Viimeisin päivitys :
27/11/2025
Vasodilataattorit   Alprostadil  
Injektioneste
Stabilius liuoksessa Stabilius seoksissa Tekijät, jotka vaikuttavat stabiliuteen Yhteensopivuus Antotapa Viitteet pdf
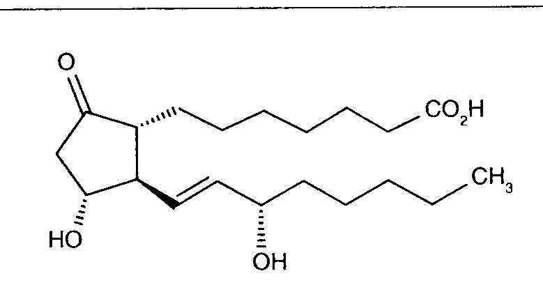
   Kemiallinen rakenne  

Kauppanimi   Kauppanimi     

Trade names are indicative and excipients composition can be different depending on the country and manufacturers

Alfaprostin Egypti
Alistint Marokko, Meksiko
Alprostadil Argentiina, Australia, Chile, Ecuador, Espanja, Kanada, Malesia, Marokko, Romania, Saksa, Saudi-Arabia, Turkki, Yhdysvallat
Alprostapint Argentiina, Ecuador, Itävalta, Kolumbia, Marokko, Unkari
Alprostar Italia
Aplicav
Cardiobonisol Puola
Caverject Belgia, Brasilia, Chile, Espanja, Iso-Britannia, Italia, Itävalta, Kanada, Kolumbia, Norja, Portugali, Puola, Ranska, Ruotsi, Slovenia, Sveitsi, Tanska, Turkki, Yhdistyneet arabiemiirikunnat, Yhdysvallat
Edex Kreikka, Ranska, Tunisia, Yhdysvallat
Liple Japani
Minprog Itävalta, Saksa
Ostapint Marokko, Meksiko
Palux Japani
Pridax Espanja, Itävalta, Romania, Saksa
Prolisina VR Argentiina
Prostandin Japani
Prostavasin Egypti, Iran, Italia, Itävalta, Luxemburg, Puola, Saksa, Unkari
Prostin VR Belgia, Hollanti, Iran, Iso-Britannia, Italia, Kanada, Kolumbia, Kreikka, Kroatia, Luxemburg, Malesia, Norja, Portugali, Puola, Saudi-Arabia, Suomi, Sveitsi, Tanska, Unkari, Venezuela, Yhdysvallat
Prostine VR Ranska
Vasaprostan Romania
Yhteensopivuus   Injektioneste   Yhteensopivuus : Alprostadil              
Tämä näyttö osoittaa yhteensopivuuden tai yhteensopimattomuuden yhteensopimattomuuden tyypin kanssa (saostuminen, värinmuutos, emulsiomuutos jne.). Tässä esitetty yhteensopivuus on useimmissa tapauksissa vain fysikaalinen, ja kunkin molekyylin kemiallista stabiilisuutta arvioidaan harvoin. Näiden seosten arviointia tutkittiin mahdollisuuden antaa Y-kohta potilaalle. Näitä tietoja ei voida käyttää seosten valmistamiseen etukäteen pusseissa tai ruiskuissa. Tämäntyyppiset tiedot ovat saatavilla "Stabiilisuus seoksessa" -näytössä.
Yhdiste Liuotin Viitteet
Yhteensopiva
Injektioneste Alprostadil 20 µg/ml
Injektioneste Caffeine citrate 20 mg/ml
Natriumkloridi 0,9% 4837
Yhteensopiva
Injektioneste Alprostadil
Glukoosi 5% 4954
Yhteensopiva
Injektioneste Alprostadil 20 µg/ml
Injektioneste Amiodarone hydrochloride 6 mg/ml
Glukoosi 5% 4651
Yhteensopiva
Injektioneste Alprostadil 20 µg/ml
Injektioneste Amiodarone hydrochloride 6 mg/ml
Glukoosi 5% 4491
Yhteensopiva
Injektioneste Alprostadil 15 µg/ml
Injektioneste Ampicillin sodium 100 mg/ml
3201
Yhteensopiva
Injektioneste Alprostadil 20 µg/ml
Injektioneste Caffeine 10 mg/ml
Natriumkloridi 0,9% 4837
Yhteensopiva
Injektioneste Alprostadil 20 µg/ml
Injektioneste Calcium gluconate 10 mg/ml
Glukoosi 5% 4651
Yhteensopiva
Injektioneste Alprostadil 20 µg/ml
Injektioneste Calcium gluconate 0,04 mg/ml
Glukoosi 10% 4491
Yhteensopiva
Injektioneste Alprostadil 15 µg/ml
Injektioneste Cefazolin sodium 100 mg/ml
3201
Yhteensopiva
Injektioneste Alprostadil 15 µg/ml
Injektioneste Cefotaxime sodium 100 mg/ml
3201
Yhteensopiva
Injektioneste Alprostadil 15 µg/ml
Injektioneste Chlorothiazide sodium 25 mg/ml
3201
Välittömät sateet yhteensopimaton
Injektioneste Alprostadil 20 µg/ml
Injektioneste Cisatracurium besylate 1,2 mg/ml
Glukoosi 5% 4651
Yhteensopiva
Injektioneste Alprostadil 20 µg/ml
Parenteraalinen (lipidien) 4507
Välittömät sateet yhteensopimaton
Injektioneste Alprostadil 20 µg/ml
Injektioneste Cisatracurium besylate 1,2 mg/ml
Glukoosi 5% 4491
Välitön sameus yhteensopimaton
Injektioneste Alprostadil 20 µg/ml
Injektioneste Dexmedetomidine 4 µg/ml
Glukoosi 5% 4651
Yhteensopiva
Injektioneste Alprostadil 20 µg/ml
Injektioneste Dexmedetomidine 4 µg/ml
Glukoosi 5% 4491
Yhteensopiva
Injektioneste Alprostadil 500 µg/ml
Injektioneste Dexmedetomidine 100 µg/ml
4389
Yhteensopiva
Injektioneste Alprostadil 20 µg/ml
Injektioneste Dobutamine hydrochloride 10 mg/ml
Glukoosi 5% 4651
Yhteensopiva
Injektioneste Alprostadil 15 µg/ml
Injektioneste Dobutamine hydrochloride 3 mg/ml
3201
Yhteensopiva
Injektioneste Alprostadil 20 µg/ml
Injektioneste Dobutamine hydrochloride 10 mg/ml
Glukoosi 5% 4491
Yhteensopiva
Injektioneste Alprostadil 20 µg/ml
Injektioneste Dopamine hydrochloride 10 mg/ml
Glukoosi 5% 4651
Yhteensopiva
Injektioneste Alprostadil 15 µg/ml
Injektioneste Dopamine hydrochloride 3 mg/ml
3201
Yhteensopiva
Injektioneste Alprostadil 20 µg/ml
Injektioneste Dopamine hydrochloride 10 mg/ml
Glukoosi 5% 4491
Yhteensopiva
Injektioneste Alprostadil 20 µg/ml
Injektioneste Epinephrine hydrochloride 0,2 µg/ml
Glukoosi 5% 4491
Yhteensopiva
Injektioneste Alprostadil 20 µg/ml
Injektioneste Epinephrine hydrochloride 200 µg/ml
Glukoosi 5% 4651
Yhteensopiva
Injektioneste Alprostadil 20 µg/ml
Injektioneste Fentanyl citrate 40 µg/ml
Glukoosi 5% 4651
Yhteensopiva
Injektioneste Alprostadil 15 µg/ml
Injektioneste Fentanyl citrate 10 µg/ml
3201
Yhteensopiva
Injektioneste Alprostadil 20 µg/ml
Injektioneste Fentanyl citrate 40 µg/ml
Natriumkloridi 0,9% 4491
Yhteensopiva
Injektioneste Alprostadil 20 µg/ml
Injektioneste Flecainide acetate 2 mg/ml
Glukoosi 5% 4491
Yhteensopiva
Injektioneste Alprostadil 20 µg/ml
Injektioneste Flecainide acetate 2 mg/ml
Glukoosi 5% 4651
Yhteensopiva
Injektioneste Alprostadil 15 µg/ml
Injektioneste Furosemide 5 mg/ml
3201
Yhteensopiva
Injektioneste Alprostadil 20 µg/ml
Injektioneste Furosemide 5 mg/ml
Glukoosi 5% 4651
Yhteensopiva
Injektioneste Alprostadil 20 µg/ml
Injektioneste Furosemide 5 mg/ml
Natriumkloridi 0,9% 4491
Yhteensopiva
Injektioneste Alprostadil 1 µg/ml
Injektioneste Furosemide 10 mg/ml
Natriumkloridi 0,9% 4570
Yhteensopiva
Injektioneste Alprostadil 15 µg/ml
Injektioneste Gentamicin sulfate 1 mg/ml
3201
Yhteensopiva
Injektioneste Alprostadil 20 µg/ml
Injektioneste Heparin sodium 1 UI/ml
Natriumkloridi 0,9% 4491
Yhteensopiva
Injektioneste Alprostadil 20 µg/ml
Injektioneste Heparin sodium 1 UI/ml
Glukoosi 5% 4651
Välitön sameus yhteensopimaton
Injektioneste Alprostadil 20 µg/ml
Injektioneste Insulin 1 UI/ml
Glukoosi 5% 4491
Välittömät sateet yhteensopimaton
Injektioneste Alprostadil 20 µg/ml
Injektioneste Insulin 1 UI/ml
Natriumkloridi 0,9% 4651
Yhteensopiva
Injektioneste Alprostadil 500 µg/ml
Injektioneste Ketamine hydrochloride 50 mg/ml
4389
Yhteensopiva
Injektioneste Alprostadil 20 µg/ml
Injektioneste Ketamine hydrochloride 5 mg/ml
Glukoosi 5% 4651
Yhteensopiva
Injektioneste Alprostadil 20 µg/ml
Injektioneste Ketamine hydrochloride 5 mg/ml
Glukoosi 5% 4491
Välittömät sateet yhteensopimaton
Injektioneste Alprostadil 500 µg/ml
Injektioneste Levofloxacine 5 mg/ml
Glukoosi 5% 1072
Yhteensopiva
Injektioneste Alprostadil 15 µg/ml
Injektioneste Methylprednisolone sodium succinate 40 mg/ml
3201
Yhteensopiva
Injektioneste Alprostadil 20 µg/ml
Injektioneste Midazolam hydrochloride 2,5 mg/ml
Glukoosi 5% 4491
Yhteensopiva
Injektioneste Alprostadil 20 µg/ml
Injektioneste Midazolam hydrochloride 2,5 mg/ml
Glukoosi 5% 4651
Yhteensopiva
Injektioneste Alprostadil 20 µg/ml
Injektioneste Milrinone lactate 0,5 mg/ml
Glukoosi 5% 4491
Yhteensopiva
Injektioneste Alprostadil 500 µg/ml
Injektioneste Milrinone lactate 1 mg/ml
4389
Yhteensopiva
Injektioneste Alprostadil 20 µg/ml
Injektioneste Milrinone lactate 0,5 mg/ml
Glukoosi 5% 4651
Yhteensopiva
Injektioneste Alprostadil 20 µg/ml
Injektioneste Morphine hydrochloride 2 mg/ml
Glukoosi 5% 4651
Sade 4 tunnin kuluttua yhteensopimaton
Injektioneste Alprostadil 20 µg/ml
Injektioneste Norepinephrine bitartrate 0,5 mg/ml
Glukoosi 5% 4491
Sade 4 tunnin kuluttua yhteensopimaton
Injektioneste Alprostadil 20 µg/ml
Injektioneste Norepinephrine bitartrate 0,5 mg/ml
Glukoosi 5% 4651
Yhteensopiva
Injektioneste Alprostadil
Injektioneste Pantoprazole sodium
2090
yhteensopimaton
Injektioneste Alprostadil
Injektioneste Papaverine hydrochloride
2150
Yhteensopiva
Injektioneste Alprostadil
Natriumkloridi 0,9% 4954
Yhteensopiva
Injektioneste Alprostadil 6 µg/ml
Injektioneste Pentoxifyllin 5 mg/ml
Natriumkloridi 0,9% 4543
yhteensopimaton
Injektioneste Alprostadil
Injektioneste Phentolamine mesylate
2150
Yhteensopiva
Injektioneste Alprostadil 20 µg/ml
Injektioneste Sildenafil citrate 0,6 mg/ml
Glukoosi 5% 4845
Yhteensopiva
Injektioneste Alprostadil 15 µg/ml
Injektioneste Tobramycin sulfate 1 mg/ml
3201
Yhteensopiva
Injektioneste Alprostadil 15 µg/ml
Injektioneste Vancomycin hydrochloride 5 mg/ml
3201
Yhteensopiva
Injektioneste Alprostadil 15 µg/ml
Injektioneste Vecuronium bromide 1 mg/ml
3201

  Mentions Légales