Dernière mise à jour :
17/12/2025
Vasodilatateur   Alprostadil  
injectable
Stabilité des solutions Stabilité en mélange Facteur influençant la stabilité Compatibilités Voie d’administration Bibliographie pdf
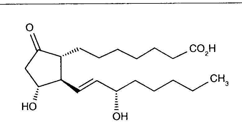
   Structure chimique  

Noms commerciaux   Noms commerciaux     

Les noms commerciaux sont donnés à titre indicatif et la composition en excipients peut être différente selon les pays et selon les laboratoires

Alfaprostin Egypte
Alistint Mexique, Pérou
Alprostadil Allemagne, Arabie Saoudite, Argentine, Australie, Canada, Chili, Equateur, Espagne, Etats Unis d’Amérique, Malaisie, Pérou, Roumanie, Turquie
Alprostapint Argentine, Autriche, Colombie, Equateur, Hongrie, Pérou
Alprostar Italie
Aplicav
Cardiobonisol Pologne
Caverject Autriche, Belgique, Brésil, Canada, Chili, Colombie, Danemark, Emirats Arabes Unis , Espagne, Etats Unis d’Amérique, France, Grande Bretagne, Italie, Norvège, Pologne, Portugal, Slovénie, Suède, Suisse, Turquie
Edex Etats Unis d’Amérique, France, Grèce, Tunisie
Liple Japon
Minprog Allemagne, Autriche
Ostapint Mexique, Pérou
Palux Japon
Pridax Allemagne, Autriche, Espagne, Roumanie
Prolisina VR Argentine
Prostandin Japon
Prostavasin Allemagne, Autriche, Egypte, Hongrie, Iran, Italie, Luxembourg, Pologne
Prostin VR Arabie Saoudite, Belgique, Canada, Colombie, Croatie, Danemark, Etats Unis d’Amérique, Finlande, Grande Bretagne, Grèce, Hongrie, Iran, Italie, Luxembourg, Malaisie, Norvège, Pays bas, Pologne, Portugal, Suisse, Vénézuela
Prostine VR France
Vasaprostan Roumanie
Compatibilités   injectable   Compatibilités : Alprostadil              
Cet écran indique les compatibilités ou incompatibilités avec, dans ce cas, le type d'incompatibilité (précipitation, changement de couleur, modification d'une émulsion, etc.). Les compatibilités présentées ici sont pour la plupart uniquement physiques, la stabilité chimique de chaque molécule étant rarement évaluée. L'évaluation de ces mélanges a été étudiée pour envisager la possibilité d'une administration en site Y au patient. Ces données ne peuvent pas être utilisées pour préparer des mélanges à l'avance dans des poches de perfusion ou des seringues. Ce type d'informations est disponible dans l'écran « Stabilité en mélange ».
Molécule Solvant Bibliographie
Compatible
injectable Alprostadil 20 µg/ml
injectable Caffeine citrate 20 mg/ml
Chlorure de sodium 0,9% 4837
Compatible
injectable Alprostadil
Glucose 5% 4954
Compatible
injectable Alprostadil 20 µg/ml
injectable Amiodarone hydrochloride 6 mg/ml
Glucose 5% 4651
Compatible
injectable Alprostadil 20 µg/ml
injectable Amiodarone hydrochloride 6 mg/ml
Glucose 5% 4491
Compatible
injectable Alprostadil 15 µg/ml
injectable Ampicillin sodium 100 mg/ml
3201
Compatible
injectable Alprostadil 20 µg/ml
injectable Caffeine 10 mg/ml
Chlorure de sodium 0,9% 4837
Compatible
injectable Alprostadil 20 µg/ml
injectable Calcium gluconate 10 mg/ml
Glucose 5% 4651
Compatible
injectable Alprostadil 20 µg/ml
injectable Calcium gluconate 0,04 mg/ml
Glucose 10% 4491
Compatible
injectable Alprostadil 15 µg/ml
injectable Cefazolin sodium 100 mg/ml
3201
Compatible
injectable Alprostadil 15 µg/ml
injectable Cefotaxime sodium 100 mg/ml
3201
Compatible
injectable Alprostadil 15 µg/ml
injectable Chlorothiazide sodium 25 mg/ml
3201
Précipitation immédiate Incompatible
injectable Alprostadil 20 µg/ml
injectable Cisatracurium besylate 1,2 mg/ml
Glucose 5% 4651
Compatible
injectable Alprostadil 20 µg/ml
Nutrition parentérale (mélange ternaire) 4507
Précipitation immédiate Incompatible
injectable Alprostadil 20 µg/ml
injectable Cisatracurium besylate 1,2 mg/ml
Glucose 5% 4491
Turbidité immédiate Incompatible
injectable Alprostadil 20 µg/ml
injectable Dexmedetomidine 4 µg/ml
Glucose 5% 4651
Compatible
injectable Alprostadil 20 µg/ml
injectable Dexmedetomidine 4 µg/ml
Glucose 5% 4491
Compatible
injectable Alprostadil 500 µg/ml
injectable Dexmedetomidine 100 µg/ml
4389
Compatible
injectable Alprostadil 20 µg/ml
injectable Dobutamine hydrochloride 10 mg/ml
Glucose 5% 4651
Compatible
injectable Alprostadil 15 µg/ml
injectable Dobutamine hydrochloride 3 mg/ml
3201
Compatible
injectable Alprostadil 20 µg/ml
injectable Dobutamine hydrochloride 10 mg/ml
Glucose 5% 4491
Compatible
injectable Alprostadil 20 µg/ml
injectable Dopamine hydrochloride 10 mg/ml
Glucose 5% 4651
Compatible
injectable Alprostadil 15 µg/ml
injectable Dopamine hydrochloride 3 mg/ml
3201
Compatible
injectable Alprostadil 20 µg/ml
injectable Dopamine hydrochloride 10 mg/ml
Glucose 5% 4491
Compatible
injectable Alprostadil 20 µg/ml
injectable Epinephrine hydrochloride 0,2 µg/ml
Glucose 5% 4491
Compatible
injectable Alprostadil 20 µg/ml
injectable Epinephrine hydrochloride 200 µg/ml
Glucose 5% 4651
Compatible
injectable Alprostadil 20 µg/ml
injectable Fentanyl citrate 40 µg/ml
Glucose 5% 4651
Compatible
injectable Alprostadil 15 µg/ml
injectable Fentanyl citrate 10 µg/ml
3201
Compatible
injectable Alprostadil 20 µg/ml
injectable Fentanyl citrate 40 µg/ml
Chlorure de sodium 0,9% 4491
Compatible
injectable Alprostadil 20 µg/ml
injectable Flecainide acetate 2 mg/ml
Glucose 5% 4491
Compatible
injectable Alprostadil 20 µg/ml
injectable Flecainide acetate 2 mg/ml
Glucose 5% 4651
Compatible
injectable Alprostadil 15 µg/ml
injectable Furosemide 5 mg/ml
3201
Compatible
injectable Alprostadil 20 µg/ml
injectable Furosemide 5 mg/ml
Glucose 5% 4651
Compatible
injectable Alprostadil 20 µg/ml
injectable Furosemide 5 mg/ml
Chlorure de sodium 0,9% 4491
Compatible
injectable Alprostadil 1 µg/ml
injectable Furosemide 10 mg/ml
Chlorure de sodium 0,9% 4570
Compatible
injectable Alprostadil 15 µg/ml
injectable Gentamicin sulfate 1 mg/ml
3201
Compatible
injectable Alprostadil 20 µg/ml
injectable Heparin sodium 1 UI/ml
Chlorure de sodium 0,9% 4491
Compatible
injectable Alprostadil 20 µg/ml
injectable Heparin sodium 1 UI/ml
Glucose 5% 4651
Turbidité immédiate Incompatible
injectable Alprostadil 20 µg/ml
injectable Insulin 1 UI/ml
Glucose 5% 4491
Précipitation immédiate Incompatible
injectable Alprostadil 20 µg/ml
injectable Insulin 1 UI/ml
Chlorure de sodium 0,9% 4651
Compatible
injectable Alprostadil 500 µg/ml
injectable Ketamine hydrochloride 50 mg/ml
4389
Compatible
injectable Alprostadil 20 µg/ml
injectable Ketamine hydrochloride 5 mg/ml
Glucose 5% 4651
Compatible
injectable Alprostadil 20 µg/ml
injectable Ketamine hydrochloride 5 mg/ml
Glucose 5% 4491
Précipitation immédiate Incompatible
injectable Alprostadil 500 µg/ml
injectable Levofloxacine 5 mg/ml
Glucose 5% 1072
Compatible
injectable Alprostadil 15 µg/ml
injectable Methylprednisolone sodium succinate 40 mg/ml
3201
Compatible
injectable Alprostadil 20 µg/ml
injectable Midazolam hydrochloride 2,5 mg/ml
Glucose 5% 4491
Compatible
injectable Alprostadil 20 µg/ml
injectable Midazolam hydrochloride 2,5 mg/ml
Glucose 5% 4651
Compatible
injectable Alprostadil 20 µg/ml
injectable Milrinone lactate 0,5 mg/ml
Glucose 5% 4491
Compatible
injectable Alprostadil 500 µg/ml
injectable Milrinone lactate 1 mg/ml
4389
Compatible
injectable Alprostadil 20 µg/ml
injectable Milrinone lactate 0,5 mg/ml
Glucose 5% 4651
Compatible
injectable Alprostadil 20 µg/ml
injectable Morphine hydrochloride 2 mg/ml
Glucose 5% 4651
Précipitation en 4 heures Incompatible
injectable Alprostadil 20 µg/ml
injectable Norepinephrine bitartrate 0,5 mg/ml
Glucose 5% 4491
Précipitation en 4 heures Incompatible
injectable Alprostadil 20 µg/ml
injectable Norepinephrine bitartrate 0,5 mg/ml
Glucose 5% 4651
Compatible
injectable Alprostadil
injectable Pantoprazole sodium
2090
Incompatible
injectable Alprostadil
injectable Papaverine hydrochloride
2150
Compatible
injectable Alprostadil
Chlorure de sodium 0,9% 4954
Compatible
injectable Alprostadil 6 µg/ml
injectable Pentoxifyllin 5 mg/ml
Chlorure de sodium 0,9% 4543
Incompatible
injectable Alprostadil
injectable Phentolamine mesylate
2150
Compatible
injectable Alprostadil 20 µg/ml
injectable Sildenafil citrate 0,6 mg/ml
Glucose 5% 4845
Compatible
injectable Alprostadil 15 µg/ml
injectable Tobramycin sulfate 1 mg/ml
3201
Compatible
injectable Alprostadil 15 µg/ml
injectable Vancomycin hydrochloride 5 mg/ml
3201
Compatible
injectable Alprostadil 15 µg/ml
injectable Vecuronium bromide 1 mg/ml
3201

  Mentions Légales