最新更新 :
27/11/2025
血管拡張薬   Alprostadil  
注射薬
溶媒内の安定性 混合時の安定性 安定性に影響する因子 互換性 投与経路 引用文献 PDF
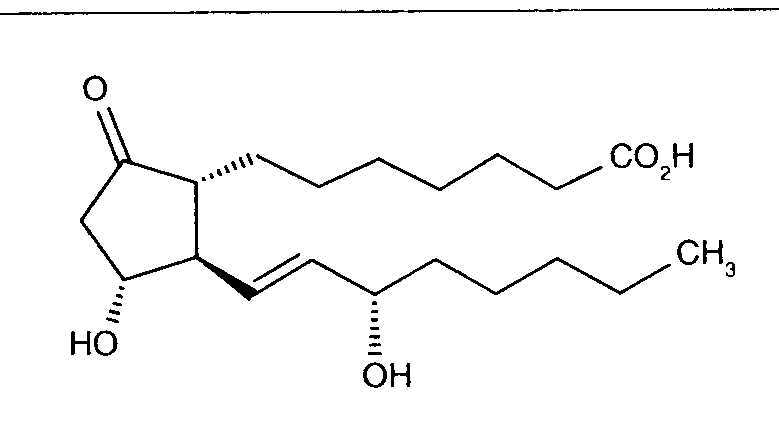
   化学構造  

商品名   商品名     

商品名、賦形剤は国、製薬会社ごとに異なることがあります

Alfaprostin エジプト
Alistint ペルー, メキシコ
Alprostadil アメリカ, アルゼンチン, アーストラリア, エクアドル, カナダ, サウジアラビア, スペイン, チリ, トルコ, ドイツ, ペルー, マレーシア, ルーマニア
Alprostapint アルゼンチン, エクアドル, オーストリア, コロンビア, ハンガリー, ペルー
Alprostar イタリア
Aplicav
Cardiobonisol ポーランド
Caverject アメリカ, アラブ首長国連邦, イギリス, イタリア, オーストリア, カナダ, コロンビア, スイス, スウェーデン, スペイン, スロベニア, チリ, デンマーク, トルコ, ノルウェー, フランス, ブラジル, ベルギー, ポルトガル, ポーランド
Edex アメリカ, ギリシア, チュニジア, フランス
Liple 日本
Minprog オーストリア, ドイツ
Ostapint ペルー, メキシコ
Palux 日本
Pridax オーストリア, スペイン, ドイツ, ルーマニア
Prolisina VR アルゼンチン
Prostandin 日本
Prostavasin イタリア, イラン, エジプト, オーストリア, ドイツ, ハンガリー, ポーランド, ルクセンブルグ
Prostin VR アメリカ, イギリス, イタリア, イラン, オランダ, カナダ, ギリシア, クロアチア, コロンビア, サウジアラビア, スイス, デンマーク, ノルウェー, ハンガリー, フィンランド, ベネズエラ, ベルギー, ポルトガル, ポーランド, マレーシア, ルクセンブルグ
Prostine VR フランス
Vasaprostan ルーマニア
互換性   注射薬   互換性 : Alprostadil              
This screen indicates the compatibilities or incompatibilities with, in this case, the type of incompatibility (precipitation, color change, modification of an emulsion, etc.). The compatibilities shown here are mostly physical only, with the chemical stability of each molecule rarely being assessed. The evaluation of these mixtures was studied to consider the possibility of Y-site administration to the patient. These data cannot be used for making mixtures in advance in bags or syringes. This type of information is available in the screen "Stability in mixture ».
化合物 溶媒 引用文献
対応
注射薬 Alprostadil 20 µg/ml
注射薬 Caffeine citrate 20 mg/ml
NaCl 0,9% 4837
対応
注射薬 Alprostadil
グルコース5% 4954
対応
注射薬 Alprostadil 20 µg/ml
注射薬 Amiodarone hydrochloride 6 mg/ml
グルコース5% 4651
対応
注射薬 Alprostadil 20 µg/ml
注射薬 Amiodarone hydrochloride 6 mg/ml
グルコース5% 4491
対応
注射薬 Alprostadil 15 µg/ml
注射薬 Ampicillin sodium 100 mg/ml
3201
対応
注射薬 Alprostadil 20 µg/ml
注射薬 Caffeine 10 mg/ml
NaCl 0,9% 4837
対応
注射薬 Alprostadil 20 µg/ml
注射薬 Calcium gluconate 10 mg/ml
グルコース5% 4651
対応
注射薬 Alprostadil 20 µg/ml
注射薬 Calcium gluconate 0,04 mg/ml
グルコース10% 4491
対応
注射薬 Alprostadil 15 µg/ml
注射薬 Cefazolin sodium 100 mg/ml
3201
対応
注射薬 Alprostadil 15 µg/ml
注射薬 Cefotaxime sodium 100 mg/ml
3201
対応
注射薬 Alprostadil 15 µg/ml
注射薬 Chlorothiazide sodium 25 mg/ml
3201
即時降水 非互換
注射薬 Alprostadil 20 µg/ml
注射薬 Cisatracurium besylate 1,2 mg/ml
グルコース5% 4651
対応
注射薬 Alprostadil 20 µg/ml
非経口的栄養(脂肪含む) 4507
即時降水 非互換
注射薬 Alprostadil 20 µg/ml
注射薬 Cisatracurium besylate 1,2 mg/ml
グルコース5% 4491
すぐに濁り 非互換
注射薬 Alprostadil 20 µg/ml
注射薬 Dexmedetomidine 4 µg/ml
グルコース5% 4651
対応
注射薬 Alprostadil 20 µg/ml
注射薬 Dexmedetomidine 4 µg/ml
グルコース5% 4491
対応
注射薬 Alprostadil 500 µg/ml
注射薬 Dexmedetomidine 100 µg/ml
4389
対応
注射薬 Alprostadil 20 µg/ml
注射薬 Dobutamine hydrochloride 10 mg/ml
グルコース5% 4651
対応
注射薬 Alprostadil 15 µg/ml
注射薬 Dobutamine hydrochloride 3 mg/ml
3201
対応
注射薬 Alprostadil 20 µg/ml
注射薬 Dobutamine hydrochloride 10 mg/ml
グルコース5% 4491
対応
注射薬 Alprostadil 20 µg/ml
注射薬 Dopamine hydrochloride 10 mg/ml
グルコース5% 4651
対応
注射薬 Alprostadil 15 µg/ml
注射薬 Dopamine hydrochloride 3 mg/ml
3201
対応
注射薬 Alprostadil 20 µg/ml
注射薬 Dopamine hydrochloride 10 mg/ml
グルコース5% 4491
対応
注射薬 Alprostadil 20 µg/ml
注射薬 Epinephrine hydrochloride 0,2 µg/ml
グルコース5% 4491
対応
注射薬 Alprostadil 20 µg/ml
注射薬 Epinephrine hydrochloride 200 µg/ml
グルコース5% 4651
対応
注射薬 Alprostadil 20 µg/ml
注射薬 Fentanyl citrate 40 µg/ml
グルコース5% 4651
対応
注射薬 Alprostadil 15 µg/ml
注射薬 Fentanyl citrate 10 µg/ml
3201
対応
注射薬 Alprostadil 20 µg/ml
注射薬 Fentanyl citrate 40 µg/ml
NaCl 0,9% 4491
対応
注射薬 Alprostadil 20 µg/ml
注射薬 Flecainide acetate 2 mg/ml
グルコース5% 4491
対応
注射薬 Alprostadil 20 µg/ml
注射薬 Flecainide acetate 2 mg/ml
グルコース5% 4651
対応
注射薬 Alprostadil 15 µg/ml
注射薬 Furosemide 5 mg/ml
3201
対応
注射薬 Alprostadil 20 µg/ml
注射薬 Furosemide 5 mg/ml
グルコース5% 4651
対応
注射薬 Alprostadil 20 µg/ml
注射薬 Furosemide 5 mg/ml
NaCl 0,9% 4491
対応
注射薬 Alprostadil 1 µg/ml
注射薬 Furosemide 10 mg/ml
NaCl 0,9% 4570
対応
注射薬 Alprostadil 15 µg/ml
注射薬 Gentamicin sulfate 1 mg/ml
3201
対応
注射薬 Alprostadil 20 µg/ml
注射薬 Heparin sodium 1 UI/ml
NaCl 0,9% 4491
対応
注射薬 Alprostadil 20 µg/ml
注射薬 Heparin sodium 1 UI/ml
グルコース5% 4651
すぐに濁り 非互換
注射薬 Alprostadil 20 µg/ml
注射薬 Insulin 1 UI/ml
グルコース5% 4491
即時降水 非互換
注射薬 Alprostadil 20 µg/ml
注射薬 Insulin 1 UI/ml
NaCl 0,9% 4651
対応
注射薬 Alprostadil 500 µg/ml
注射薬 Ketamine hydrochloride 50 mg/ml
4389
対応
注射薬 Alprostadil 20 µg/ml
注射薬 Ketamine hydrochloride 5 mg/ml
グルコース5% 4651
対応
注射薬 Alprostadil 20 µg/ml
注射薬 Ketamine hydrochloride 5 mg/ml
グルコース5% 4491
即時降水 非互換
注射薬 Alprostadil 500 µg/ml
注射薬 Levofloxacine 5 mg/ml
グルコース5% 1072
対応
注射薬 Alprostadil 15 µg/ml
注射薬 Methylprednisolone sodium succinate 40 mg/ml
3201
対応
注射薬 Alprostadil 20 µg/ml
注射薬 Midazolam hydrochloride 2,5 mg/ml
グルコース5% 4491
対応
注射薬 Alprostadil 20 µg/ml
注射薬 Midazolam hydrochloride 2,5 mg/ml
グルコース5% 4651
対応
注射薬 Alprostadil 20 µg/ml
注射薬 Milrinone lactate 0,5 mg/ml
グルコース5% 4491
対応
注射薬 Alprostadil 500 µg/ml
注射薬 Milrinone lactate 1 mg/ml
4389
対応
注射薬 Alprostadil 20 µg/ml
注射薬 Milrinone lactate 0,5 mg/ml
グルコース5% 4651
対応
注射薬 Alprostadil 20 µg/ml
注射薬 Morphine hydrochloride 2 mg/ml
グルコース5% 4651
4時間後の降水 非互換
注射薬 Alprostadil 20 µg/ml
注射薬 Norepinephrine bitartrate 0,5 mg/ml
グルコース5% 4491
4時間後の降水 非互換
注射薬 Alprostadil 20 µg/ml
注射薬 Norepinephrine bitartrate 0,5 mg/ml
グルコース5% 4651
対応
注射薬 Alprostadil
注射薬 Pantoprazole sodium
2090
非互換
注射薬 Alprostadil
注射薬 Papaverine hydrochloride
2150
対応
注射薬 Alprostadil
NaCl 0,9% 4954
対応
注射薬 Alprostadil 6 µg/ml
注射薬 Pentoxifyllin 5 mg/ml
NaCl 0,9% 4543
非互換
注射薬 Alprostadil
注射薬 Phentolamine mesylate
2150
対応
注射薬 Alprostadil 20 µg/ml
注射薬 Sildenafil citrate 0,6 mg/ml
グルコース5% 4845
対応
注射薬 Alprostadil 15 µg/ml
注射薬 Tobramycin sulfate 1 mg/ml
3201
対応
注射薬 Alprostadil 15 µg/ml
注射薬 Vancomycin hydrochloride 5 mg/ml
3201
対応
注射薬 Alprostadil 15 µg/ml
注射薬 Vecuronium bromide 1 mg/ml
3201

  Mentions Légales