluconate 10 mg/ml
Glukos 5 % 4651
Kompatibel
injektion Alprostadil 20 µg/ml
injektion Calcium gluconate 0,04 mg/ml
Glukos 10 % 4491
Kompatibel
injektion Alprostadil 15 µg/ml
injektion Cefazolin sodium 100 mg/ml
3201
Kompatibel
injektion Alprostadil 15 µg/ml
injektion Cefotaxime sodium 100 mg/ml
3201
Kompatibel
injektion Alprostadil 15 µg/ml
injektion Chlorothiazide sodium 25 mg/ml
3201
Omedelbar nederbörd Oförenlig
injektion Alprostadil 20 µg/ml
injektion Cisatracurium besylate 1,2 mg/ml
Glukos 5 % 4651
Kompatibel
injektion Alprostadil 20 µg/ml
Parenteral nutrition (med lipider) 4507
Omedelbar nederbörd Oförenlig
injektion Alprostadil 20 µg/ml
injektion Cisatracurium besylate 1,2 mg/ml
Glukos 5 % 4491
Omedelbar grumlighet Oförenlig
injektion Alprostadil 20 µg/ml
injektion Dexmedetomidine 4 µg/ml
Glukos 5 % 4651
Kompatibel
injektion Alprostadil 20 µg/ml
injektion Dexmedetomidine 4 µg/ml
Glukos 5 % 4491
Kompatibel
injektion Alprostadil 500 µg/ml
injektion Dexmedetomidine 100 µg/ml
4389
Kompatibel
injektion Alprostadil 20 µg/ml
injektion Dobutamine hydrochloride 10 mg/ml
Glukos 5 % 4651
Kompatibel
injektion Alprostadil 15 µg/ml
injektion Dobutamine hydrochloride 3 mg/ml
3201
Kompatibel
injektion Alprostadil 20 µg/ml
injektion Dobutamine hydrochloride 10 mg/ml
Glukos 5 % 4491
Kompatibel
injektion Alprostadil 20 µg/ml
injektion Dopamine hydrochloride 10 mg/ml
Glukos 5 % 4651
Kompatibel
injektion Alprostadil 15 µg/ml
injektion Dopamine hydrochloride 3 mg/ml
3201
Kompatibel
injektion Alprostadil 20 µg/ml
injektion Dopamine hydrochloride 10 mg/ml
Glukos 5 % 4491
Kompatibel
injektion Alprostadil 20 µg/ml
injektion Epinephrine hydrochloride 0,2 µg/ml
Glukos 5 % 4491
Kompatibel
injektion Alprostadil 20 µg/ml
injektion Epinephrine hydrochloride 200 µg/ml
Glukos 5 % 4651
Kompatibel
injektion Alprostadil 20 µg/ml
injektion Fentanyl citrate 40 µg/ml
Glukos 5 % 4651
Kompatibel
injektion Alprostadil 15 µg/ml
injektion Fentanyl citrate 10 µg/ml
3201
Kompatibel
injektion Alprostadil 20 µg/ml
injektion Fentanyl citrate 40 µg/ml
Natriumklorid 0,9 % 4491
Kompatibel
injektion Alprostadil 20 µg/ml
injektion Flecainide acetate 2 mg/ml
Glukos 5 % 4491
Kompatibel
injektion Alprostadil 20 µg/ml
injektion Flecainide acetate 2 mg/ml
Glukos 5 % 4651
Kompatibel
injektion Alprostadil 15 µg/ml
injektion Furosemide 5 mg/ml
3201
Kompatibel
injektion Alprostadil 20 µg/ml
injektion Furosemide 5 mg/ml
Glukos 5 % 4651
Kompatibel
injektion Alprostadil 20 µg/ml
injektion Furosemide 5 mg/ml
Natriumklorid 0,9 % 4491
Kompatibel
injektion Alprostadil 1 µg/ml
injektion Furosemide 10 mg/ml
Natriumklorid 0,9 % 4570
Kompatibel
injektion Alprostadil 15 µg/ml
injektion Gentamicin sulfate 1 mg/ml
3201
Kompatibel
injektion Alprostadil 20 µg/ml
injektion Heparin sodium 1 UI/ml
Natriumklorid 0,9 % 4491
Kompatibel
injektion Alprostadil 20 µg/ml
injektion Heparin sodium 1 UI/ml
Glukos 5 % 4651
Omedelbar grumlighet Oförenlig
injektion Alprostadil 20 µg/ml
injektion Insulin 1 UI/ml
Glukos 5 % 4491
Omedelbar nederbörd Oförenlig
injektion Alprostadil 20 µg/ml
injektion Insulin 1 UI/ml
Natriumklorid 0,9 % 4651
Kompatibel
injektion Alprostadil 500 µg/ml
injektion Ketamine hydrochloride 50 mg/ml
4389
Kompatibel
injektion Alprostadil 20 µg/ml
injektion Ketamine hydrochloride 5 mg/ml
Glukos 5 % 4651
Kompatibel
injektion Alprostadil 20 µg/ml
injektion Ketamine hydrochloride 5 mg/ml
Glukos 5 % 4491
Omedelbar nederbörd Oförenlig
injektion Alprostadil 500 µg/ml
injektion Levofloxacine 5 mg/ml
Glukos 5 % 1072
Kompatibel
injektion Alprostadil 15 µg/ml
injektion Methylprednisolone sodium succinate 40 mg/ml
3201
Kompatibel
injektion Alprostadil 20 µg/ml
injektion Midazolam hydrochloride 2,5 mg/ml
Glukos 5 % 4491
Kompatibel
injektion Alprostadil 20 µg/ml
injektion Midazolam hydrochloride 2,5 mg/ml
Glukos 5 % 4651
Kompatibel
injektion Alprostadil 20 µg/ml
injektion Milrinone lactate 0,5 mg/ml
Glukos 5 % 4491
Kompatibel
injektion Alprostadil 500 µg/ml
injektion Milrinone lactate 1 mg/ml
4389
Kompatibel
injektion Alprostadil 20 µg/ml
injektion Milrinone lactate 0,5 mg/ml
Glukos 5 % 4651
Kompatibel
injektion Alprostadil 20 µg/ml
injektion Morphine hydrochloride 2 mg/ml
Glukos 5 % 4651
Utfällning efter 4 timmar Oförenlig
injektion Alprostadil 20 µg/ml
injektion Norepinephrine bitartrate 0,5 mg/ml
Glukos 5 % 4491
Utfällning efter 4 timmar Oförenlig
injektion Alprostadil 20 µg/ml
injektion Norepinephrine bitartrate 0,5 mg/ml
Glukos 5 % 4651
Kompatibel
injektion Alprostadil
injektion Pantoprazole sodium
2090
Oförenlig
injektion Alprostadil
injektion Papaverine hydrochloride
2150
Kompatibel
injektion Alprostadil
Natriumklorid 0,9 % 4954
Kompatibel
injektion Alprostadil 6 µg/ml
injektion Pentoxifyllin 5 mg/ml
Natriumklorid 0,9 % 4543
Oförenlig
injektion Alprostadil
injektion Phentolamine mesylate
2150
Kompatibel
injektion Alprostadil 20 µg/ml
injektion Sildenafil citrate 0,6 mg/ml
Glukos 5 % 4845
Kompatibel
injektion Alprostadil 15 µg/ml
injektion Tobramycin sulfate 1 mg/ml
3201
Kompatibel
injektion Alprostadil 15 µg/ml
injektion Vancomycin hydrochloride 5 mg/ml
3201
Kompatibel
injektion Alprostadil 15 µg/ml
injektion Vecuronium bromide 1 mg/ml
3201

  Mentions Légales