آخر تحديث :
17/12/2025
موسع الشرايين   Alprostadil  
حقن
الاستقرار في حلول استقرار مخاليط العوامل التي تؤثر على الاستقرار التوافق طريقة التعاطي مراجع pdf
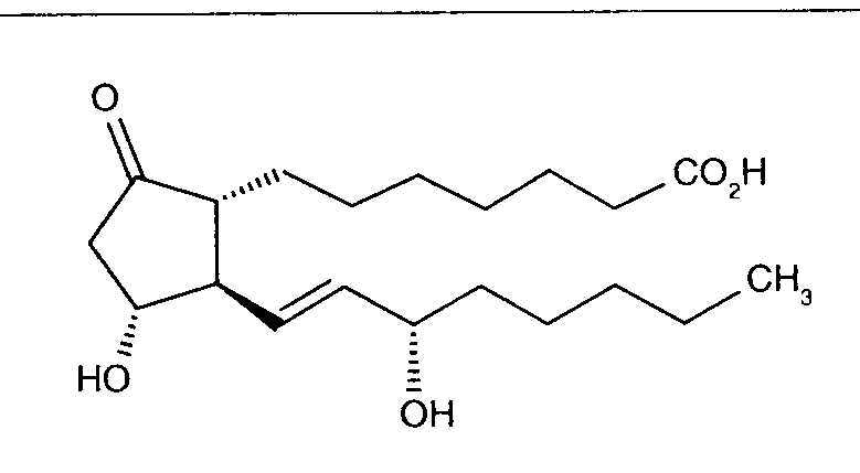
   التركيب الكيميائي  

حجز الاسم التجاري   حجز الاسم التجاري     

تحذير الأسماء التجاريه المختلفه قد تحتوي علي محتوي إضافات مختلفة حسب الدوله و المعمل

Alfaprostin مصر
Alistint المكسيك, بيرو
Alprostadil أستراليا, ألمانيا, إسبانيا, الأرجنتين, الإكوادور, العربية السعودية, الولايات المتحدة, بيرو, تركيا, تشيلي, رومانيا, كندا, ماليزيا
Alprostapint الأرجنتين, الإكوادور, النمسا, بيرو, كولومبيا, هنغاريا
Alprostar إيطاليا
Aplicav
Cardiobonisol بولندا
Caverject إسبانيا, إيطاليا, الإمارات العربية المتحدة, البرازيل, البرتغال, الدنمارك, السويد, النرويج, النمسا, الولايات المتحدة, بريطانيا العظمي, بلجيكا, بولندا, تركيا, تشيلي, سلوفينيا, سويسرا, فرنسا, كندا, كولومبيا
Edex الولايات المتحدة, تونس, فرنسا, يونان
Liple اليابان
Minprog ألمانيا, النمسا
Ostapint المكسيك, بيرو
Palux اليابان
Pridax ألمانيا, إسبانيا, النمسا, رومانيا
Prolisina VR الأرجنتين
Prostandin اليابان
Prostavasin ألمانيا, إيران, إيطاليا, النمسا, بولندا, لوكسمبورغ, مصر, هنغاريا
Prostin VR إيران, إيطاليا, البرتغال, الدنمارك, العربية السعودية, النرويج, الولايات المتحدة, بريطانيا العظمي, بلجيكا, بولندا, سويسرا, فنزويلا, فنلندا, كرواتيا, كندا, كولومبيا, لوكسمبورغ, ماليزيا, هنغاريا, هولندا, يونان
Prostine VR فرنسا
Vasaprostan رومانيا
التوافق   حقن   التوافق : Alprostadil              
This screen indicates the compatibilities or incompatibilities with, in this case, the type of incompatibility (precipitation, color change, modification of an emulsion, etc.). The compatibilities shown here are mostly physical only, with the chemical stability of each molecule rarely being assessed. The evaluation of these mixtures was studied to consider the possibility of Y-site administration to the patient. These data cannot be used for making mixtures in advance in bags or syringes. This type of information is available in the screen "Stability in mixture ».
مركب مذيب مراجع
kompatibel
حقن Alprostadil 20 µg/ml
حقن Caffeine citrate 20 mg/ml
كلوريد الصوديوم 0.9% 4837
kompatibel
حقن Alprostadil
الجلوكوز %5 4954
kompatibel
حقن Alprostadil 20 µg/ml
حقن Amiodarone hydrochloride 6 mg/ml
الجلوكوز %5 4651
kompatibel
حقن Alprostadil 20 µg/ml
حقن Amiodarone hydrochloride 6 mg/ml
الجلوكوز %5 4491
kompatibel
حقن Alprostadil 15 µg/ml
حقن Ampicillin sodium 100 mg/ml
3201
kompatibel
حقن Alprostadil 20 µg/ml
حقن Caffeine 10 mg/ml
كلوريد الصوديوم 0.9% 4837
kompatibel
حقن Alprostadil 20 µg/ml
حقن Calcium gluconate 10 mg/ml
الجلوكوز %5 4651
kompatibel
حقن Alprostadil 20 µg/ml
حقن Calcium gluconate 0,04 mg/ml
الجلوكوز %10 4491
kompatibel
حقن Alprostadil 15 µg/ml
حقن Cefazolin sodium 100 mg/ml
3201
kompatibel
حقن Alprostadil 15 µg/ml
حقن Cefotaxime sodium 100 mg/ml
3201
kompatibel
حقن Alprostadil 15 µg/ml
حقن Chlorothiazide sodium 25 mg/ml
3201
هطول فوري غير متوافق
حقن Alprostadil 20 µg/ml
حقن Cisatracurium besylate 1,2 mg/ml
الجلوكوز %5 4651
kompatibel
حقن Alprostadil 20 µg/ml
التغذية الوريدية (مع الدهون) 4507
هطول فوري غير متوافق
حقن Alprostadil 20 µg/ml
حقن Cisatracurium besylate 1,2 mg/ml
الجلوكوز %5 4491
التعكر الفوري غير متوافق
حقن Alprostadil 20 µg/ml
حقن Dexmedetomidine 4 µg/ml
الجلوكوز %5 4651
kompatibel
حقن Alprostadil 20 µg/ml
حقن Dexmedetomidine 4 µg/ml
الجلوكوز %5 4491
kompatibel
حقن Alprostadil 500 µg/ml
حقن Dexmedetomidine 100 µg/ml
4389
kompatibel
حقن Alprostadil 20 µg/ml
حقن Dobutamine hydrochloride 10 mg/ml
الجلوكوز %5 4651
kompatibel
حقن Alprostadil 15 µg/ml
حقن Dobutamine hydrochloride 3 mg/ml
3201
kompatibel
حقن Alprostadil 20 µg/ml
حقن Dobutamine hydrochloride 10 mg/ml
الجلوكوز %5 4491
kompatibel
حقن Alprostadil 20 µg/ml
حقن Dopamine hydrochloride 10 mg/ml
الجلوكوز %5 4651
kompatibel
حقن Alprostadil 15 µg/ml
حقن Dopamine hydrochloride 3 mg/ml
3201
kompatibel
حقن Alprostadil 20 µg/ml
حقن Dopamine hydrochloride 10 mg/ml
الجلوكوز %5 4491
kompatibel
حقن Alprostadil 20 µg/ml
حقن Epinephrine hydrochloride 0,2 µg/ml
الجلوكوز %5 4491
kompatibel
حقن Alprostadil 20 µg/ml
حقن Epinephrine hydrochloride 200 µg/ml
الجلوكوز %5 4651
kompatibel
حقن Alprostadil 20 µg/ml
حقن Fentanyl citrate 40 µg/ml
الجلوكوز %5 4651
kompatibel
حقن Alprostadil 15 µg/ml
حقن Fentanyl citrate 10 µg/ml
3201
kompatibel
حقن Alprostadil 20 µg/ml
حقن Fentanyl citrate 40 µg/ml
كلوريد الصوديوم 0.9% 4491
kompatibel
حقن Alprostadil 20 µg/ml
حقن Flecainide acetate 2 mg/ml
الجلوكوز %5 4491
kompatibel
حقن Alprostadil 20 µg/ml
حقن Flecainide acetate 2 mg/ml
الجلوكوز %5 4651
kompatibel
حقن Alprostadil 15 µg/ml
حقن Furosemide 5 mg/ml
3201
kompatibel
حقن Alprostadil 20 µg/ml
حقن Furosemide 5 mg/ml
الجلوكوز %5 4651
kompatibel
حقن Alprostadil 20 µg/ml
حقن Furosemide 5 mg/ml
كلوريد الصوديوم 0.9% 4491
kompatibel
حقن Alprostadil 1 µg/ml
حقن Furosemide 10 mg/ml
كلوريد الصوديوم 0.9% 4570
kompatibel
حقن Alprostadil 15 µg/ml
حقن Gentamicin sulfate 1 mg/ml
3201
kompatibel
حقن Alprostadil 20 µg/ml
حقن Heparin sodium 1 UI/ml
كلوريد الصوديوم 0.9% 4491
kompatibel
حقن Alprostadil 20 µg/ml
حقن Heparin sodium 1 UI/ml
الجلوكوز %5 4651
التعكر الفوري غير متوافق
حقن Alprostadil 20 µg/ml
حقن Insulin 1 UI/ml
الجلوكوز %5 4491
هطول فوري غير متوافق
حقن Alprostadil 20 µg/ml
حقن Insulin 1 UI/ml
كلوريد الصوديوم 0.9% 4651
kompatibel
حقن Alprostadil 500 µg/ml
حقن Ketamine hydrochloride 50 mg/ml
4389
kompatibel
حقن Alprostadil 20 µg/ml
حقن Ketamine hydrochloride 5 mg/ml
الجلوكوز %5 4651
kompatibel
حقن Alprostadil 20 µg/ml
حقن Ketamine hydrochloride 5 mg/ml
الجلوكوز %5 4491
هطول فوري غير متوافق
حقن Alprostadil 500 µg/ml
حقن Levofloxacine 5 mg/ml
الجلوكوز %5 1072
kompatibel
حقن Alprostadil 15 µg/ml
حقن Methylprednisolone sodium succinate 40 mg/ml
3201
kompatibel
حقن Alprostadil 20 µg/ml
حقن Midazolam hydrochloride 2,5 mg/ml
الجلوكوز %5 4491
kompatibel
حقن Alprostadil 20 µg/ml
حقن Midazolam hydrochloride 2,5 mg/ml
الجلوكوز %5 4651
kompatibel
حقن Alprostadil 20 µg/ml
حقن Milrinone lactate 0,5 mg/ml
الجلوكوز %5 4491
kompatibel
حقن Alprostadil 500 µg/ml
حقن Milrinone lactate 1 mg/ml
4389
kompatibel
حقن Alprostadil 20 µg/ml
حقن Milrinone lactate 0,5 mg/ml
الجلوكوز %5 4651
kompatibel
حقن Alprostadil 20 µg/ml
حقن Morphine hydrochloride 2 mg/ml
الجلوكوز %5 4651
هطول الأمطار بعد 4 ساعات غير متوافق
حقن Alprostadil 20 µg/ml
حقن Norepinephrine bitartrate 0,5 mg/ml
الجلوكوز %5 4491
هطول الأمطار بعد 4 ساعات غير متوافق
حقن Alprostadil 20 µg/ml
حقن Norepinephrine bitartrate 0,5 mg/ml
الجلوكوز %5 4651
kompatibel
حقن Alprostadil
حقن Pantoprazole sodium
2090
غير متوافق
حقن Alprostadil
حقن Papaverine hydrochloride
2150
kompatibel
حقن Alprostadil
كلوريد الصوديوم 0.9% 4954
kompatibel
حقن Alprostadil 6 µg/ml
حقن Pentoxifyllin 5 mg/ml
كلوريد الصوديوم 0.9% 4543
غير متوافق
حقن Alprostadil
حقن Phentolamine mesylate
2150
kompatibel
حقن Alprostadil 20 µg/ml
حقن Sildenafil citrate 0,6 mg/ml
الجلوكوز %5 4845
kompatibel
حقن Alprostadil 15 µg/ml
حقن Tobramycin sulfate 1 mg/ml
3201
kompatibel
حقن Alprostadil 15 µg/ml
حقن Vancomycin hydrochloride 5 mg/ml
3201
kompatibel
حقن Alprostadil 15 µg/ml
حقن Vecuronium bromide 1 mg/ml
3201

  Mentions Légales