Poslední aktualizace :
27/11/2025
Kraujagysles plečiantis vaistas   Alprostadil  
Įpurškimas
Tirpalų stabilumas Mišinių stabilumas Stabilumą lemiantys veiksniai Suderinamumas Leidimo būdai Bibliografija pdf
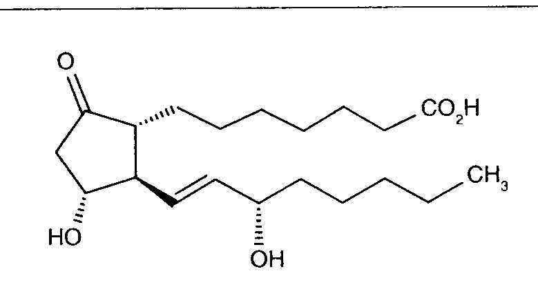
   Cheminė sandara  

Prekinis pavadinimas   Prekinis pavadinimas     

Trade names are indicative and excipients composition can be different depending on the country and manufacturers

Alfaprostin Egiptas
Alistint Meksikas, Peru
Alprostadil Argentina, Australija, Čilė, Ekvadoras, Ispanija, Jungtinės Amerikos Valstijos, Kanada, Malaizija, Peru, Rumunija, Saudo Arabija, Turkija, Vokietija
Alprostapint Argentina, Austrija, Ekvadoras, Kolumbija, Peru, Vengrija
Alprostar Italija
Aplicav
Cardiobonisol Lenkija
Caverject Austrija, Belgija, Brazilija, Čilė, Danija, Didžioji Britanija, Ispanija, Italija, Jungtinės Amerikos Valstijos, Jungtiniai Arabų Emyratai, Kanada, Kolumbija, Lenkija, Norvegija, Portugalija, Prancūzija, Slovėnija, Švedija, Šveicarija, Turkija
Edex Graikija, Jungtinės Amerikos Valstijos, Prancūzija, Tunisas
Liple Japonija
Minprog Austrija, Vokietija
Ostapint Meksikas, Peru
Palux Japonija
Pridax Austrija, Ispanija, Rumunija, Vokietija
Prolisina VR Argentina
Prostandin Japonija
Prostavasin Austrija, Egiptas, Iranas, Italija, Lenkija, Liuksemburgas, Vengrija, Vokietija
Prostin VR Belgija, Danija, Didžioji Britanija, Graikija, Iranas, Italija, Jungtinės Amerikos Valstijos, Kanada, Kolumbija, Kroatija, Lenkija, Liuksemburgas, Malaizija, Norvegija, Olandija, Portugalija, Saudo Arabija, Suomija, Šveicarija, Venesuela, Vengrija
Prostine VR Prancūzija
Vasaprostan Rumunija
Suderinamumas   Įpurškimas   Suderinamumas : Alprostadil              
explication_incompatibilite_molecules
Molekulė Tirpiklis Nuorodos
Suderinamas
Įpurškimas Alprostadil 20 µg/ml
Įpurškimas Caffeine citrate 20 mg/ml
Natrio chloridas 0,9% 4837
Suderinamas
Įpurškimas Alprostadil
Gliukozė 5% 4954
Suderinamas
Įpurškimas Alprostadil 20 µg/ml
Įpurškimas Amiodarone hydrochloride 6 mg/ml
Gliukozė 5% 4651
Suderinamas
Įpurškimas Alprostadil 20 µg/ml
Įpurškimas Amiodarone hydrochloride 6 mg/ml
Gliukozė 5% 4491
Suderinamas
Įpurškimas Alprostadil 15 µg/ml
Įpurškimas Ampicillin sodium 100 mg/ml
3201
Suderinamas
Įpurškimas Alprostadil 20 µg/ml
Įpurškimas Caffeine 10 mg/ml
Natrio chloridas 0,9% 4837
Suderinamas
Įpurškimas Alprostadil 20 µg/ml
Įpurškimas Calcium gluconate 10 mg/ml
Gliukozė 5% 4651
Suderinamas
Įpurškimas Alprostadil 20 µg/ml
Įpurškimas Calcium gluconate 0,04 mg/ml
Gliukozė 10% 4491
Suderinamas
Įpurškimas Alprostadil 15 µg/ml
Įpurškimas Cefazolin sodium 100 mg/ml
3201
Suderinamas
Įpurškimas Alprostadil 15 µg/ml
Įpurškimas Cefotaxime sodium 100 mg/ml
3201
Suderinamas
Įpurškimas Alprostadil 15 µg/ml
Įpurškimas Chlorothiazide sodium 25 mg/ml
3201
Nedelsiant krituliai Nesuderinamas
Įpurškimas Alprostadil 20 µg/ml
Įpurškimas Cisatracurium besylate 1,2 mg/ml
Gliukozė 5% 4651
Suderinamas
Įpurškimas Alprostadil 20 µg/ml
Parenteriniu būdu (su lipidų) 4507
Nedelsiant krituliai Nesuderinamas
Įpurškimas Alprostadil 20 µg/ml
Įpurškimas Cisatracurium besylate 1,2 mg/ml
Gliukozė 5% 4491
Tiesioginis drumstumas Nesuderinamas
Įpurškimas Alprostadil 20 µg/ml
Įpurškimas Dexmedetomidine 4 µg/ml
Gliukozė 5% 4651
Suderinamas
Įpurškimas Alprostadil 20 µg/ml
Įpurškimas Dexmedetomidine 4 µg/ml
Gliukozė 5% 4491
Suderinamas
Įpurškimas Alprostadil 500 µg/ml
Įpurškimas Dexmedetomidine 100 µg/ml
4389
Suderinamas
Įpurškimas Alprostadil 20 µg/ml
Įpurškimas Dobutamine hydrochloride 10 mg/ml
Gliukozė 5% 4651
Suderinamas
Įpurškimas Alprostadil 15 µg/ml
Įpurškimas Dobutamine hydrochloride 3 mg/ml
3201
Suderinamas
Įpurškimas Alprostadil 20 µg/ml
Įpurškimas Dobutamine hydrochloride 10 mg/ml
Gliukozė 5% 4491
Suderinamas
Įpurškimas Alprostadil 20 µg/ml
Įpurškimas Dopamine hydrochloride 10 mg/ml
Gliukozė 5% 4651
Suderinamas
Įpurškimas Alprostadil 15 µg/ml
Įpurškimas Dopamine hydrochloride 3 mg/ml
3201
Suderinamas
Įpurškimas Alprostadil 20 µg/ml
Įpurškimas Dopamine hydrochloride 10 mg/ml
Gliukozė 5% 4491
Suderinamas
Įpurškimas Alprostadil 20 µg/ml
Įpurškimas Epinephrine hydrochloride 0,2 µg/ml
Gliukozė 5% 4491
Suderinamas
Įpurškimas Alprostadil 20 µg/ml
Įpurškimas Epinephrine hydrochloride 200 µg/ml
Gliukozė 5% 4651
Suderinamas
Įpurškimas Alprostadil 20 µg/ml
Įpurškimas Fentanyl citrate 40 µg/ml
Gliukozė 5% 4651
Suderinamas
Įpurškimas Alprostadil 15 µg/ml
Įpurškimas Fentanyl citrate 10 µg/ml
3201
Suderinamas
Įpurškimas Alprostadil 20 µg/ml
Įpurškimas Fentanyl citrate 40 µg/ml
Natrio chloridas 0,9% 4491
Suderinamas
Įpurškimas Alprostadil 20 µg/ml
Įpurškimas Flecainide acetate 2 mg/ml
Gliukozė 5% 4491
Suderinamas
Įpurškimas Alprostadil 20 µg/ml
Įpurškimas Flecainide acetate 2 mg/ml
Gliukozė 5% 4651
Suderinamas
Įpurškimas Alprostadil 15 µg/ml
Įpurškimas Furosemide 5 mg/ml
3201
Suderinamas
Įpurškimas Alprostadil 20 µg/ml
Įpurškimas Furosemide 5 mg/ml
Gliukozė 5% 4651
Suderinamas
Įpurškimas Alprostadil 20 µg/ml
Įpurškimas Furosemide 5 mg/ml
Natrio chloridas 0,9% 4491
Suderinamas
Įpurškimas Alprostadil 1 µg/ml
Įpurškimas Furosemide 10 mg/ml
Natrio chloridas 0,9% 4570
Suderinamas
Įpurškimas Alprostadil 15 µg/ml
Įpurškimas Gentamicin sulfate 1 mg/ml
3201
Suderinamas
Įpurškimas Alprostadil 20 µg/ml
Įpurškimas Heparin sodium 1 UI/ml
Natrio chloridas 0,9% 4491
Suderinamas
Įpurškimas Alprostadil 20 µg/ml
Įpurškimas Heparin sodium 1 UI/ml
Gliukozė 5% 4651
Tiesioginis drumstumas Nesuderinamas
Įpurškimas Alprostadil 20 µg/ml
Įpurškimas Insulin 1 UI/ml
Gliukozė 5% 4491
Nedelsiant krituliai Nesuderinamas
Įpurškimas Alprostadil 20 µg/ml
Įpurškimas Insulin 1 UI/ml
Natrio chloridas 0,9% 4651
Suderinamas
Įpurškimas Alprostadil 500 µg/ml
Įpurškimas Ketamine hydrochloride 50 mg/ml
4389
Suderinamas
Įpurškimas Alprostadil 20 µg/ml
Įpurškimas Ketamine hydrochloride 5 mg/ml
Gliukozė 5% 4651
Suderinamas
Įpurškimas Alprostadil 20 µg/ml
Įpurškimas Ketamine hydrochloride 5 mg/ml
Gliukozė 5% 4491
Nedelsiant krituliai Nesuderinamas
Įpurškimas Alprostadil 500 µg/ml
Įpurškimas Levofloxacine 5 mg/ml
Gliukozė 5% 1072
Suderinamas
Įpurškimas Alprostadil 15 µg/ml
Įpurškimas Methylprednisolone sodium succinate 40 mg/ml
3201
Suderinamas
Įpurškimas Alprostadil 20 µg/ml
Įpurškimas Midazolam hydrochloride 2,5 mg/ml
Gliukozė 5% 4491
Suderinamas
Įpurškimas Alprostadil 20 µg/ml
Įpurškimas Midazolam hydrochloride 2,5 mg/ml
Gliukozė 5% 4651
Suderinamas
Įpurškimas Alprostadil 20 µg/ml
Įpurškimas Milrinone lactate 0,5 mg/ml
Gliukozė 5% 4491
Suderinamas
Įpurškimas Alprostadil 500 µg/ml
Įpurškimas Milrinone lactate 1 mg/ml
4389
Suderinamas
Įpurškimas Alprostadil 20 µg/ml
Įpurškimas Milrinone lactate 0,5 mg/ml
Gliukozė 5% 4651
Suderinamas
Įpurškimas Alprostadil 20 µg/ml
Įpurškimas Morphine hydrochloride 2 mg/ml
Gliukozė 5% 4651
Krituliai po 4 valandų Nesuderinamas
Įpurškimas Alprostadil 20 µg/ml
Įpurškimas Norepinephrine bitartrate 0,5 mg/ml
Gliukozė 5% 4491
Krituliai po 4 valandų Nesuderinamas
Įpurškimas Alprostadil 20 µg/ml
Įpurškimas Norepinephrine bitartrate 0,5 mg/ml
Gliukozė 5% 4651
Suderinamas
Įpurškimas Alprostadil
Įpurškimas Pantoprazole sodium
2090
Nesuderinamas
Įpurškimas Alprostadil
Įpurškimas Papaverine hydrochloride
2150
Suderinamas
Įpurškimas Alprostadil
Natrio chloridas 0,9% 4954
Suderinamas
Įpurškimas Alprostadil 6 µg/ml
Įpurškimas Pentoxifyllin 5 mg/ml
Natrio chloridas 0,9% 4543
Nesuderinamas
Įpurškimas Alprostadil
Įpurškimas Phentolamine mesylate
2150
Suderinamas
Įpurškimas Alprostadil 20 µg/ml
Įpurškimas Sildenafil citrate 0,6 mg/ml
Gliukozė 5% 4845
Suderinamas
Įpurškimas Alprostadil 15 µg/ml
Įpurškimas Tobramycin sulfate 1 mg/ml
3201
Suderinamas
Įpurškimas Alprostadil 15 µg/ml
Įpurškimas Vancomycin hydrochloride 5 mg/ml
3201
Suderinamas
Įpurškimas Alprostadil 15 µg/ml
Įpurškimas Vecuronium bromide 1 mg/ml
3201

  Mentions Légales