Última actualización :
27/11/2025
Vasodilatador   Alprostadil  
Inyectables
Estabilidad en solucion Estabilidad en mezcla Factores que influyen sobre la estabilidad Compatibilidades método de inyección Bibliografía pdf
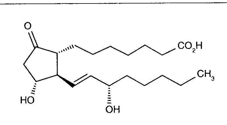
   Estructura química  

Nombre comercial   Nombre comercial     

Los nombres comerciales son orientativos y los excipientes de la formulación pueden ser distintos dependiendo del país y del laboratorio fabricante.

Alfaprostin Egipto
Alistint Marruecos, México
Alprostadil Alemania, Arabia Saudita, Argentina, Australia, Canadá, Chile, Ecuador, España, Estados Unidos de América, Malasia, Marruecos, Rumania, Turquía
Alprostapint Argentina, Austria, Colombia, Ecuador, Hungría, Marruecos
Alprostar Italia
Aplicav
Cardiobonisol Polonia
Caverject Austria, Bélgica, Brasil, Canadá, Chile, Colombia, Dinamarca, Emiratos Árabes Unidos, Eslovenia, España, Estados Unidos de América, Francia, Gran Bretaña, Italia, Noruega, Polonia, Portugal, Suecia, Suiza, Turquía
Edex Estados Unidos de América, Francia, Grecia, Túnez
Liple Japón
Minprog Alemania, Austria
Ostapint Marruecos, México
Palux Japón
Pridax Alemania, Austria, España, Rumania
Prolisina VR Argentina
Prostandin Japón
Prostavasin Alemania, Austria, Egipto, Hungría, Irán, Italia, Luxemburgo, Polonia
Prostin VR Arabia Saudita, Bélgica, Canadá, Colombia, Croacia, Dinamarca, Estados Unidos de América, Finlandia, Gran Bretaña, Grecia, Hungría, Irán, Italia, Luxemburgo, Malasia, Noruega, Países Bajos, Polonia, Portugal, Suiza, Venezuela
Prostine VR Francia
Vasaprostan Rumania
Compatibilidades   Inyectables   Compatibilidades : Alprostadil              
Esta pantalla muestra las compatibilidades o incompatibilidades, así como el tipo de incompatibilidad (precipitación, cambio de color, modificación de una emulsión, etc). Las compatibilidades que se recogen aquí son fundamentalmente físicas, mostrando raramente la estabilidad química de la molécula. La evaluación de estas mezclas se estudió con el fin de de comprobar la posibilidad de administración en Y al paciente. Estos datos no pueden utilizarse en el caso de la preparación de mezclas dentro de bolsas o jeringas. Este tipo de información está disponible en la pantalla “Estabilidad en mezcla”.
Molécula Solvente Bibliografía
Compatible
Inyectables Alprostadil 20 µg/ml
Inyectables Caffeine citrate 20 mg/ml
Cloruro de sodio 0,9% 4837
Compatible
Inyectables Alprostadil
Glucosa 5% 4954
Compatible
Inyectables Alprostadil 20 µg/ml
Inyectables Amiodarone hydrochloride 6 mg/ml
Glucosa 5% 4651
Compatible
Inyectables Alprostadil 20 µg/ml
Inyectables Amiodarone hydrochloride 6 mg/ml
Glucosa 5% 4491
Compatible
Inyectables Alprostadil 15 µg/ml
Inyectables Ampicillin sodium 100 mg/ml
3201
Compatible
Inyectables Alprostadil 20 µg/ml
Inyectables Caffeine 10 mg/ml
Cloruro de sodio 0,9% 4837
Compatible
Inyectables Alprostadil 20 µg/ml
Inyectables Calcium gluconate 10 mg/ml
Glucosa 5% 4651
Compatible
Inyectables Alprostadil 20 µg/ml
Inyectables Calcium gluconate 0,04 mg/ml
Glucosa 10% 4491
Compatible
Inyectables Alprostadil 15 µg/ml
Inyectables Cefazolin sodium 100 mg/ml
3201
Compatible
Inyectables Alprostadil 15 µg/ml
Inyectables Cefotaxime sodium 100 mg/ml
3201
Compatible
Inyectables Alprostadil 15 µg/ml
Inyectables Chlorothiazide sodium 25 mg/ml
3201
Precipitación inmediata Incompatible
Inyectables Alprostadil 20 µg/ml
Inyectables Cisatracurium besylate 1,2 mg/ml
Glucosa 5% 4651
Compatible
Inyectables Alprostadil 20 µg/ml
Nutrición parenteral (con lípidos) 4507
Precipitación inmediata Incompatible
Inyectables Alprostadil 20 µg/ml
Inyectables Cisatracurium besylate 1,2 mg/ml
Glucosa 5% 4491
Turbidez inmediata Incompatible
Inyectables Alprostadil 20 µg/ml
Inyectables Dexmedetomidine 4 µg/ml
Glucosa 5% 4651
Compatible
Inyectables Alprostadil 20 µg/ml
Inyectables Dexmedetomidine 4 µg/ml
Glucosa 5% 4491
Compatible
Inyectables Alprostadil 500 µg/ml
Inyectables Dexmedetomidine 100 µg/ml
4389
Compatible
Inyectables Alprostadil 20 µg/ml
Inyectables Dobutamine hydrochloride 10 mg/ml
Glucosa 5% 4651
Compatible
Inyectables Alprostadil 15 µg/ml
Inyectables Dobutamine hydrochloride 3 mg/ml
3201
Compatible
Inyectables Alprostadil 20 µg/ml
Inyectables Dobutamine hydrochloride 10 mg/ml
Glucosa 5% 4491
Compatible
Inyectables Alprostadil 20 µg/ml
Inyectables Dopamine hydrochloride 10 mg/ml
Glucosa 5% 4651
Compatible
Inyectables Alprostadil 15 µg/ml
Inyectables Dopamine hydrochloride 3 mg/ml
3201
Compatible
Inyectables Alprostadil 20 µg/ml
Inyectables Dopamine hydrochloride 10 mg/ml
Glucosa 5% 4491
Compatible
Inyectables Alprostadil 20 µg/ml
Inyectables Epinephrine hydrochloride 0,2 µg/ml
Glucosa 5% 4491
Compatible
Inyectables Alprostadil 20 µg/ml
Inyectables Epinephrine hydrochloride 200 µg/ml
Glucosa 5% 4651
Compatible
Inyectables Alprostadil 20 µg/ml
Inyectables Fentanyl citrate 40 µg/ml
Glucosa 5% 4651
Compatible
Inyectables Alprostadil 15 µg/ml
Inyectables Fentanyl citrate 10 µg/ml
3201
Compatible
Inyectables Alprostadil 20 µg/ml
Inyectables Fentanyl citrate 40 µg/ml
Cloruro de sodio 0,9% 4491
Compatible
Inyectables Alprostadil 20 µg/ml
Inyectables Flecainide acetate 2 mg/ml
Glucosa 5% 4491
Compatible
Inyectables Alprostadil 20 µg/ml
Inyectables Flecainide acetate 2 mg/ml
Glucosa 5% 4651
Compatible
Inyectables Alprostadil 15 µg/ml
Inyectables Furosemide 5 mg/ml
3201
Compatible
Inyectables Alprostadil 20 µg/ml
Inyectables Furosemide 5 mg/ml
Glucosa 5% 4651
Compatible
Inyectables Alprostadil 20 µg/ml
Inyectables Furosemide 5 mg/ml
Cloruro de sodio 0,9% 4491
Compatible
Inyectables Alprostadil 1 µg/ml
Inyectables Furosemide 10 mg/ml
Cloruro de sodio 0,9% 4570
Compatible
Inyectables Alprostadil 15 µg/ml
Inyectables Gentamicin sulfate 1 mg/ml
3201
Compatible
Inyectables Alprostadil 20 µg/ml
Inyectables Heparin sodium 1 UI/ml
Cloruro de sodio 0,9% 4491
Compatible
Inyectables Alprostadil 20 µg/ml
Inyectables Heparin sodium 1 UI/ml
Glucosa 5% 4651
Turbidez inmediata Incompatible
Inyectables Alprostadil 20 µg/ml
Inyectables Insulin 1 UI/ml
Glucosa 5% 4491
Precipitación inmediata Incompatible
Inyectables Alprostadil 20 µg/ml
Inyectables Insulin 1 UI/ml
Cloruro de sodio 0,9% 4651
Compatible
Inyectables Alprostadil 500 µg/ml
Inyectables Ketamine hydrochloride 50 mg/ml
4389
Compatible
Inyectables Alprostadil 20 µg/ml
Inyectables Ketamine hydrochloride 5 mg/ml
Glucosa 5% 4651
Compatible
Inyectables Alprostadil 20 µg/ml
Inyectables Ketamine hydrochloride 5 mg/ml
Glucosa 5% 4491
Precipitación inmediata Incompatible
Inyectables Alprostadil 500 µg/ml
Inyectables Levofloxacine 5 mg/ml
Glucosa 5% 1072
Compatible
Inyectables Alprostadil 15 µg/ml
Inyectables Methylprednisolone sodium succinate 40 mg/ml
3201
Compatible
Inyectables Alprostadil 20 µg/ml
Inyectables Midazolam hydrochloride 2,5 mg/ml
Glucosa 5% 4491
Compatible
Inyectables Alprostadil 20 µg/ml
Inyectables Midazolam hydrochloride 2,5 mg/ml
Glucosa 5% 4651
Compatible
Inyectables Alprostadil 20 µg/ml
Inyectables Milrinone lactate 0,5 mg/ml
Glucosa 5% 4491
Compatible
Inyectables Alprostadil 500 µg/ml
Inyectables Milrinone lactate 1 mg/ml
4389
Compatible
Inyectables Alprostadil 20 µg/ml
Inyectables Milrinone lactate 0,5 mg/ml
Glucosa 5% 4651
Compatible
Inyectables Alprostadil 20 µg/ml
Inyectables Morphine hydrochloride 2 mg/ml
Glucosa 5% 4651
Precipitación después de 4 horas. Incompatible
Inyectables Alprostadil 20 µg/ml
Inyectables Norepinephrine bitartrate 0,5 mg/ml
Glucosa 5% 4491
Precipitación después de 4 horas. Incompatible
Inyectables Alprostadil 20 µg/ml
Inyectables Norepinephrine bitartrate 0,5 mg/ml
Glucosa 5% 4651
Compatible
Inyectables Alprostadil
Inyectables Pantoprazole sodium
2090
Incompatible
Inyectables Alprostadil
Inyectables Papaverine hydrochloride
2150
Compatible
Inyectables Alprostadil
Cloruro de sodio 0,9% 4954
Compatible
Inyectables Alprostadil 6 µg/ml
Inyectables Pentoxifyllin 5 mg/ml
Cloruro de sodio 0,9% 4543
Incompatible
Inyectables Alprostadil
Inyectables Phentolamine mesylate
2150
Compatible
Inyectables Alprostadil 20 µg/ml
Inyectables Sildenafil citrate 0,6 mg/ml
Glucosa 5% 4845
Compatible
Inyectables Alprostadil 15 µg/ml
Inyectables Tobramycin sulfate 1 mg/ml
3201
Compatible
Inyectables Alprostadil 15 µg/ml
Inyectables Vancomycin hydrochloride 5 mg/ml
3201
Compatible
Inyectables Alprostadil 15 µg/ml
Inyectables Vecuronium bromide 1 mg/ml
3201

  Mentions Légales