Poslední aktualizace :
27/11/2025
Vasodilatans   Alprostadil  
injekce
Stabilita roztoků Stabilita směsí Faktory ovlivňující stabilitu Kompatibilita Způsoby aplikace Odkazy pdf
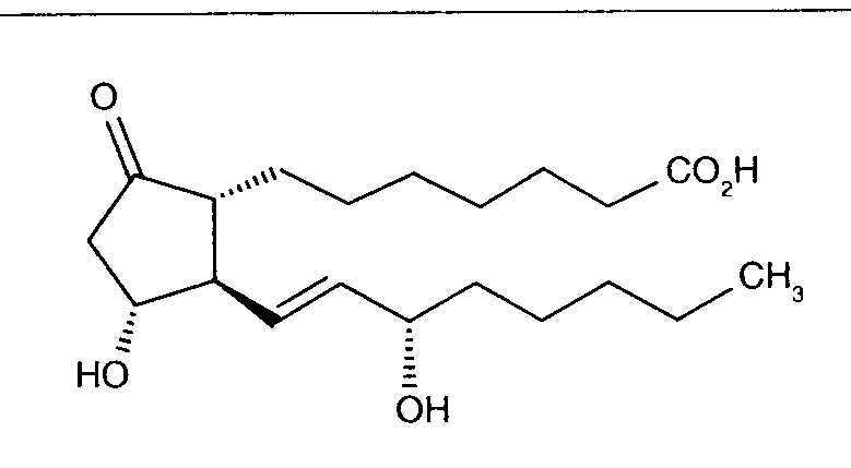
   Chemický vzorec  

Obchodní název   Obchodní název     

Trade names are indicative and excipients composition can be different depending on the country and manufacturers

Alfaprostin Egypt
Alistint Mexiko, Peru
Alprostadil äpanÏlsko, Argentina, Austrálie, Chile, Ekvádor, Kanada, Malajsie, NÏmecko, Peru, Rumunsko, Saúdská Arábie, Turecko, USA
Alprostapint Argentina, Ekvádor, Kolumbie, MaÔarsko, Peru, Rakousko
Alprostar Itálie
Aplicav
Cardiobonisol Polsko
Caverject äpanÏlsko, Belgie, BrazÌlie, Chile, Dánsko, Francie, Itálie, Kanada, Kolumbie, Norsko, Polsko, Portugalsko, Rakousko, Slovinsko, Spojené arabské emiráty, Švédsko, Švýcarsko, Turecko, USA, Velká Británie
Edex Francie, Tunisko, USA, ÿecko
Liple Japonsko
Minprog NÏmecko, Rakousko
Ostapint Mexiko, Peru
Palux Japonsko
Pridax äpanÏlsko, NÏmecko, Rakousko, Rumunsko
Prolisina VR Argentina
Prostandin Japonsko
Prostavasin Egypt, Írán, Itálie, Lucembursko, MaÔarsko, NÏmecko, Polsko, Rakousko
Prostin VR Belgie, Chorvatsko, Dánsko, Finsko, Írán, Itálie, Kanada, Kolumbie, Lucembursko, Malajsie, MaÔarsko, Nizozemsko, Norsko, Polsko, Portugalsko, Saúdská Arábie, Švýcarsko, USA, Velká Británie, Venezuela, ÿecko
Prostine VR Francie
Vasaprostan Rumunsko
Kompatibilita   injekce   Kompatibilita : Alprostadil              
Tato obrazovka ukazuje kompatibilitu nebo nekompatibilitu s, v tomto případě, typem nekompatibility (srážení, změna barvy, modifikace emulze atd.). Zde uvedené kompatibility jsou většinou pouze fyzikální, přičemž chemická stabilita každé molekuly je zřídka hodnocena. Hodnocení těchto směsí bylo studováno, aby se zvážila možnost podání Y-místa pacientovi. Tyto údaje nelze použít k přípravě směsí předem v pytlích nebo stříkačkách. Tento typ informací je k dispozici na obrazovce „Stabilita ve směsi“.
SlouËenina RozpouötÏdlo Odkazy
Kompatibilní
injekce Alprostadil 20 µg/ml
injekce Caffeine citrate 20 mg/ml
Chlorid sodný 0,9% 4837
Kompatibilní
injekce Alprostadil
GlukÛza 5% 4954
Kompatibilní
injekce Alprostadil 20 µg/ml
injekce Amiodarone hydrochloride 6 mg/ml
GlukÛza 5% 4651
Kompatibilní
injekce Alprostadil 20 µg/ml
injekce Amiodarone hydrochloride 6 mg/ml
GlukÛza 5% 4491
Kompatibilní
injekce Alprostadil 15 µg/ml
injekce Ampicillin sodium 100 mg/ml
3201
Kompatibilní
injekce Alprostadil 20 µg/ml
injekce Caffeine 10 mg/ml
Chlorid sodný 0,9% 4837
Kompatibilní
injekce Alprostadil 20 µg/ml
injekce Calcium gluconate 10 mg/ml
GlukÛza 5% 4651
Kompatibilní
injekce Alprostadil 20 µg/ml
injekce Calcium gluconate 0,04 mg/ml
GlukÛza 10% 4491
Kompatibilní
injekce Alprostadil 15 µg/ml
injekce Cefazolin sodium 100 mg/ml
3201
Kompatibilní
injekce Alprostadil 15 µg/ml
injekce Cefotaxime sodium 100 mg/ml
3201
Kompatibilní
injekce Alprostadil 15 µg/ml
injekce Chlorothiazide sodium 25 mg/ml
3201
Okamžité srážení Nekompatibilní
injekce Alprostadil 20 µg/ml
injekce Cisatracurium besylate 1,2 mg/ml
GlukÛza 5% 4651
Kompatibilní
injekce Alprostadil 20 µg/ml
Parenterální výživa (lipidy) 4507
Okamžité srážení Nekompatibilní
injekce Alprostadil 20 µg/ml
injekce Cisatracurium besylate 1,2 mg/ml
GlukÛza 5% 4491
Okamžitá zákal Nekompatibilní
injekce Alprostadil 20 µg/ml
injekce Dexmedetomidine 4 µg/ml
GlukÛza 5% 4651
Kompatibilní
injekce Alprostadil 20 µg/ml
injekce Dexmedetomidine 4 µg/ml
GlukÛza 5% 4491
Kompatibilní
injekce Alprostadil 500 µg/ml
injekce Dexmedetomidine 100 µg/ml
4389
Kompatibilní
injekce Alprostadil 20 µg/ml
injekce Dobutamine hydrochloride 10 mg/ml
GlukÛza 5% 4651
Kompatibilní
injekce Alprostadil 15 µg/ml
injekce Dobutamine hydrochloride 3 mg/ml
3201
Kompatibilní
injekce Alprostadil 20 µg/ml
injekce Dobutamine hydrochloride 10 mg/ml
GlukÛza 5% 4491
Kompatibilní
injekce Alprostadil 20 µg/ml
injekce Dopamine hydrochloride 10 mg/ml
GlukÛza 5% 4651
Kompatibilní
injekce Alprostadil 15 µg/ml
injekce Dopamine hydrochloride 3 mg/ml
3201
Kompatibilní
injekce Alprostadil 20 µg/ml
injekce Dopamine hydrochloride 10 mg/ml
GlukÛza 5% 4491
Kompatibilní
injekce Alprostadil 20 µg/ml
injekce Epinephrine hydrochloride 0,2 µg/ml
GlukÛza 5% 4491
Kompatibilní
injekce Alprostadil 20 µg/ml
injekce Epinephrine hydrochloride 200 µg/ml
GlukÛza 5% 4651
Kompatibilní
injekce Alprostadil 20 µg/ml
injekce Fentanyl citrate 40 µg/ml
GlukÛza 5% 4651
Kompatibilní
injekce Alprostadil 15 µg/ml
injekce Fentanyl citrate 10 µg/ml
3201
Kompatibilní
injekce Alprostadil 20 µg/ml
injekce Fentanyl citrate 40 µg/ml
Chlorid sodný 0,9% 4491
Kompatibilní
injekce Alprostadil 20 µg/ml
injekce Flecainide acetate 2 mg/ml
GlukÛza 5% 4491
Kompatibilní
injekce Alprostadil 20 µg/ml
injekce Flecainide acetate 2 mg/ml
GlukÛza 5% 4651
Kompatibilní
injekce Alprostadil 15 µg/ml
injekce Furosemide 5 mg/ml
3201
Kompatibilní
injekce Alprostadil 20 µg/ml
injekce Furosemide 5 mg/ml
GlukÛza 5% 4651
Kompatibilní
injekce Alprostadil 20 µg/ml
injekce Furosemide 5 mg/ml
Chlorid sodný 0,9% 4491
Kompatibilní
injekce Alprostadil 1 µg/ml
injekce Furosemide 10 mg/ml
Chlorid sodný 0,9% 4570
Kompatibilní
injekce Alprostadil 15 µg/ml
injekce Gentamicin sulfate 1 mg/ml
3201
Kompatibilní
injekce Alprostadil 20 µg/ml
injekce Heparin sodium 1 UI/ml
Chlorid sodný 0,9% 4491
Kompatibilní
injekce Alprostadil 20 µg/ml
injekce Heparin sodium 1 UI/ml
GlukÛza 5% 4651
Okamžitá zákal Nekompatibilní
injekce Alprostadil 20 µg/ml
injekce Insulin 1 UI/ml
GlukÛza 5% 4491
Okamžité srážení Nekompatibilní
injekce Alprostadil 20 µg/ml
injekce Insulin 1 UI/ml
Chlorid sodný 0,9% 4651
Kompatibilní
injekce Alprostadil 500 µg/ml
injekce Ketamine hydrochloride 50 mg/ml
4389
Kompatibilní
injekce Alprostadil 20 µg/ml
injekce Ketamine hydrochloride 5 mg/ml
GlukÛza 5% 4651
Kompatibilní
injekce Alprostadil 20 µg/ml
injekce Ketamine hydrochloride 5 mg/ml
GlukÛza 5% 4491
Okamžité srážení Nekompatibilní
injekce Alprostadil 500 µg/ml
injekce Levofloxacine 5 mg/ml
GlukÛza 5% 1072
Kompatibilní
injekce Alprostadil 15 µg/ml
injekce Methylprednisolone sodium succinate 40 mg/ml
3201
Kompatibilní
injekce Alprostadil 20 µg/ml
injekce Midazolam hydrochloride 2,5 mg/ml
GlukÛza 5% 4491
Kompatibilní
injekce Alprostadil 20 µg/ml
injekce Midazolam hydrochloride 2,5 mg/ml
GlukÛza 5% 4651
Kompatibilní
injekce Alprostadil 20 µg/ml
injekce Milrinone lactate 0,5 mg/ml
GlukÛza 5% 4491
Kompatibilní
injekce Alprostadil 500 µg/ml
injekce Milrinone lactate 1 mg/ml
4389
Kompatibilní
injekce Alprostadil 20 µg/ml
injekce Milrinone lactate 0,5 mg/ml
GlukÛza 5% 4651
Kompatibilní
injekce Alprostadil 20 µg/ml
injekce Morphine hydrochloride 2 mg/ml
GlukÛza 5% 4651
Srážky po 4 hodinách Nekompatibilní
injekce Alprostadil 20 µg/ml
injekce Norepinephrine bitartrate 0,5 mg/ml
GlukÛza 5% 4491
Srážky po 4 hodinách Nekompatibilní
injekce Alprostadil 20 µg/ml
injekce Norepinephrine bitartrate 0,5 mg/ml
GlukÛza 5% 4651
Kompatibilní
injekce Alprostadil
injekce Pantoprazole sodium
2090
Nekompatibilní
injekce Alprostadil
injekce Papaverine hydrochloride
2150
Kompatibilní
injekce Alprostadil
Chlorid sodný 0,9% 4954
Kompatibilní
injekce Alprostadil 6 µg/ml
injekce Pentoxifyllin 5 mg/ml
Chlorid sodný 0,9% 4543
Nekompatibilní
injekce Alprostadil
injekce Phentolamine mesylate
2150
Kompatibilní
injekce Alprostadil 20 µg/ml
injekce Sildenafil citrate 0,6 mg/ml
GlukÛza 5% 4845
Kompatibilní
injekce Alprostadil 15 µg/ml
injekce Tobramycin sulfate 1 mg/ml
3201
Kompatibilní
injekce Alprostadil 15 µg/ml
injekce Vancomycin hydrochloride 5 mg/ml
3201
Kompatibilní
injekce Alprostadil 15 µg/ml
injekce Vecuronium bromide 1 mg/ml
3201

  Mentions Légales