Dernière mise à jour :
18/03/2026
Vasodilatateur   Alprostadil  
injectable
Stabilité des solutions Stabilité en mélange Facteur influençant la stabilité Compatibilités Voie d’administration Bibliographie pdf
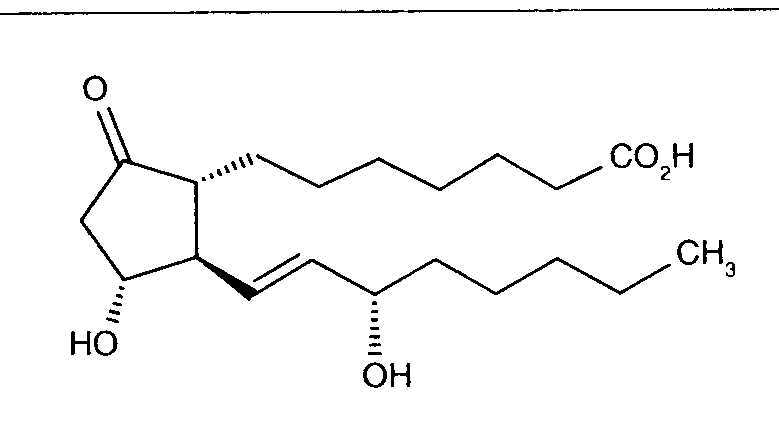
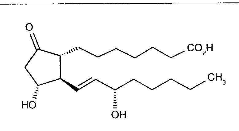
   Structure chimique  

Noms commerciaux   Noms commerciaux     

Les noms commerciaux sont donnés à titre indicatif et la composition en excipients peut être différente selon les pays et selon les laboratoires

Alfaprostin Egypte
Alistint Mexique, Pérou
Alprostadil Allemagne, Arabie Saoudite, Argentine, Australie, Canada, Chili, Equateur, Espagne, Etats Unis d’Amérique, Malaisie, Pérou, Roumanie, Turquie
Alprostapint Argentine, Autriche, Colombie, Equateur, Hongrie, Pérou
Alprostar Italie
Aplicav
Cardiobonisol Pologne
Caverject Autriche, Belgique, Brésil, Canada, Chili, Colombie, Danemark, Emirats Arabes Unis , Espagne, Etats Unis d’Amérique, France, Grande Bretagne, Italie, Norvège, Pologne, Portugal, Slovénie, Suède, Suisse, Turquie
Edex Etats Unis d’Amérique, France, Grèce, Tunisie
Liple Japon
Minprog Allemagne, Autriche
Ostapint Mexique, Pérou
Palux Japon
Pridax Allemagne, Autriche, Espagne, Roumanie
Prolisina VR Argentine
Prostandin Japon
Prostavasin Allemagne, Autriche, Egypte, Hongrie, Iran, Italie, Luxembourg, Pologne
Prostin VR Arabie Saoudite, Belgique, Canada, Colombie, Croatie, Danemark, Etats Unis d’Amérique, Finlande, Grande Bretagne, Grèce, Hongrie, Iran, Italie, Luxembourg, Malaisie, Norvège, Pays bas, Pologne, Portugal, Suisse, Vénézuela
Prostine VR France
Vasaprostan Roumanie

Facteur influençant la stabilité   injectable   Facteur influençant la stabilité : Alprostadil        
Aucune donnée

  Mentions Légales