Last update :
27/11/2025
Vasodilator   Alprostadil  
injection
Stability in solutions Stability of mixtures Factors which affect stability Compatibility Route of administration References pdf
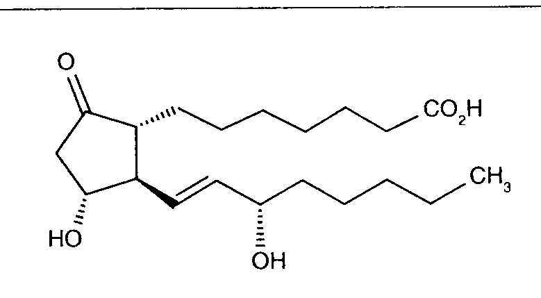
   Chemical structure  

Tradename   Tradename     

Trade names are indicative and excipients composition can be different depending on the country and manufacturers

Alfaprostin Egypt
Alistint Mexico, Peru
Alprostadil Argentina, Australia, Canada, Chile, Ecuador, Germany, Malaysia, Peru, Romania, Saudi Arabia, Spain, Turkey, United States of America
Alprostapint Argentina, Austria, Colombia, Ecuador, Hungary, Peru
Alprostar Italy
Aplicav
Cardiobonisol Poland
Caverject Austria, Belgium, Brazil, Canada, Chile, Colombia, Denmark, France, Great Britain, Italy, Norway, Poland, Portugal, Slovenia, Spain, Sweden, Switzerland, Turkey, United Arab Emirates, United States of America
Edex France, Greece, Tunisia, United States of America
Liple Japan
Minprog Austria, Germany
Ostapint Mexico, Peru
Palux Japan
Pridax Austria, Germany, Romania, Spain
Prolisina VR Argentina
Prostandin Japan
Prostavasin Austria, Egypt, Germany, Hungary, Iran, Italy, Luxembourg, Poland
Prostin VR Belgium, Canada, Colombia, Croatia, Denmark, Finland, Great Britain, Greece, Hungary, Iran, Italy, Luxembourg, Malaysia, Netherlands, Norway, Poland, Portugal, Saudi Arabia, Switzerland, United States of America, Venezuela
Prostine VR France
Vasaprostan Romania
Compatibility   injection   Compatibility : Alprostadil              
This screen indicates the compatibilities or incompatibilities with, in this case, the type of incompatibility (precipitation, color change, modification of an emulsion, etc.). The compatibilities shown here are mostly physical only, with the chemical stability of each molecule rarely being assessed. The evaluation of these mixtures was studied to consider the possibility of Y-site administration to the patient. These data cannot be used for making mixtures in advance in bags or syringes. This type of information is available in the screen "Stability in mixture ».
Compound Solvent References
Compatible
injection Alprostadil 20 µg/ml
injection Caffeine citrate 20 mg/ml
Sodium chloride 0,9% 4837
Compatible
injection Alprostadil
Glucose 5% 4954
Compatible
injection Alprostadil 20 µg/ml
injection Amiodarone hydrochloride 6 mg/ml
Glucose 5% 4651
Compatible
injection Alprostadil 20 µg/ml
injection Amiodarone hydrochloride 6 mg/ml
Glucose 5% 4491
Compatible
injection Alprostadil 15 µg/ml
injection Ampicillin sodium 100 mg/ml
3201
Compatible
injection Alprostadil 20 µg/ml
injection Caffeine 10 mg/ml
Sodium chloride 0,9% 4837
Compatible
injection Alprostadil 20 µg/ml
injection Calcium gluconate 10 mg/ml
Glucose 5% 4651
Compatible
injection Alprostadil 20 µg/ml
injection Calcium gluconate 0,04 mg/ml
Glucose 10% 4491
Compatible
injection Alprostadil 15 µg/ml
injection Cefazolin sodium 100 mg/ml
3201
Compatible
injection Alprostadil 15 µg/ml
injection Cefotaxime sodium 100 mg/ml
3201
Compatible
injection Alprostadil 15 µg/ml
injection Chlorothiazide sodium 25 mg/ml
3201
Immediate precipitation Incompatible
injection Alprostadil 20 µg/ml
injection Cisatracurium besylate 1,2 mg/ml
Glucose 5% 4651
Compatible
injection Alprostadil 20 µg/ml
Parenteral nutrition (with lipids) 4507
Immediate precipitation Incompatible
injection Alprostadil 20 µg/ml
injection Cisatracurium besylate 1,2 mg/ml
Glucose 5% 4491
Immediate turbidity Incompatible
injection Alprostadil 20 µg/ml
injection Dexmedetomidine 4 µg/ml
Glucose 5% 4651
Compatible
injection Alprostadil 20 µg/ml
injection Dexmedetomidine 4 µg/ml
Glucose 5% 4491
Compatible
injection Alprostadil 500 µg/ml
injection Dexmedetomidine 100 µg/ml
4389
Compatible
injection Alprostadil 20 µg/ml
injection Dobutamine hydrochloride 10 mg/ml
Glucose 5% 4651
Compatible
injection Alprostadil 15 µg/ml
injection Dobutamine hydrochloride 3 mg/ml
3201
Compatible
injection Alprostadil 20 µg/ml
injection Dobutamine hydrochloride 10 mg/ml
Glucose 5% 4491
Compatible
injection Alprostadil 20 µg/ml
injection Dopamine hydrochloride 10 mg/ml
Glucose 5% 4651
Compatible
injection Alprostadil 15 µg/ml
injection Dopamine hydrochloride 3 mg/ml
3201
Compatible
injection Alprostadil 20 µg/ml
injection Dopamine hydrochloride 10 mg/ml
Glucose 5% 4491
Compatible
injection Alprostadil 20 µg/ml
injection Epinephrine hydrochloride 0,2 µg/ml
Glucose 5% 4491
Compatible
injection Alprostadil 20 µg/ml
injection Epinephrine hydrochloride 200 µg/ml
Glucose 5% 4651
Compatible
injection Alprostadil 20 µg/ml
injection Fentanyl citrate 40 µg/ml
Glucose 5% 4651
Compatible
injection Alprostadil 15 µg/ml
injection Fentanyl citrate 10 µg/ml
3201
Compatible
injection Alprostadil 20 µg/ml
injection Fentanyl citrate 40 µg/ml
Sodium chloride 0,9% 4491
Compatible
injection Alprostadil 20 µg/ml
injection Flecainide acetate 2 mg/ml
Glucose 5% 4491
Compatible
injection Alprostadil 20 µg/ml
injection Flecainide acetate 2 mg/ml
Glucose 5% 4651
Compatible
injection Alprostadil 15 µg/ml
injection Furosemide 5 mg/ml
3201
Compatible
injection Alprostadil 20 µg/ml
injection Furosemide 5 mg/ml
Glucose 5% 4651
Compatible
injection Alprostadil 20 µg/ml
injection Furosemide 5 mg/ml
Sodium chloride 0,9% 4491
Compatible
injection Alprostadil 1 µg/ml
injection Furosemide 10 mg/ml
Sodium chloride 0,9% 4570
Compatible
injection Alprostadil 15 µg/ml
injection Gentamicin sulfate 1 mg/ml
3201
Compatible
injection Alprostadil 20 µg/ml
injection Heparin sodium 1 UI/ml
Sodium chloride 0,9% 4491
Compatible
injection Alprostadil 20 µg/ml
injection Heparin sodium 1 UI/ml
Glucose 5% 4651
Immediate turbidity Incompatible
injection Alprostadil 20 µg/ml
injection Insulin 1 UI/ml
Glucose 5% 4491
Immediate precipitation Incompatible
injection Alprostadil 20 µg/ml
injection Insulin 1 UI/ml
Sodium chloride 0,9% 4651
Compatible
injection Alprostadil 500 µg/ml
injection Ketamine hydrochloride 50 mg/ml
4389
Compatible
injection Alprostadil 20 µg/ml
injection Ketamine hydrochloride 5 mg/ml
Glucose 5% 4651
Compatible
injection Alprostadil 20 µg/ml
injection Ketamine hydrochloride 5 mg/ml
Glucose 5% 4491
Immediate precipitation Incompatible
injection Alprostadil 500 µg/ml
injection Levofloxacine 5 mg/ml
Glucose 5% 1072
Compatible
injection Alprostadil 15 µg/ml
injection Methylprednisolone sodium succinate 40 mg/ml
3201
Compatible
injection Alprostadil 20 µg/ml
injection Midazolam hydrochloride 2,5 mg/ml
Glucose 5% 4491
Compatible
injection Alprostadil 20 µg/ml
injection Midazolam hydrochloride 2,5 mg/ml
Glucose 5% 4651
Compatible
injection Alprostadil 20 µg/ml
injection Milrinone lactate 0,5 mg/ml
Glucose 5% 4491
Compatible
injection Alprostadil 500 µg/ml
injection Milrinone lactate 1 mg/ml
4389
Compatible
injection Alprostadil 20 µg/ml
injection Milrinone lactate 0,5 mg/ml
Glucose 5% 4651
Compatible
injection Alprostadil 20 µg/ml
injection Morphine hydrochloride 2 mg/ml
Glucose 5% 4651
Precipitation after 4 hours Incompatible
injection Alprostadil 20 µg/ml
injection Norepinephrine bitartrate 0,5 mg/ml
Glucose 5% 4491
Precipitation after 4 hours Incompatible
injection Alprostadil 20 µg/ml
injection Norepinephrine bitartrate 0,5 mg/ml
Glucose 5% 4651
Compatible
injection Alprostadil
injection Pantoprazole sodium
2090
Incompatible
injection Alprostadil
injection Papaverine hydrochloride
2150
Compatible
injection Alprostadil
Sodium chloride 0,9% 4954
Compatible
injection Alprostadil 6 µg/ml
injection Pentoxifyllin 5 mg/ml
Sodium chloride 0,9% 4543
Incompatible
injection Alprostadil
injection Phentolamine mesylate
2150
Compatible
injection Alprostadil 20 µg/ml
injection Sildenafil citrate 0,6 mg/ml
Glucose 5% 4845
Compatible
injection Alprostadil 15 µg/ml
injection Tobramycin sulfate 1 mg/ml
3201
Compatible
injection Alprostadil 15 µg/ml
injection Vancomycin hydrochloride 5 mg/ml
3201
Compatible
injection Alprostadil 15 µg/ml
injection Vecuronium bromide 1 mg/ml
3201

  Mentions Légales