Ultimo aggiornamento :
27/11/2025
Vasodilatatore   Alprostadil  
Iniezione
Stabilità in soluzione Stabilità in miscela Fattori che influenzano la stabilità Compatibilità metodo di iniezione Bibliografia pdf
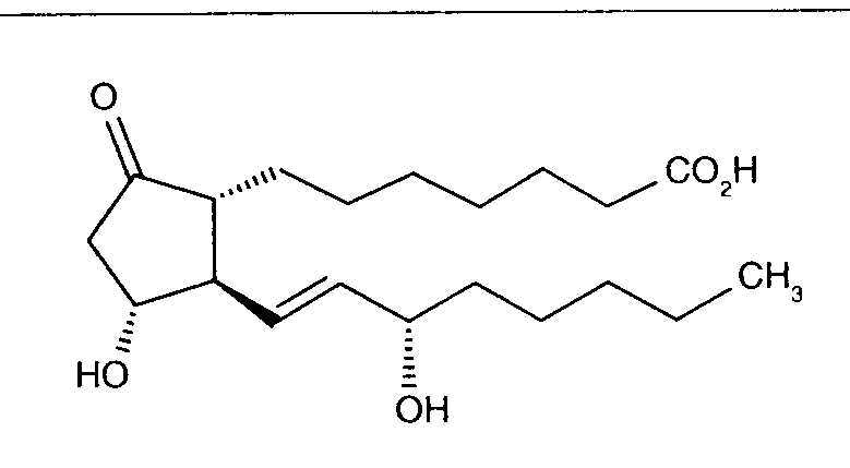
   Struttura chimica  

Nome commerciale   Nome commerciale     

Trade names are indicative and excipients composition can be different depending on the country and manufacturers

Alfaprostin Egitto
Alistint Messico, Perù
Alprostadil Arabia Saudita, Argentina, Australia, Canada, Chile, Ecuador, Germania, Malaysia, Perù, Romania, Spagna, Stati Uniti d’America, Turchia
Alprostapint Argentina, Austria, Colombia, Ecuador, Perù, Ungheria
Alprostar Italia
Aplicav
Cardiobonisol Polonia
Caverject Austria, Belgio, Brasile, Canada, Chile, Colombia, Danimarca, Emirati Arabi Uniti, Francia, Gran Bretagna, Italia, Norvegia, Polonia, Portogallo, Slovenia, Spagna, Stati Uniti d’America, Svezia, Svizzera, Turchia
Edex Francia, Grecia, Stati Uniti d’America, Tunisia
Liple Giappone
Minprog Austria, Germania
Ostapint Messico, Perù
Palux Giappone
Pridax Austria, Germania, Romania, Spagna
Prolisina VR Argentina
Prostandin Giappone
Prostavasin Austria, Egitto, Germania, Iran, Italia, Lussemburgo, Polonia, Ungheria
Prostin VR Arabia Saudita, Belgio, Canada, Colombia, Croazia, Danimarca, Finlandia, Gran Bretagna, Grecia, Iran, Italia, Lussemburgo, Malaysia, Norvegia, Paesi Bassi, Polonia, Portogallo, Stati Uniti d’America, Svizzera, Ungheria, Venezuela
Prostine VR Francia
Vasaprostan Romania
Compatibilità   Iniezione   Compatibilità : Alprostadil              
explication_incompatibilite_molecules
Molecola Solvente Bibliografia
Compatibile
Iniezione Alprostadil 20 µg/ml
Iniezione Caffeine citrate 20 mg/ml
Cloruro di sodio 0,9% 4837
Compatibile
Iniezione Alprostadil
Glucosio 5% 4954
Compatibile
Iniezione Alprostadil 20 µg/ml
Iniezione Amiodarone hydrochloride 6 mg/ml
Glucosio 5% 4651
Compatibile
Iniezione Alprostadil 20 µg/ml
Iniezione Amiodarone hydrochloride 6 mg/ml
Glucosio 5% 4491
Compatibile
Iniezione Alprostadil 15 µg/ml
Iniezione Ampicillin sodium 100 mg/ml
3201
Compatibile
Iniezione Alprostadil 20 µg/ml
Iniezione Caffeine 10 mg/ml
Cloruro di sodio 0,9% 4837
Compatibile
Iniezione Alprostadil 20 µg/ml
Iniezione Calcium gluconate 10 mg/ml
Glucosio 5% 4651
Compatibile
Iniezione Alprostadil 20 µg/ml
Iniezione Calcium gluconate 0,04 mg/ml
Glucosio 10% 4491
Compatibile
Iniezione Alprostadil 15 µg/ml
Iniezione Cefazolin sodium 100 mg/ml
3201
Compatibile
Iniezione Alprostadil 15 µg/ml
Iniezione Cefotaxime sodium 100 mg/ml
3201
Compatibile
Iniezione Alprostadil 15 µg/ml
Iniezione Chlorothiazide sodium 25 mg/ml
3201
Precipitazioni immediate Incompatibile
Iniezione Alprostadil 20 µg/ml
Iniezione Cisatracurium besylate 1,2 mg/ml
Glucosio 5% 4651
Compatibile
Iniezione Alprostadil 20 µg/ml
Nutrizione parenterale (con lipidi) 4507
Precipitazioni immediate Incompatibile
Iniezione Alprostadil 20 µg/ml
Iniezione Cisatracurium besylate 1,2 mg/ml
Glucosio 5% 4491
Torbidità immediata Incompatibile
Iniezione Alprostadil 20 µg/ml
Iniezione Dexmedetomidine 4 µg/ml
Glucosio 5% 4651
Compatibile
Iniezione Alprostadil 20 µg/ml
Iniezione Dexmedetomidine 4 µg/ml
Glucosio 5% 4491
Compatibile
Iniezione Alprostadil 500 µg/ml
Iniezione Dexmedetomidine 100 µg/ml
4389
Compatibile
Iniezione Alprostadil 20 µg/ml
Iniezione Dobutamine hydrochloride 10 mg/ml
Glucosio 5% 4651
Compatibile
Iniezione Alprostadil 15 µg/ml
Iniezione Dobutamine hydrochloride 3 mg/ml
3201
Compatibile
Iniezione Alprostadil 20 µg/ml
Iniezione Dobutamine hydrochloride 10 mg/ml
Glucosio 5% 4491
Compatibile
Iniezione Alprostadil 20 µg/ml
Iniezione Dopamine hydrochloride 10 mg/ml
Glucosio 5% 4651
Compatibile
Iniezione Alprostadil 15 µg/ml
Iniezione Dopamine hydrochloride 3 mg/ml
3201
Compatibile
Iniezione Alprostadil 20 µg/ml
Iniezione Dopamine hydrochloride 10 mg/ml
Glucosio 5% 4491
Compatibile
Iniezione Alprostadil 20 µg/ml
Iniezione Epinephrine hydrochloride 0,2 µg/ml
Glucosio 5% 4491
Compatibile
Iniezione Alprostadil 20 µg/ml
Iniezione Epinephrine hydrochloride 200 µg/ml
Glucosio 5% 4651
Compatibile
Iniezione Alprostadil 20 µg/ml
Iniezione Fentanyl citrate 40 µg/ml
Glucosio 5% 4651
Compatibile
Iniezione Alprostadil 15 µg/ml
Iniezione Fentanyl citrate 10 µg/ml
3201
Compatibile
Iniezione Alprostadil 20 µg/ml
Iniezione Fentanyl citrate 40 µg/ml
Cloruro di sodio 0,9% 4491
Compatibile
Iniezione Alprostadil 20 µg/ml
Iniezione Flecainide acetate 2 mg/ml
Glucosio 5% 4491
Compatibile
Iniezione Alprostadil 20 µg/ml
Iniezione Flecainide acetate 2 mg/ml
Glucosio 5% 4651
Compatibile
Iniezione Alprostadil 15 µg/ml
Iniezione Furosemide 5 mg/ml
3201
Compatibile
Iniezione Alprostadil 20 µg/ml
Iniezione Furosemide 5 mg/ml
Glucosio 5% 4651
Compatibile
Iniezione Alprostadil 20 µg/ml
Iniezione Furosemide 5 mg/ml
Cloruro di sodio 0,9% 4491
Compatibile
Iniezione Alprostadil 1 µg/ml
Iniezione Furosemide 10 mg/ml
Cloruro di sodio 0,9% 4570
Compatibile
Iniezione Alprostadil 15 µg/ml
Iniezione Gentamicin sulfate 1 mg/ml
3201
Compatibile
Iniezione Alprostadil 20 µg/ml
Iniezione Heparin sodium 1 UI/ml
Cloruro di sodio 0,9% 4491
Compatibile
Iniezione Alprostadil 20 µg/ml
Iniezione Heparin sodium 1 UI/ml
Glucosio 5% 4651
Torbidità immediata Incompatibile
Iniezione Alprostadil 20 µg/ml
Iniezione Insulin 1 UI/ml
Glucosio 5% 4491
Precipitazioni immediate Incompatibile
Iniezione Alprostadil 20 µg/ml
Iniezione Insulin 1 UI/ml
Cloruro di sodio 0,9% 4651
Compatibile
Iniezione Alprostadil 500 µg/ml
Iniezione Ketamine hydrochloride 50 mg/ml
4389
Compatibile
Iniezione Alprostadil 20 µg/ml
Iniezione Ketamine hydrochloride 5 mg/ml
Glucosio 5% 4651
Compatibile
Iniezione Alprostadil 20 µg/ml
Iniezione Ketamine hydrochloride 5 mg/ml
Glucosio 5% 4491
Precipitazioni immediate Incompatibile
Iniezione Alprostadil 500 µg/ml
Iniezione Levofloxacine 5 mg/ml
Glucosio 5% 1072
Compatibile
Iniezione Alprostadil 15 µg/ml
Iniezione Methylprednisolone sodium succinate 40 mg/ml
3201
Compatibile
Iniezione Alprostadil 20 µg/ml
Iniezione Midazolam hydrochloride 2,5 mg/ml
Glucosio 5% 4491
Compatibile
Iniezione Alprostadil 20 µg/ml
Iniezione Midazolam hydrochloride 2,5 mg/ml
Glucosio 5% 4651
Compatibile
Iniezione Alprostadil 20 µg/ml
Iniezione Milrinone lactate 0,5 mg/ml
Glucosio 5% 4491
Compatibile
Iniezione Alprostadil 500 µg/ml
Iniezione Milrinone lactate 1 mg/ml
4389
Compatibile
Iniezione Alprostadil 20 µg/ml
Iniezione Milrinone lactate 0,5 mg/ml
Glucosio 5% 4651
Compatibile
Iniezione Alprostadil 20 µg/ml
Iniezione Morphine hydrochloride 2 mg/ml
Glucosio 5% 4651
Precipitazioni dopo 4 ore Incompatibile
Iniezione Alprostadil 20 µg/ml
Iniezione Norepinephrine bitartrate 0,5 mg/ml
Glucosio 5% 4491
Precipitazioni dopo 4 ore Incompatibile
Iniezione Alprostadil 20 µg/ml
Iniezione Norepinephrine bitartrate 0,5 mg/ml
Glucosio 5% 4651
Compatibile
Iniezione Alprostadil
Iniezione Pantoprazole sodium
2090
Incompatibile
Iniezione Alprostadil
Iniezione Papaverine hydrochloride
2150
Compatibile
Iniezione Alprostadil
Cloruro di sodio 0,9% 4954
Compatibile
Iniezione Alprostadil 6 µg/ml
Iniezione Pentoxifyllin 5 mg/ml
Cloruro di sodio 0,9% 4543
Incompatibile
Iniezione Alprostadil
Iniezione Phentolamine mesylate
2150
Compatibile
Iniezione Alprostadil 20 µg/ml
Iniezione Sildenafil citrate 0,6 mg/ml
Glucosio 5% 4845
Compatibile
Iniezione Alprostadil 15 µg/ml
Iniezione Tobramycin sulfate 1 mg/ml
3201
Compatibile
Iniezione Alprostadil 15 µg/ml
Iniezione Vancomycin hydrochloride 5 mg/ml
3201
Compatibile
Iniezione Alprostadil 15 µg/ml
Iniezione Vecuronium bromide 1 mg/ml
3201

  Mentions Légales