Última actualização :
27/11/2025
Vasodilatador   Alprostadil  
injetável
Estabilidade em soluções simples Estabilidade em misturas Factores que afectam a sua estabilidade Compatibilidade Método de administração Bibliografía pdf
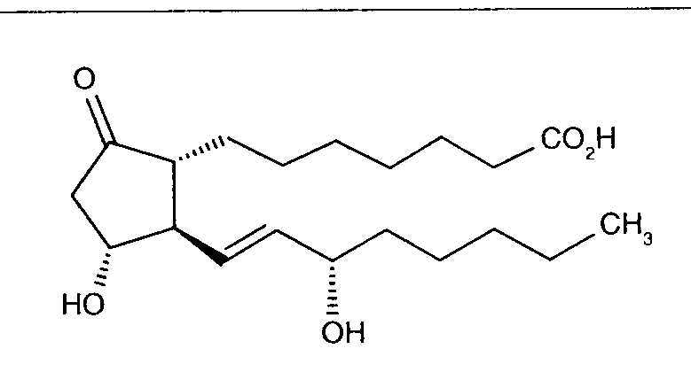
   estrutura química  

Nomes comerciais nos diversos países   Nomes comerciais nos diversos países     

OS NOMES COMERCIAIS SÃO INDICATIVOS E OS EXCIPIENTES DA FORMULAÇÃO PODEM SER DIFERENTES CONFORME O PAÍS E FABRICANTE.

Alfaprostin Egipto
Alistint México, Peru
Alprostadil Alemanha, Arábia Saudita, Argentina, Australia, Canadá, Chilli, Equator, Espanha, Estados Unidos de América, Malásia, Peru, Romènia, Turquia
Alprostapint Argentina, Austria, Colômbia, Equator, Hungria, Peru
Alprostar Itália
Aplicav
Cardiobonisol Polonia
Caverject Austria, Bélgica, Brasil, Canadá, Chilli, Colômbia, Dinamarca, Emirados Árabes Unidos, Eslovenia, Espanha, Estados Unidos de América, França, Gran-bretanha, Itália, Noruega, Polonia, Portugal, Suècia, Suicia, Turquia
Edex Estados Unidos de América, França, Grècia, Tunísia
Liple Japón
Minprog Alemanha, Austria
Ostapint México, Peru
Palux Japón
Pridax Alemanha, Austria, Espanha, Romènia
Prolisina VR Argentina
Prostandin Japón
Prostavasin Alemanha, Austria, Egipto, Hungria, Irã, Itália, Luxemburgo, Polonia
Prostin VR Arábia Saudita, Bélgica, Canadá, Colômbia, Croácia, Dinamarca, Estados Unidos de América, Finlandia, Gran-bretanha, Grècia, Hungria, Irã, Itália, Luxemburgo, Malásia, Noruega, Países Baixos, Polonia, Portugal, Suicia, Venezuela
Prostine VR França
Vasaprostan Romènia
Compatibilidade   injetável   Compatibilidade : Alprostadil              
Este ecrã indica as compatibilidades ou incompatibilidades com, neste caso, o tipo de incompatibilidade (precipitação, mudança de cor, modificação de uma emulsão, etc.). As compatibilidades mostradas aqui são principalmente físicas, com a estabilidade química de cada molécula raramente sendo avaliada. A avaliação dessas misturas foi estudada para considerar a possibilidade de administração do local Y ao paciente. Estes dados não podem ser usados para fazer misturas antecipadamente em sacos ou seringas. Este tipo de informação está disponível na tela “Estabilidade na mistura».
molécula Solvente Bibliografia
Compatível
injetável Alprostadil 20 µg/ml
injetável Caffeine citrate 20 mg/ml
cloreto de sódio 0,9% 4837
Compatível
injetável Alprostadil
Glucose 5% 4954
Compatível
injetável Alprostadil 20 µg/ml
injetável Amiodarone hydrochloride 6 mg/ml
Glucose 5% 4651
Compatível
injetável Alprostadil 20 µg/ml
injetável Amiodarone hydrochloride 6 mg/ml
Glucose 5% 4491
Compatível
injetável Alprostadil 15 µg/ml
injetável Ampicillin sodium 100 mg/ml
3201
Compatível
injetável Alprostadil 20 µg/ml
injetável Caffeine 10 mg/ml
cloreto de sódio 0,9% 4837
Compatível
injetável Alprostadil 20 µg/ml
injetável Calcium gluconate 10 mg/ml
Glucose 5% 4651
Compatível
injetável Alprostadil 20 µg/ml
injetável Calcium gluconate 0,04 mg/ml
Glucose 10% 4491
Compatível
injetável Alprostadil 15 µg/ml
injetável Cefazolin sodium 100 mg/ml
3201
Compatível
injetável Alprostadil 15 µg/ml
injetável Cefotaxime sodium 100 mg/ml
3201
Compatível
injetável Alprostadil 15 µg/ml
injetável Chlorothiazide sodium 25 mg/ml
3201
Precipitação imediata Incompatível
injetável Alprostadil 20 µg/ml
injetável Cisatracurium besylate 1,2 mg/ml
Glucose 5% 4651
Compatível
injetável Alprostadil 20 µg/ml
Nutrição parenteral (com lípidos) 4507
Precipitação imediata Incompatível
injetável Alprostadil 20 µg/ml
injetável Cisatracurium besylate 1,2 mg/ml
Glucose 5% 4491
Turvação imediata Incompatível
injetável Alprostadil 20 µg/ml
injetável Dexmedetomidine 4 µg/ml
Glucose 5% 4651
Compatível
injetável Alprostadil 20 µg/ml
injetável Dexmedetomidine 4 µg/ml
Glucose 5% 4491
Compatível
injetável Alprostadil 500 µg/ml
injetável Dexmedetomidine 100 µg/ml
4389
Compatível
injetável Alprostadil 20 µg/ml
injetável Dobutamine hydrochloride 10 mg/ml
Glucose 5% 4651
Compatível
injetável Alprostadil 15 µg/ml
injetável Dobutamine hydrochloride 3 mg/ml
3201
Compatível
injetável Alprostadil 20 µg/ml
injetável Dobutamine hydrochloride 10 mg/ml
Glucose 5% 4491
Compatível
injetável Alprostadil 20 µg/ml
injetável Dopamine hydrochloride 10 mg/ml
Glucose 5% 4651
Compatível
injetável Alprostadil 15 µg/ml
injetável Dopamine hydrochloride 3 mg/ml
3201
Compatível
injetável Alprostadil 20 µg/ml
injetável Dopamine hydrochloride 10 mg/ml
Glucose 5% 4491
Compatível
injetável Alprostadil 20 µg/ml
injetável Epinephrine hydrochloride 0,2 µg/ml
Glucose 5% 4491
Compatível
injetável Alprostadil 20 µg/ml
injetável Epinephrine hydrochloride 200 µg/ml
Glucose 5% 4651
Compatível
injetável Alprostadil 20 µg/ml
injetável Fentanyl citrate 40 µg/ml
Glucose 5% 4651
Compatível
injetável Alprostadil 15 µg/ml
injetável Fentanyl citrate 10 µg/ml
3201
Compatível
injetável Alprostadil 20 µg/ml
injetável Fentanyl citrate 40 µg/ml
cloreto de sódio 0,9% 4491
Compatível
injetável Alprostadil 20 µg/ml
injetável Flecainide acetate 2 mg/ml
Glucose 5% 4491
Compatível
injetável Alprostadil 20 µg/ml
injetável Flecainide acetate 2 mg/ml
Glucose 5% 4651
Compatível
injetável Alprostadil 15 µg/ml
injetável Furosemide 5 mg/ml
3201
Compatível
injetável Alprostadil 20 µg/ml
injetável Furosemide 5 mg/ml
Glucose 5% 4651
Compatível
injetável Alprostadil 20 µg/ml
injetável Furosemide 5 mg/ml
cloreto de sódio 0,9% 4491
Compatível
injetável Alprostadil 1 µg/ml
injetável Furosemide 10 mg/ml
cloreto de sódio 0,9% 4570
Compatível
injetável Alprostadil 15 µg/ml
injetável Gentamicin sulfate 1 mg/ml
3201
Compatível
injetável Alprostadil 20 µg/ml
injetável Heparin sodium 1 UI/ml
cloreto de sódio 0,9% 4491
Compatível
injetável Alprostadil 20 µg/ml
injetável Heparin sodium 1 UI/ml
Glucose 5% 4651
Turvação imediata Incompatível
injetável Alprostadil 20 µg/ml
injetável Insulin 1 UI/ml
Glucose 5% 4491
Precipitação imediata Incompatível
injetável Alprostadil 20 µg/ml
injetável Insulin 1 UI/ml
cloreto de sódio 0,9% 4651
Compatível
injetável Alprostadil 500 µg/ml
injetável Ketamine hydrochloride 50 mg/ml
4389
Compatível
injetável Alprostadil 20 µg/ml
injetável Ketamine hydrochloride 5 mg/ml
Glucose 5% 4651
Compatível
injetável Alprostadil 20 µg/ml
injetável Ketamine hydrochloride 5 mg/ml
Glucose 5% 4491
Precipitação imediata Incompatível
injetável Alprostadil 500 µg/ml
injetável Levofloxacine 5 mg/ml
Glucose 5% 1072
Compatível
injetável Alprostadil 15 µg/ml
injetável Methylprednisolone sodium succinate 40 mg/ml
3201
Compatível
injetável Alprostadil 20 µg/ml
injetável Midazolam hydrochloride 2,5 mg/ml
Glucose 5% 4491
Compatível
injetável Alprostadil 20 µg/ml
injetável Midazolam hydrochloride 2,5 mg/ml
Glucose 5% 4651
Compatível
injetável Alprostadil 20 µg/ml
injetável Milrinone lactate 0,5 mg/ml
Glucose 5% 4491
Compatível
injetável Alprostadil 500 µg/ml
injetável Milrinone lactate 1 mg/ml
4389
Compatível
injetável Alprostadil 20 µg/ml
injetável Milrinone lactate 0,5 mg/ml
Glucose 5% 4651
Compatível
injetável Alprostadil 20 µg/ml
injetável Morphine hydrochloride 2 mg/ml
Glucose 5% 4651
Precipitação após 4 horas Incompatível
injetável Alprostadil 20 µg/ml
injetável Norepinephrine bitartrate 0,5 mg/ml
Glucose 5% 4491
Precipitação após 4 horas Incompatível
injetável Alprostadil 20 µg/ml
injetável Norepinephrine bitartrate 0,5 mg/ml
Glucose 5% 4651
Compatível
injetável Alprostadil
injetável Pantoprazole sodium
2090
Incompatível
injetável Alprostadil
injetável Papaverine hydrochloride
2150
Compatível
injetável Alprostadil
cloreto de sódio 0,9% 4954
Compatível
injetável Alprostadil 6 µg/ml
injetável Pentoxifyllin 5 mg/ml
cloreto de sódio 0,9% 4543
Incompatível
injetável Alprostadil
injetável Phentolamine mesylate
2150
Compatível
injetável Alprostadil 20 µg/ml
injetável Sildenafil citrate 0,6 mg/ml
Glucose 5% 4845
Compatível
injetável Alprostadil 15 µg/ml
injetável Tobramycin sulfate 1 mg/ml
3201
Compatível
injetável Alprostadil 15 µg/ml
injetável Vancomycin hydrochloride 5 mg/ml
3201
Compatível
injetável Alprostadil 15 µg/ml
injetável Vecuronium bromide 1 mg/ml
3201

  Mentions Légales