Последно актуализиране :
27/11/2025
Вазодилататор   Alprostadil  
Инжекция/Инжекционен
Стабилност на разтвори Стабилност на смеси Фактори, повлияващи стабилността Съвместимост Път на въвеждане Библиография Pdf
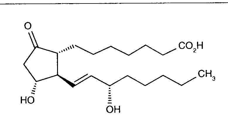
   Химична структура  

Търговско наименование   Търговско наименование     

Търговските имена са примерни и съставът на помощните вещества може да бъде различен в зависимост от държавата и лабораториите

Alfaprostin Египет
Alistint Мексико, Перу
Alprostadil Австралия, Аржентина, Германия, Еквадор, Испания, Канада, Малайзия, Перу, Румъния, Саудитска Арабия, Съединени Американски щати / САЩ, Турция, Чили
Alprostapint Австрия, Аржентина, Еквадор, Колумбия, Перу, Унгария
Alprostar Италия
Aplicav
Cardiobonisol Полша
Caverject Австрия, Белгия, Бразилия, Великобритания, Дания, Испания, Италия, Канада, Колумбия, Норвегия, Обединени арабски емирства, Полша, Португалия, Словения, Съединени Американски щати / САЩ, Турция, Франция, Чили, Швейцария, Швеция
Edex Гърция, Съединени Американски щати / САЩ, Тунис, Франция
Liple Япония
Minprog Австрия, Германия
Ostapint Мексико, Перу
Palux Япония
Pridax Австрия, Германия, Испания, Румъния
Prolisina VR Аржентина
Prostandin Япония
Prostavasin Австрия, Германия, Египет, Иран, Италия, Люксенбург, Полша, Унгария
Prostin VR Белгия, Великобритания, Венецуела, Гърция, Дания, Иран, Италия, Канада, Колумбия, Люксенбург, Малайзия, Норвегия, Полша, Португалия, Саудитска Арабия, Съединени Американски щати / САЩ, Унгария, Финландия, Холандия, Хърватия, Швейцария
Prostine VR Франция
Vasaprostan Румъния
Съвместимост   Инжекция/Инжекционен   Съвместимост : Alprostadil              
Този екран показва съвместимостта или несъвместимостта с, в този случай, вида на несъвместимостта (утаяване, промяна на цвета, модификация на емулсия и др.). Показаните тук съвместимости са предимно физически, като рядко се оценява химическата стабилност на всяка молекула. Оценката на тези смеси беше проучена, за да се разгледа възможността за приложение на Y-място на пациента. Тези данни не могат да се използват за предварително приготвяне на смеси в торбички или спринцовки. Този тип информация е достъпна на екрана "Стабилност в сместа".
Състав / молекула Разтворител Библиография
съвместим
Инжекция/Инжекционен Alprostadil 20 µg/ml
Инжекция/Инжекционен Caffeine citrate 20 mg/ml
Sodium chloride 0,9% 4837
съвместим
Инжекция/Инжекционен Alprostadil
Glucose 5% 4954
съвместим
Инжекция/Инжекционен Alprostadil 20 µg/ml
Инжекция/Инжекционен Amiodarone hydrochloride 6 mg/ml
Glucose 5% 4651
съвместим
Инжекция/Инжекционен Alprostadil 20 µg/ml
Инжекция/Инжекционен Amiodarone hydrochloride 6 mg/ml
Glucose 5% 4491
съвместим
Инжекция/Инжекционен Alprostadil 15 µg/ml
Инжекция/Инжекционен Ampicillin sodium 100 mg/ml
3201
съвместим
Инжекция/Инжекционен Alprostadil 20 µg/ml
Инжекция/Инжекционен Caffeine 10 mg/ml
Sodium chloride 0,9% 4837
съвместим
Инжекция/Инжекционен Alprostadil 20 µg/ml
Инжекция/Инжекционен Calcium gluconate 10 mg/ml
Glucose 5% 4651
съвместим
Инжекция/Инжекционен Alprostadil 20 µg/ml
Инжекция/Инжекционен Calcium gluconate 0,04 mg/ml
Glucose 10% 4491
съвместим
Инжекция/Инжекционен Alprostadil 15 µg/ml
Инжекция/Инжекционен Cefazolin sodium 100 mg/ml
3201
съвместим
Инжекция/Инжекционен Alprostadil 15 µg/ml
Инжекция/Инжекционен Cefotaxime sodium 100 mg/ml
3201
съвместим
Инжекция/Инжекционен Alprostadil 15 µg/ml
Инжекция/Инжекционен Chlorothiazide sodium 25 mg/ml
3201
Незабавни валежи Несъвместим
Инжекция/Инжекционен Alprostadil 20 µg/ml
Инжекция/Инжекционен Cisatracurium besylate 1,2 mg/ml
Glucose 5% 4651
съвместим
Инжекция/Инжекционен Alprostadil 20 µg/ml
Парентерално хранене (с липиди) 4507
Незабавни валежи Несъвместим
Инжекция/Инжекционен Alprostadil 20 µg/ml
Инжекция/Инжекционен Cisatracurium besylate 1,2 mg/ml
Glucose 5% 4491
Незабавна мътност Несъвместим
Инжекция/Инжекционен Alprostadil 20 µg/ml
Инжекция/Инжекционен Dexmedetomidine 4 µg/ml
Glucose 5% 4651
съвместим
Инжекция/Инжекционен Alprostadil 20 µg/ml
Инжекция/Инжекционен Dexmedetomidine 4 µg/ml
Glucose 5% 4491
съвместим
Инжекция/Инжекционен Alprostadil 500 µg/ml
Инжекция/Инжекционен Dexmedetomidine 100 µg/ml
4389
съвместим
Инжекция/Инжекционен Alprostadil 20 µg/ml
Инжекция/Инжекционен Dobutamine hydrochloride 10 mg/ml
Glucose 5% 4651
съвместим
Инжекция/Инжекционен Alprostadil 15 µg/ml
Инжекция/Инжекционен Dobutamine hydrochloride 3 mg/ml
3201
съвместим
Инжекция/Инжекционен Alprostadil 20 µg/ml
Инжекция/Инжекционен Dobutamine hydrochloride 10 mg/ml
Glucose 5% 4491
съвместим
Инжекция/Инжекционен Alprostadil 20 µg/ml
Инжекция/Инжекционен Dopamine hydrochloride 10 mg/ml
Glucose 5% 4651
съвместим
Инжекция/Инжекционен Alprostadil 15 µg/ml
Инжекция/Инжекционен Dopamine hydrochloride 3 mg/ml
3201
съвместим
Инжекция/Инжекционен Alprostadil 20 µg/ml
Инжекция/Инжекционен Dopamine hydrochloride 10 mg/ml
Glucose 5% 4491
съвместим
Инжекция/Инжекционен Alprostadil 20 µg/ml
Инжекция/Инжекционен Epinephrine hydrochloride 0,2 µg/ml
Glucose 5% 4491
съвместим
Инжекция/Инжекционен Alprostadil 20 µg/ml
Инжекция/Инжекционен Epinephrine hydrochloride 200 µg/ml
Glucose 5% 4651
съвместим
Инжекция/Инжекционен Alprostadil 20 µg/ml
Инжекция/Инжекционен Fentanyl citrate 40 µg/ml
Glucose 5% 4651
съвместим
Инжекция/Инжекционен Alprostadil 15 µg/ml
Инжекция/Инжекционен Fentanyl citrate 10 µg/ml
3201
съвместим
Инжекция/Инжекционен Alprostadil 20 µg/ml
Инжекция/Инжекционен Fentanyl citrate 40 µg/ml
Sodium chloride 0,9% 4491
съвместим
Инжекция/Инжекционен Alprostadil 20 µg/ml
Инжекция/Инжекционен Flecainide acetate 2 mg/ml
Glucose 5% 4491
съвместим
Инжекция/Инжекционен Alprostadil 20 µg/ml
Инжекция/Инжекционен Flecainide acetate 2 mg/ml
Glucose 5% 4651
съвместим
Инжекция/Инжекционен Alprostadil 15 µg/ml
Инжекция/Инжекционен Furosemide 5 mg/ml
3201
съвместим
Инжекция/Инжекционен Alprostadil 20 µg/ml
Инжекция/Инжекционен Furosemide 5 mg/ml
Glucose 5% 4651
съвместим
Инжекция/Инжекционен Alprostadil 20 µg/ml
Инжекция/Инжекционен Furosemide 5 mg/ml
Sodium chloride 0,9% 4491
съвместим
Инжекция/Инжекционен Alprostadil 1 µg/ml
Инжекция/Инжекционен Furosemide 10 mg/ml
Sodium chloride 0,9% 4570
съвместим
Инжекция/Инжекционен Alprostadil 15 µg/ml
Инжекция/Инжекционен Gentamicin sulfate 1 mg/ml
3201
съвместим
Инжекция/Инжекционен Alprostadil 20 µg/ml
Инжекция/Инжекционен Heparin sodium 1 UI/ml
Sodium chloride 0,9% 4491
съвместим
Инжекция/Инжекционен Alprostadil 20 µg/ml
Инжекция/Инжекционен Heparin sodium 1 UI/ml
Glucose 5% 4651
Незабавна мътност Несъвместим
Инжекция/Инжекционен Alprostadil 20 µg/ml
Инжекция/Инжекционен Insulin 1 UI/ml
Glucose 5% 4491
Незабавни валежи Несъвместим
Инжекция/Инжекционен Alprostadil 20 µg/ml
Инжекция/Инжекционен Insulin 1 UI/ml
Sodium chloride 0,9% 4651
съвместим
Инжекция/Инжекционен Alprostadil 500 µg/ml
Инжекция/Инжекционен Ketamine hydrochloride 50 mg/ml
4389
съвместим
Инжекция/Инжекционен Alprostadil 20 µg/ml
Инжекция/Инжекционен Ketamine hydrochloride 5 mg/ml
Glucose 5% 4651
съвместим
Инжекция/Инжекционен Alprostadil 20 µg/ml
Инжекция/Инжекционен Ketamine hydrochloride 5 mg/ml
Glucose 5% 4491
Незабавни валежи Несъвместим
Инжекция/Инжекционен Alprostadil 500 µg/ml
Инжекция/Инжекционен Levofloxacine 5 mg/ml
Glucose 5% 1072
съвместим
Инжекция/Инжекционен Alprostadil 15 µg/ml
Инжекция/Инжекционен Methylprednisolone sodium succinate 40 mg/ml
3201
съвместим
Инжекция/Инжекционен Alprostadil 20 µg/ml
Инжекция/Инжекционен Midazolam hydrochloride 2,5 mg/ml
Glucose 5% 4491
съвместим
Инжекция/Инжекционен Alprostadil 20 µg/ml
Инжекция/Инжекционен Midazolam hydrochloride 2,5 mg/ml
Glucose 5% 4651
съвместим
Инжекция/Инжекционен Alprostadil 20 µg/ml
Инжекция/Инжекционен Milrinone lactate 0,5 mg/ml
Glucose 5% 4491
съвместим
Инжекция/Инжекционен Alprostadil 500 µg/ml
Инжекция/Инжекционен Milrinone lactate 1 mg/ml
4389
съвместим
Инжекция/Инжекционен Alprostadil 20 µg/ml
Инжекция/Инжекционен Milrinone lactate 0,5 mg/ml
Glucose 5% 4651
съвместим
Инжекция/Инжекционен Alprostadil 20 µg/ml
Инжекция/Инжекционен Morphine hydrochloride 2 mg/ml
Glucose 5% 4651
Валежи след 4 часа Несъвместим
Инжекция/Инжекционен Alprostadil 20 µg/ml
Инжекция/Инжекционен Norepinephrine bitartrate 0,5 mg/ml
Glucose 5% 4491
Валежи след 4 часа Несъвместим
Инжекция/Инжекционен Alprostadil 20 µg/ml
Инжекция/Инжекционен Norepinephrine bitartrate 0,5 mg/ml
Glucose 5% 4651
съвместим
Инжекция/Инжекционен Alprostadil
Инжекция/Инжекционен Pantoprazole sodium
2090
Несъвместим
Инжекция/Инжекционен Alprostadil
Инжекция/Инжекционен Papaverine hydrochloride
2150
съвместим
Инжекция/Инжекционен Alprostadil
Sodium chloride 0,9% 4954
съвместим
Инжекция/Инжекционен Alprostadil 6 µg/ml
Инжекция/Инжекционен Pentoxifyllin 5 mg/ml
Sodium chloride 0,9% 4543
Несъвместим
Инжекция/Инжекционен Alprostadil
Инжекция/Инжекционен Phentolamine mesylate
2150
съвместим
Инжекция/Инжекционен Alprostadil 20 µg/ml
Инжекция/Инжекционен Sildenafil citrate 0,6 mg/ml
Glucose 5% 4845
съвместим
Инжекция/Инжекционен Alprostadil 15 µg/ml
Инжекция/Инжекционен Tobramycin sulfate 1 mg/ml
3201
съвместим
Инжекция/Инжекционен Alprostadil 15 µg/ml
Инжекция/Инжекционен Vancomycin hydrochloride 5 mg/ml
3201
съвместим
Инжекция/Инжекционен Alprostadil 15 µg/ml
Инжекция/Инжекционен Vecuronium bromide 1 mg/ml
3201

  Mentions Légales