Poslední aktualizace :
03/02/2026
Kraujagysles plečiantis vaistas   Alprostadil  
Įpurškimas
Tirpalų stabilumas Mišinių stabilumas Stabilumą lemiantys veiksniai Suderinamumas Leidimo būdai Bibliografija pdf
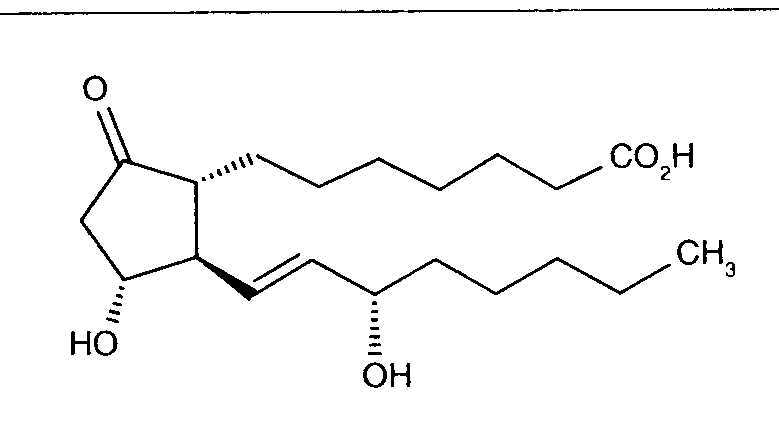
   Cheminė sandara  

Prekinis pavadinimas   Prekinis pavadinimas     

Trade names are indicative and excipients composition can be different depending on the country and manufacturers

Alfaprostin Egiptas
Alistint Meksikas, Peru
Alprostadil Argentina, Australija, Čilė, Ekvadoras, Ispanija, Jungtinės Amerikos Valstijos, Kanada, Malaizija, Peru, Rumunija, Saudo Arabija, Turkija, Vokietija
Alprostapint Argentina, Austrija, Ekvadoras, Kolumbija, Peru, Vengrija
Alprostar Italija
Aplicav
Cardiobonisol Lenkija
Caverject Austrija, Belgija, Brazilija, Čilė, Danija, Didžioji Britanija, Ispanija, Italija, Jungtinės Amerikos Valstijos, Jungtiniai Arabų Emyratai, Kanada, Kolumbija, Lenkija, Norvegija, Portugalija, Prancūzija, Slovėnija, Švedija, Šveicarija, Turkija
Edex Graikija, Jungtinės Amerikos Valstijos, Prancūzija, Tunisas
Liple Japonija
Minprog Austrija, Vokietija
Ostapint Meksikas, Peru
Palux Japonija
Pridax Austrija, Ispanija, Rumunija, Vokietija
Prolisina VR Argentina
Prostandin Japonija
Prostavasin Austrija, Egiptas, Iranas, Italija, Lenkija, Liuksemburgas, Vengrija, Vokietija
Prostin VR Belgija, Danija, Didžioji Britanija, Graikija, Iranas, Italija, Jungtinės Amerikos Valstijos, Kanada, Kolumbija, Kroatija, Lenkija, Liuksemburgas, Malaizija, Norvegija, Olandija, Portugalija, Saudo Arabija, Suomija, Šveicarija, Venesuela, Vengrija
Prostine VR Prancūzija
Vasaprostan Rumunija
Tirpalų stabilumas   Įpurškimas   Tirpalų stabilumas : Alprostadil     
Pakuotė Tirpiklis Koncentracija Temperatūra Laikymas Stabilumo trukmė Nuorodos
Stiklas Natrio chloridas 0,9% 25 µg/ml 4°C Nenurodyta
82 Diena
2003
Bandymo lygis B

Polivinilchloridas Natrio chloridas 0,9% 11 µg/ml 2-8°C Apsaugotas nuo šviesos
10 Diena
3961
Bandymo lygis D

Polipropilenas Gliukozė 10% 1.5 µg/ml 28-32°C Šviesa
48 Valanda
4069
Bandymo lygis C+

Polipropilenas Gliukozė 10% 15 µg/ml 28-32°C Šviesa
48 Valanda
4069
Bandymo lygis C+

Švirkštas polipropileno Gliukozė 10% 1,5 µg/ml 28-32°C Šviesa
48 Valanda
3761
Bandymo lygis D

Švirkštas polipropileno Gliukozė 10% 15 µg/ml 28-32°C Šviesa
48 Valanda
3761
Bandymo lygis D

Nenurodyta Natrio chloridas 0,9% 10 µg/ml 2-8°C Apsaugotas nuo šviesos
15 Diena
2151
Bandymo lygis B


  Mentions Légales