Zadnji put ažurirano :
27/11/2025
vazodilatator   Alprostadil  
injekcija
Stabilizacija rješenja Stabilnost mješavine Stabilizacijski faktor Kompatibilnosti način davanja lijeka Bibliografija pdf
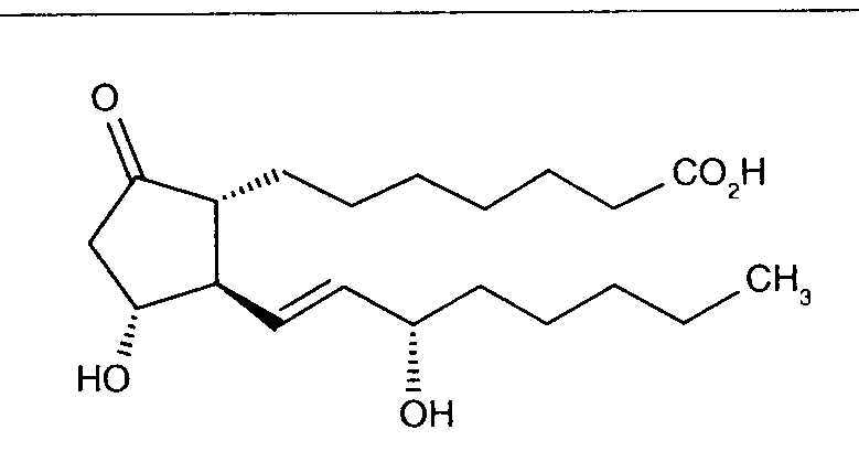
   Kemijska struktura  

Nekomercijalni   Nekomercijalni     

Zaštićeni nazivi su indikativni i sastav ekscipijensa može biti različit ovisno o državi i laboratorijima

Alfaprostin Egipat
Alistint Meksiko, Peru
Alprostadil Argentina, Australija, Čile, Ekvador, Kanada, Malezija, Njemačka, Peru, Rumunjska, S A D, Saudijska Arabija, Španjolska, Turska
Alprostapint Argentina, Austrija, Ekvador, Kolumbija, Madžarska, Peru
Alprostar Italija
Aplicav
Cardiobonisol Poljska
Caverject Austrija, Belgija, Brazil, Čile, Danska, Francuska, Italija, Kanada, Kolumbija, Norveška, Poljska, Portugal, S A D, Slovenija, Španjolska, Švedska, Švicarska, Turska, Ujedinjeni Arapski Emirati, Velika Britanija
Edex Francuska, Grčka, S A D, Tunis
Liple Japan
Minprog Austrija, Njemačka
Ostapint Meksiko, Peru
Palux Japan
Pridax Austrija, Njemačka, Rumunjska, Španjolska
Prolisina VR Argentina
Prostandin Japan
Prostavasin Austrija, Egipat, Iran, Italija, Luksemburg, Madžarska, Njemačka, Poljska
Prostin VR Belgija, Danska, Finska, Grčka, Hrvatska, Iran, Italija, Kanada, Kolumbija, Luksemburg, Madžarska, Malezija, Nizozemska, Norveška, Poljska, Portugal, S A D, Saudijska Arabija, Švicarska, Velika Britanija, Venecuela
Prostine VR Francuska
Vasaprostan Rumunjska
Kompatibilnosti   injekcija   Kompatibilnosti : Alprostadil              
Ovdje su prikazane kompatibilnosti ili nekompatibilnosti s tipom nekompatibilnosti (taloženje, promjena boje, modifikacija emulzije itd.) u ovom slučaju. Kompatibilnosti prikazane ovdje najčešće su fizikalne dok se kemijska stabilnost molekule rijetko procjenjuje. Procjena ovih mikstura je proučavana kako bi se razmotrila mogućnost primjene lijeka putem Y-mjesta. Ovi se podaci ne smiju koristiti za pripremu mikstura unaprijed u vrećicama ili štrcaljkama. Ova vrsta informacije se može pronaći u odjeljku « stabilnost u miksturama ».
molekula sredstvo za rastapanje Bibliografija
Kompatibilan
injekcija Alprostadil 20 µg/ml
injekcija Caffeine citrate 20 mg/ml
natrijumkorid 0,9% 4837
Kompatibilan
injekcija Alprostadil
glukoza 5% 4954
Kompatibilan
injekcija Alprostadil 20 µg/ml
injekcija Amiodarone hydrochloride 6 mg/ml
glukoza 5% 4651
Kompatibilan
injekcija Alprostadil 20 µg/ml
injekcija Amiodarone hydrochloride 6 mg/ml
glukoza 5% 4491
Kompatibilan
injekcija Alprostadil 15 µg/ml
injekcija Ampicillin sodium 100 mg/ml
3201
Kompatibilan
injekcija Alprostadil 20 µg/ml
injekcija Caffeine 10 mg/ml
natrijumkorid 0,9% 4837
Kompatibilan
injekcija Alprostadil 20 µg/ml
injekcija Calcium gluconate 10 mg/ml
glukoza 5% 4651
Kompatibilan
injekcija Alprostadil 20 µg/ml
injekcija Calcium gluconate 0,04 mg/ml
glukoza 10% 4491
Kompatibilan
injekcija Alprostadil 15 µg/ml
injekcija Cefazolin sodium 100 mg/ml
3201
Kompatibilan
injekcija Alprostadil 15 µg/ml
injekcija Cefotaxime sodium 100 mg/ml
3201
Kompatibilan
injekcija Alprostadil 15 µg/ml
injekcija Chlorothiazide sodium 25 mg/ml
3201
Neposredne oborine inkompatibilan
injekcija Alprostadil 20 µg/ml
injekcija Cisatracurium besylate 1,2 mg/ml
glukoza 5% 4651
Kompatibilan
injekcija Alprostadil 20 µg/ml
Parenteralna prehrana (lipidima) 4507
Neposredne oborine inkompatibilan
injekcija Alprostadil 20 µg/ml
injekcija Cisatracurium besylate 1,2 mg/ml
glukoza 5% 4491
Neposredna zamućenost inkompatibilan
injekcija Alprostadil 20 µg/ml
injekcija Dexmedetomidine 4 µg/ml
glukoza 5% 4651
Kompatibilan
injekcija Alprostadil 20 µg/ml
injekcija Dexmedetomidine 4 µg/ml
glukoza 5% 4491
Kompatibilan
injekcija Alprostadil 500 µg/ml
injekcija Dexmedetomidine 100 µg/ml
4389
Kompatibilan
injekcija Alprostadil 20 µg/ml
injekcija Dobutamine hydrochloride 10 mg/ml
glukoza 5% 4651
Kompatibilan
injekcija Alprostadil 15 µg/ml
injekcija Dobutamine hydrochloride 3 mg/ml
3201
Kompatibilan
injekcija Alprostadil 20 µg/ml
injekcija Dobutamine hydrochloride 10 mg/ml
glukoza 5% 4491
Kompatibilan
injekcija Alprostadil 20 µg/ml
injekcija Dopamine hydrochloride 10 mg/ml
glukoza 5% 4651
Kompatibilan
injekcija Alprostadil 15 µg/ml
injekcija Dopamine hydrochloride 3 mg/ml
3201
Kompatibilan
injekcija Alprostadil 20 µg/ml
injekcija Dopamine hydrochloride 10 mg/ml
glukoza 5% 4491
Kompatibilan
injekcija Alprostadil 20 µg/ml
injekcija Epinephrine hydrochloride 0,2 µg/ml
glukoza 5% 4491
Kompatibilan
injekcija Alprostadil 20 µg/ml
injekcija Epinephrine hydrochloride 200 µg/ml
glukoza 5% 4651
Kompatibilan
injekcija Alprostadil 20 µg/ml
injekcija Fentanyl citrate 40 µg/ml
glukoza 5% 4651
Kompatibilan
injekcija Alprostadil 15 µg/ml
injekcija Fentanyl citrate 10 µg/ml
3201
Kompatibilan
injekcija Alprostadil 20 µg/ml
injekcija Fentanyl citrate 40 µg/ml
natrijumkorid 0,9% 4491
Kompatibilan
injekcija Alprostadil 20 µg/ml
injekcija Flecainide acetate 2 mg/ml
glukoza 5% 4491
Kompatibilan
injekcija Alprostadil 20 µg/ml
injekcija Flecainide acetate 2 mg/ml
glukoza 5% 4651
Kompatibilan
injekcija Alprostadil 15 µg/ml
injekcija Furosemide 5 mg/ml
3201
Kompatibilan
injekcija Alprostadil 20 µg/ml
injekcija Furosemide 5 mg/ml
glukoza 5% 4651
Kompatibilan
injekcija Alprostadil 20 µg/ml
injekcija Furosemide 5 mg/ml
natrijumkorid 0,9% 4491
Kompatibilan
injekcija Alprostadil 1 µg/ml
injekcija Furosemide 10 mg/ml
natrijumkorid 0,9% 4570
Kompatibilan
injekcija Alprostadil 15 µg/ml
injekcija Gentamicin sulfate 1 mg/ml
3201
Kompatibilan
injekcija Alprostadil 20 µg/ml
injekcija Heparin sodium 1 UI/ml
natrijumkorid 0,9% 4491
Kompatibilan
injekcija Alprostadil 20 µg/ml
injekcija Heparin sodium 1 UI/ml
glukoza 5% 4651
Neposredna zamućenost inkompatibilan
injekcija Alprostadil 20 µg/ml
injekcija Insulin 1 UI/ml
glukoza 5% 4491
Neposredne oborine inkompatibilan
injekcija Alprostadil 20 µg/ml
injekcija Insulin 1 UI/ml
natrijumkorid 0,9% 4651
Kompatibilan
injekcija Alprostadil 500 µg/ml
injekcija Ketamine hydrochloride 50 mg/ml
4389
Kompatibilan
injekcija Alprostadil 20 µg/ml
injekcija Ketamine hydrochloride 5 mg/ml
glukoza 5% 4651
Kompatibilan
injekcija Alprostadil 20 µg/ml
injekcija Ketamine hydrochloride 5 mg/ml
glukoza 5% 4491
Neposredne oborine inkompatibilan
injekcija Alprostadil 500 µg/ml
injekcija Levofloxacine 5 mg/ml
glukoza 5% 1072
Kompatibilan
injekcija Alprostadil 15 µg/ml
injekcija Methylprednisolone sodium succinate 40 mg/ml
3201
Kompatibilan
injekcija Alprostadil 20 µg/ml
injekcija Midazolam hydrochloride 2,5 mg/ml
glukoza 5% 4491
Kompatibilan
injekcija Alprostadil 20 µg/ml
injekcija Midazolam hydrochloride 2,5 mg/ml
glukoza 5% 4651
Kompatibilan
injekcija Alprostadil 20 µg/ml
injekcija Milrinone lactate 0,5 mg/ml
glukoza 5% 4491
Kompatibilan
injekcija Alprostadil 500 µg/ml
injekcija Milrinone lactate 1 mg/ml
4389
Kompatibilan
injekcija Alprostadil 20 µg/ml
injekcija Milrinone lactate 0,5 mg/ml
glukoza 5% 4651
Kompatibilan
injekcija Alprostadil 20 µg/ml
injekcija Morphine hydrochloride 2 mg/ml
glukoza 5% 4651
Padavine nakon 4 sata inkompatibilan
injekcija Alprostadil 20 µg/ml
injekcija Norepinephrine bitartrate 0,5 mg/ml
glukoza 5% 4491
Padavine nakon 4 sata inkompatibilan
injekcija Alprostadil 20 µg/ml
injekcija Norepinephrine bitartrate 0,5 mg/ml
glukoza 5% 4651
Kompatibilan
injekcija Alprostadil
injekcija Pantoprazole sodium
2090
inkompatibilan
injekcija Alprostadil
injekcija Papaverine hydrochloride
2150
Kompatibilan
injekcija Alprostadil
natrijumkorid 0,9% 4954
Kompatibilan
injekcija Alprostadil 6 µg/ml
injekcija Pentoxifyllin 5 mg/ml
natrijumkorid 0,9% 4543
inkompatibilan
injekcija Alprostadil
injekcija Phentolamine mesylate
2150
Kompatibilan
injekcija Alprostadil 20 µg/ml
injekcija Sildenafil citrate 0,6 mg/ml
glukoza 5% 4845
Kompatibilan
injekcija Alprostadil 15 µg/ml
injekcija Tobramycin sulfate 1 mg/ml
3201
Kompatibilan
injekcija Alprostadil 15 µg/ml
injekcija Vancomycin hydrochloride 5 mg/ml
3201
Kompatibilan
injekcija Alprostadil 15 µg/ml
injekcija Vecuronium bromide 1 mg/ml
3201

  Mentions Légales