Ostatnia aktualizacja :
27/11/2025
Lek rozszerzający naczynia   Alprostadil  
Injekcje
Trwałość roztworów Trwałość w mieszaninie Czynnik wpływający na trwałość Zgodność Sposób podania Bibliografia pdf
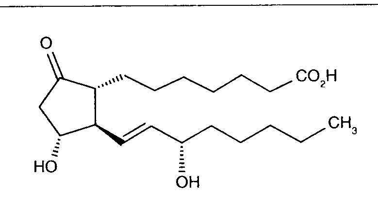
   Struktura chemiczna  

Nazwa handlowa   Nazwa handlowa     

Trade names are indicative and excipients composition can be different depending on the country and manufacturers

Alfaprostin Egipt
Alistint Meksyk, Peru
Alprostadil Arabia Saudyjska, Argentyna, Australia, Chile, Ekwador, Hiszpania, Kanada, Malezja, Niemcy, Peru, Rumunia, Stany Zjednoczone Ameryki, Turcja
Alprostapint Argentyna, Austria, Ekwador, KolumbiaKolumbia, Peru, Węgry
Alprostar Włochy
Aplicav
Cardiobonisol Polska
Caverject Austria, Belgia, Brazylia, Chile, Dania, Francja , Hiszpania, Kanada, KolumbiaKolumbia, Norwegia, Polska, Portugalia, Stany Zjednoczone Ameryki, Szwajcaria, Szwecja, Słowenia, Turcja, Wielka Brytania, Włochy, Zjednoczone Emiraty Arabskie
Edex Francja , Grecja, Stany Zjednoczone Ameryki, Tunisie
Liple Japonia
Minprog Austria, Niemcy
Ostapint Meksyk, Peru
Palux Japonia
Pridax Austria, Hiszpania, Niemcy, Rumunia
Prolisina VR Argentyna
Prostandin Japonia
Prostavasin Austria, Egipt, Iran, Luksemburg, Niemcy, Polska, Węgry, Włochy
Prostin VR Arabia Saudyjska, Belgia, Chorwacja, Dania, Finlandia, Grecja, Holandia, Iran, Kanada, KolumbiaKolumbia, Luksemburg, Malezja, Norwegia, Polska, Portugalia, Stany Zjednoczone Ameryki, Szwajcaria, Węgry, Wenezuela, Wielka Brytania, Włochy
Prostine VR Francja
Vasaprostan Rumunia
Zgodność   Injekcje   Zgodność : Alprostadil              
Ekran ten wskazuje na kompatybilności lub niezgodności z, w tym przypadku, rodzajem niezgodności (strącanie, zmiana koloru, modyfikacja emulsji, itp.). Przedstawione tutaj kompatybilności są głównie fizyczne, a stabilność chemiczna każdej cząsteczki jest rzadko oceniana. Ocenę tych mieszanin badano w celu rozważenia możliwości podania pacjentowi w miejscu Y. Dane te nie mogą być wykorzystywane do sporządzania mieszanin z wyprzedzeniem w workach lub strzykawkach. Tego typu informacje są dostępne na ekranie „Stabilność w mieszaninie”.
Związek Rozpuszczalnik Bibliografia
Zgodny
Injekcje Alprostadil 20 µg/ml
Injekcje Caffeine citrate 20 mg/ml
Chlorek sodu 0,9% 4837
Zgodny
Injekcje Alprostadil
Glukoza 5% 4954
Zgodny
Injekcje Alprostadil 20 µg/ml
Injekcje Amiodarone hydrochloride 6 mg/ml
Glukoza 5% 4651
Zgodny
Injekcje Alprostadil 20 µg/ml
Injekcje Amiodarone hydrochloride 6 mg/ml
Glukoza 5% 4491
Zgodny
Injekcje Alprostadil 15 µg/ml
Injekcje Ampicillin sodium 100 mg/ml
3201
Zgodny
Injekcje Alprostadil 20 µg/ml
Injekcje Caffeine 10 mg/ml
Chlorek sodu 0,9% 4837
Zgodny
Injekcje Alprostadil 20 µg/ml
Injekcje Calcium gluconate 10 mg/ml
Glukoza 5% 4651
Zgodny
Injekcje Alprostadil 20 µg/ml
Injekcje Calcium gluconate 0,04 mg/ml
Glukoza 10% 4491
Zgodny
Injekcje Alprostadil 15 µg/ml
Injekcje Cefazolin sodium 100 mg/ml
3201
Zgodny
Injekcje Alprostadil 15 µg/ml
Injekcje Cefotaxime sodium 100 mg/ml
3201
Zgodny
Injekcje Alprostadil 15 µg/ml
Injekcje Chlorothiazide sodium 25 mg/ml
3201
Natychmiastowe opady Niekompatybilny
Injekcje Alprostadil 20 µg/ml
Injekcje Cisatracurium besylate 1,2 mg/ml
Glukoza 5% 4651
Zgodny
Injekcje Alprostadil 20 µg/ml
Żywienie pozajelitowe (lipidami) 4507
Natychmiastowe opady Niekompatybilny
Injekcje Alprostadil 20 µg/ml
Injekcje Cisatracurium besylate 1,2 mg/ml
Glukoza 5% 4491
Natychmiastowe zmętnienie Niekompatybilny
Injekcje Alprostadil 20 µg/ml
Injekcje Dexmedetomidine 4 µg/ml
Glukoza 5% 4651
Zgodny
Injekcje Alprostadil 20 µg/ml
Injekcje Dexmedetomidine 4 µg/ml
Glukoza 5% 4491
Zgodny
Injekcje Alprostadil 500 µg/ml
Injekcje Dexmedetomidine 100 µg/ml
4389
Zgodny
Injekcje Alprostadil 20 µg/ml
Injekcje Dobutamine hydrochloride 10 mg/ml
Glukoza 5% 4651
Zgodny
Injekcje Alprostadil 15 µg/ml
Injekcje Dobutamine hydrochloride 3 mg/ml
3201
Zgodny
Injekcje Alprostadil 20 µg/ml
Injekcje Dobutamine hydrochloride 10 mg/ml
Glukoza 5% 4491
Zgodny
Injekcje Alprostadil 20 µg/ml
Injekcje Dopamine hydrochloride 10 mg/ml
Glukoza 5% 4651
Zgodny
Injekcje Alprostadil 15 µg/ml
Injekcje Dopamine hydrochloride 3 mg/ml
3201
Zgodny
Injekcje Alprostadil 20 µg/ml
Injekcje Dopamine hydrochloride 10 mg/ml
Glukoza 5% 4491
Zgodny
Injekcje Alprostadil 20 µg/ml
Injekcje Epinephrine hydrochloride 0,2 µg/ml
Glukoza 5% 4491
Zgodny
Injekcje Alprostadil 20 µg/ml
Injekcje Epinephrine hydrochloride 200 µg/ml
Glukoza 5% 4651
Zgodny
Injekcje Alprostadil 20 µg/ml
Injekcje Fentanyl citrate 40 µg/ml
Glukoza 5% 4651
Zgodny
Injekcje Alprostadil 15 µg/ml
Injekcje Fentanyl citrate 10 µg/ml
3201
Zgodny
Injekcje Alprostadil 20 µg/ml
Injekcje Fentanyl citrate 40 µg/ml
Chlorek sodu 0,9% 4491
Zgodny
Injekcje Alprostadil 20 µg/ml
Injekcje Flecainide acetate 2 mg/ml
Glukoza 5% 4491
Zgodny
Injekcje Alprostadil 20 µg/ml
Injekcje Flecainide acetate 2 mg/ml
Glukoza 5% 4651
Zgodny
Injekcje Alprostadil 15 µg/ml
Injekcje Furosemide 5 mg/ml
3201
Zgodny
Injekcje Alprostadil 20 µg/ml
Injekcje Furosemide 5 mg/ml
Glukoza 5% 4651
Zgodny
Injekcje Alprostadil 20 µg/ml
Injekcje Furosemide 5 mg/ml
Chlorek sodu 0,9% 4491
Zgodny
Injekcje Alprostadil 1 µg/ml
Injekcje Furosemide 10 mg/ml
Chlorek sodu 0,9% 4570
Zgodny
Injekcje Alprostadil 15 µg/ml
Injekcje Gentamicin sulfate 1 mg/ml
3201
Zgodny
Injekcje Alprostadil 20 µg/ml
Injekcje Heparin sodium 1 UI/ml
Chlorek sodu 0,9% 4491
Zgodny
Injekcje Alprostadil 20 µg/ml
Injekcje Heparin sodium 1 UI/ml
Glukoza 5% 4651
Natychmiastowe zmętnienie Niekompatybilny
Injekcje Alprostadil 20 µg/ml
Injekcje Insulin 1 UI/ml
Glukoza 5% 4491
Natychmiastowe opady Niekompatybilny
Injekcje Alprostadil 20 µg/ml
Injekcje Insulin 1 UI/ml
Chlorek sodu 0,9% 4651
Zgodny
Injekcje Alprostadil 500 µg/ml
Injekcje Ketamine hydrochloride 50 mg/ml
4389
Zgodny
Injekcje Alprostadil 20 µg/ml
Injekcje Ketamine hydrochloride 5 mg/ml
Glukoza 5% 4651
Zgodny
Injekcje Alprostadil 20 µg/ml
Injekcje Ketamine hydrochloride 5 mg/ml
Glukoza 5% 4491
Natychmiastowe opady Niekompatybilny
Injekcje Alprostadil 500 µg/ml
Injekcje Levofloxacine 5 mg/ml
Glukoza 5% 1072
Zgodny
Injekcje Alprostadil 15 µg/ml
Injekcje Methylprednisolone sodium succinate 40 mg/ml
3201
Zgodny
Injekcje Alprostadil 20 µg/ml
Injekcje Midazolam hydrochloride 2,5 mg/ml
Glukoza 5% 4491
Zgodny
Injekcje Alprostadil 20 µg/ml
Injekcje Midazolam hydrochloride 2,5 mg/ml
Glukoza 5% 4651
Zgodny
Injekcje Alprostadil 20 µg/ml
Injekcje Milrinone lactate 0,5 mg/ml
Glukoza 5% 4491
Zgodny
Injekcje Alprostadil 500 µg/ml
Injekcje Milrinone lactate 1 mg/ml
4389
Zgodny
Injekcje Alprostadil 20 µg/ml
Injekcje Milrinone lactate 0,5 mg/ml
Glukoza 5% 4651
Zgodny
Injekcje Alprostadil 20 µg/ml
Injekcje Morphine hydrochloride 2 mg/ml
Glukoza 5% 4651
Opady po 4 godzinach Niekompatybilny
Injekcje Alprostadil 20 µg/ml
Injekcje Norepinephrine bitartrate 0,5 mg/ml
Glukoza 5% 4491
Opady po 4 godzinach Niekompatybilny
Injekcje Alprostadil 20 µg/ml
Injekcje Norepinephrine bitartrate 0,5 mg/ml
Glukoza 5% 4651
Zgodny
Injekcje Alprostadil
Injekcje Pantoprazole sodium
2090
Niekompatybilny
Injekcje Alprostadil
Injekcje Papaverine hydrochloride
2150
Zgodny
Injekcje Alprostadil
Chlorek sodu 0,9% 4954
Zgodny
Injekcje Alprostadil 6 µg/ml
Injekcje Pentoxifyllin 5 mg/ml
Chlorek sodu 0,9% 4543
Niekompatybilny
Injekcje Alprostadil
Injekcje Phentolamine mesylate
2150
Zgodny
Injekcje Alprostadil 20 µg/ml
Injekcje Sildenafil citrate 0,6 mg/ml
Glukoza 5% 4845
Zgodny
Injekcje Alprostadil 15 µg/ml
Injekcje Tobramycin sulfate 1 mg/ml
3201
Zgodny
Injekcje Alprostadil 15 µg/ml
Injekcje Vancomycin hydrochloride 5 mg/ml
3201
Zgodny
Injekcje Alprostadil 15 µg/ml
Injekcje Vecuronium bromide 1 mg/ml
3201

  Mentions Légales