viimane versioon :
27/11/2025
vasodilataator   Alprostadil  
Süsteravim
Stabiilsus lahustes Stabiilsust mõjutavad tegurid stabiilsust mõjutavad faktorid Sobimatus Manustamis viis Viited pdf
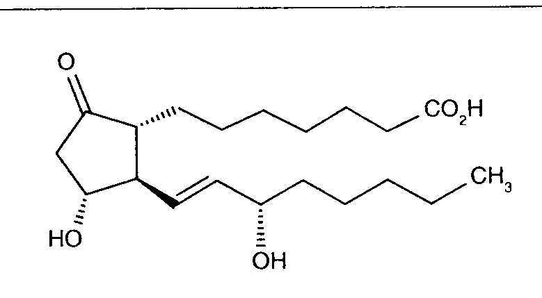
   keemiline struktuur  

Kaubanduslikud nimed erinevates maades   Kaubanduslikud nimed erinevates maades     

Preparaatide nimed on näitlikud ja abianete sisaldus võib erineda sõltuvalt riigist ja laborist

Alfaprostin Egiptus
Alistint Maroko, Mehhiko
Alprostadil Ameerika ühendriigid, Argentiina, Austraalia, Ecuador, Hispaania, Kanada, Malaisia, Maroko, Rumeenia, Saksamaa, Saudi Araabia, Tšiili, Türgi
Alprostapint Argentiina, Austria, Ecuador, Kolumbia, Maroko, Ungari
Alprostar Itaalia
Aplicav
Cardiobonisol Poola
Caverject Ameerika ühendriigid, Araabia Ühendemiraadid, Austria, Belgia, Brasiilia, Hispaania, Itaalia, Kanada, Kolumbia, Norra, Poola, Portugal, Prantsusmaa, Rootsi, Sloveenia, Suurbritannia, Sveits, Taani, Tšiili, Türgi
Edex Ameerika ühendriigid, Kreeka, Prantsusmaa, Tuneesia
Liple Jaapan
Minprog Austria, Saksamaa
Ostapint Maroko, Mehhiko
Palux Jaapan
Pridax Austria, Hispaania, Rumeenia, Saksamaa
Prolisina VR Argentiina
Prostandin Jaapan
Prostavasin Austria, Egiptus, Iraan, Itaalia, Luksemburg, Poola, Saksamaa, Ungari
Prostin VR Ameerika ühendriigid, Belgia, Holland, Horvaatia, Iraan, Itaalia, Kanada, Kolumbia, Kreeka, Luksemburg, Malaisia, Norra, Poola, Portugal, Saudi Araabia, Soome, Suurbritannia, Sveits, Taani, Ungari, Venetsueela
Prostine VR Prantsusmaa
Vasaprostan Rumeenia
Sobimatus   Süsteravim   Sobimatus : Alprostadil              
Sellel lehel kuvatakse sobimatusi ja sobimatuse tüüpi (sadenemine, värvuse muutus, emulsiooni modifitseerumine jne). Enamasti on siin lehel kuvatud füüsikalised sobimatused, kuna molekulide keemilist stabiilsust hinnatakse harva. Hinnatud on segude sobivust Y-liinis. Antud infot ei saa kasutada ravimite sobivuse hindamiseks juhul, kui ravimid on segatud süstaldes või infusioonikottides. See info on lehel « stabiilsus segudes ».
ingredient lahusti Viited
Ühilduv
Süsteravim Alprostadil 20 µg/ml
Süsteravim Caffeine citrate 20 mg/ml
naatriumkloriid 0.9% 4837
Ühilduv
Süsteravim Alprostadil
glükoos 5% 4954
Ühilduv
Süsteravim Alprostadil 20 µg/ml
Süsteravim Amiodarone hydrochloride 6 mg/ml
glükoos 5% 4651
Ühilduv
Süsteravim Alprostadil 20 µg/ml
Süsteravim Amiodarone hydrochloride 6 mg/ml
glükoos 5% 4491
Ühilduv
Süsteravim Alprostadil 15 µg/ml
Süsteravim Ampicillin sodium 100 mg/ml
3201
Ühilduv
Süsteravim Alprostadil 20 µg/ml
Süsteravim Caffeine 10 mg/ml
naatriumkloriid 0.9% 4837
Ühilduv
Süsteravim Alprostadil 20 µg/ml
Süsteravim Calcium gluconate 10 mg/ml
glükoos 5% 4651
Ühilduv
Süsteravim Alprostadil 20 µg/ml
Süsteravim Calcium gluconate 0,04 mg/ml
glükoos 10% 4491
Ühilduv
Süsteravim Alprostadil 15 µg/ml
Süsteravim Cefazolin sodium 100 mg/ml
3201
Ühilduv
Süsteravim Alprostadil 15 µg/ml
Süsteravim Cefotaxime sodium 100 mg/ml
3201
Ühilduv
Süsteravim Alprostadil 15 µg/ml
Süsteravim Chlorothiazide sodium 25 mg/ml
3201
Kohene sade Sobimatu
Süsteravim Alprostadil 20 µg/ml
Süsteravim Cisatracurium besylate 1,2 mg/ml
glükoos 5% 4651
Ühilduv
Süsteravim Alprostadil 20 µg/ml
Parenteraalse toitmise (lipiidide) 4507
Kohene sade Sobimatu
Süsteravim Alprostadil 20 µg/ml
Süsteravim Cisatracurium besylate 1,2 mg/ml
glükoos 5% 4491
Kohene hägusus Sobimatu
Süsteravim Alprostadil 20 µg/ml
Süsteravim Dexmedetomidine 4 µg/ml
glükoos 5% 4651
Ühilduv
Süsteravim Alprostadil 20 µg/ml
Süsteravim Dexmedetomidine 4 µg/ml
glükoos 5% 4491
Ühilduv
Süsteravim Alprostadil 500 µg/ml
Süsteravim Dexmedetomidine 100 µg/ml
4389
Ühilduv
Süsteravim Alprostadil 20 µg/ml
Süsteravim Dobutamine hydrochloride 10 mg/ml
glükoos 5% 4651
Ühilduv
Süsteravim Alprostadil 15 µg/ml
Süsteravim Dobutamine hydrochloride 3 mg/ml
3201
Ühilduv
Süsteravim Alprostadil 20 µg/ml
Süsteravim Dobutamine hydrochloride 10 mg/ml
glükoos 5% 4491
Ühilduv
Süsteravim Alprostadil 20 µg/ml
Süsteravim Dopamine hydrochloride 10 mg/ml
glükoos 5% 4651
Ühilduv
Süsteravim Alprostadil 15 µg/ml
Süsteravim Dopamine hydrochloride 3 mg/ml
3201
Ühilduv
Süsteravim Alprostadil 20 µg/ml
Süsteravim Dopamine hydrochloride 10 mg/ml
glükoos 5% 4491
Ühilduv
Süsteravim Alprostadil 20 µg/ml
Süsteravim Epinephrine hydrochloride 0,2 µg/ml
glükoos 5% 4491
Ühilduv
Süsteravim Alprostadil 20 µg/ml
Süsteravim Epinephrine hydrochloride 200 µg/ml
glükoos 5% 4651
Ühilduv
Süsteravim Alprostadil 20 µg/ml
Süsteravim Fentanyl citrate 40 µg/ml
glükoos 5% 4651
Ühilduv
Süsteravim Alprostadil 15 µg/ml
Süsteravim Fentanyl citrate 10 µg/ml
3201
Ühilduv
Süsteravim Alprostadil 20 µg/ml
Süsteravim Fentanyl citrate 40 µg/ml
naatriumkloriid 0.9% 4491
Ühilduv
Süsteravim Alprostadil 20 µg/ml
Süsteravim Flecainide acetate 2 mg/ml
glükoos 5% 4491
Ühilduv
Süsteravim Alprostadil 20 µg/ml
Süsteravim Flecainide acetate 2 mg/ml
glükoos 5% 4651
Ühilduv
Süsteravim Alprostadil 15 µg/ml
Süsteravim Furosemide 5 mg/ml
3201
Ühilduv
Süsteravim Alprostadil 20 µg/ml
Süsteravim Furosemide 5 mg/ml
glükoos 5% 4651
Ühilduv
Süsteravim Alprostadil 20 µg/ml
Süsteravim Furosemide 5 mg/ml
naatriumkloriid 0.9% 4491
Ühilduv
Süsteravim Alprostadil 1 µg/ml
Süsteravim Furosemide 10 mg/ml
naatriumkloriid 0.9% 4570
Ühilduv
Süsteravim Alprostadil 15 µg/ml
Süsteravim Gentamicin sulfate 1 mg/ml
3201
Ühilduv
Süsteravim Alprostadil 20 µg/ml
Süsteravim Heparin sodium 1 UI/ml
naatriumkloriid 0.9% 4491
Ühilduv
Süsteravim Alprostadil 20 µg/ml
Süsteravim Heparin sodium 1 UI/ml
glükoos 5% 4651
Kohene hägusus Sobimatu
Süsteravim Alprostadil 20 µg/ml
Süsteravim Insulin 1 UI/ml
glükoos 5% 4491
Kohene sade Sobimatu
Süsteravim Alprostadil 20 µg/ml
Süsteravim Insulin 1 UI/ml
naatriumkloriid 0.9% 4651
Ühilduv
Süsteravim Alprostadil 500 µg/ml
Süsteravim Ketamine hydrochloride 50 mg/ml
4389
Ühilduv
Süsteravim Alprostadil 20 µg/ml
Süsteravim Ketamine hydrochloride 5 mg/ml
glükoos 5% 4651
Ühilduv
Süsteravim Alprostadil 20 µg/ml
Süsteravim Ketamine hydrochloride 5 mg/ml
glükoos 5% 4491
Kohene sade Sobimatu
Süsteravim Alprostadil 500 µg/ml
Süsteravim Levofloxacine 5 mg/ml
glükoos 5% 1072
Ühilduv
Süsteravim Alprostadil 15 µg/ml
Süsteravim Methylprednisolone sodium succinate 40 mg/ml
3201
Ühilduv
Süsteravim Alprostadil 20 µg/ml
Süsteravim Midazolam hydrochloride 2,5 mg/ml
glükoos 5% 4491
Ühilduv
Süsteravim Alprostadil 20 µg/ml
Süsteravim Midazolam hydrochloride 2,5 mg/ml
glükoos 5% 4651
Ühilduv
Süsteravim Alprostadil 20 µg/ml
Süsteravim Milrinone lactate 0,5 mg/ml
glükoos 5% 4491
Ühilduv
Süsteravim Alprostadil 500 µg/ml
Süsteravim Milrinone lactate 1 mg/ml
4389
Ühilduv
Süsteravim Alprostadil 20 µg/ml
Süsteravim Milrinone lactate 0,5 mg/ml
glükoos 5% 4651
Ühilduv
Süsteravim Alprostadil 20 µg/ml
Süsteravim Morphine hydrochloride 2 mg/ml
glükoos 5% 4651
Sade 4 tunni pärast Sobimatu
Süsteravim Alprostadil 20 µg/ml
Süsteravim Norepinephrine bitartrate 0,5 mg/ml
glükoos 5% 4491
Sade 4 tunni pärast Sobimatu
Süsteravim Alprostadil 20 µg/ml
Süsteravim Norepinephrine bitartrate 0,5 mg/ml
glükoos 5% 4651
Ühilduv
Süsteravim Alprostadil
Süsteravim Pantoprazole sodium
2090
Sobimatu
Süsteravim Alprostadil
Süsteravim Papaverine hydrochloride
2150
Ühilduv
Süsteravim Alprostadil
naatriumkloriid 0.9% 4954
Ühilduv
Süsteravim Alprostadil 6 µg/ml
Süsteravim Pentoxifyllin 5 mg/ml
naatriumkloriid 0.9% 4543
Sobimatu
Süsteravim Alprostadil
Süsteravim Phentolamine mesylate
2150
Ühilduv
Süsteravim Alprostadil 20 µg/ml
Süsteravim Sildenafil citrate 0,6 mg/ml
glükoos 5% 4845
Ühilduv
Süsteravim Alprostadil 15 µg/ml
Süsteravim Tobramycin sulfate 1 mg/ml
3201
Ühilduv
Süsteravim Alprostadil 15 µg/ml
Süsteravim Vancomycin hydrochloride 5 mg/ml
3201
Ühilduv
Süsteravim Alprostadil 15 µg/ml
Süsteravim Vecuronium bromide 1 mg/ml
3201

  Mentions Légales