最新更新 :
27/11/2025
扩张血管药   Alprostadil  
注射液
溶液稳定性 混合物稳定性 影响稳定性的因素 兼容性 用药途径 引用文献 PDF
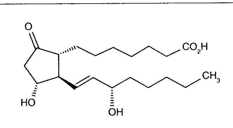
   化学式  

商品名   商品名     

商品名仅供参考, 药品所用的辅料可能依国家或厂商不同有所不同。

Alfaprostin 埃及
Alistint 墨西哥, 秘鲁
Alprostadil 加拿大, 厄瓜多尔, 土耳其, 德国, 智利, 沙特阿拉伯, 澳大利亚, 秘鲁, 罗马尼亚, 美国, 西班牙, 阿根廷, 马来西亚
Alprostapint 匈牙利, 厄瓜多尔, 哥伦比亚, 奥地利, 秘鲁, 阿根廷
Alprostar 意大利
Aplicav
Cardiobonisol 波兰
Caverject 丹麦, 加拿大, 哥伦比亚, 土耳其, 奥地利, 巴西, 意大利, 挪威, 斯洛文尼亚, 智利, 比利时, 法国, 波兰, 瑞典, 瑞士, 美国, 英国, 葡萄牙, 西班牙, 阿联酋
Edex 希腊, 法国, 突尼斯, 美国
Liple 日本
Minprog 奥地利, 德国
Ostapint 墨西哥, 秘鲁
Palux 日本
Pridax 奥地利, 德国, 罗马尼亚, 西班牙
Prolisina VR 阿根廷
Prostandin 日本
Prostavasin 伊朗, 匈牙利, 卢森堡, 埃及, 奥地利, 德国, 意大利, 波兰
Prostin VR 丹麦, 伊朗, 克罗地亚, 加拿大, 匈牙利, 卢森堡, 哥伦比亚, 委内瑞拉, 希腊, 意大利, 挪威, 比利时, 沙特阿拉伯, 波兰, 瑞士, 美国, 芬兰, 英国, 荷兰, 葡萄牙, 马来西亚
Prostine VR 法国
Vasaprostan 罗马尼亚
兼容性   注射液   兼容性 : Alprostadil              
This screen indicates the compatibilities or incompatibilities with, in this case, the type of incompatibility (precipitation, color change, modification of an emulsion, etc.). The compatibilities shown here are mostly physical only, with the chemical stability of each molecule rarely being assessed. The evaluation of these mixtures was studied to consider the possibility of Y-site administration to the patient. These data cannot be used for making mixtures in advance in bags or syringes. This type of information is available in the screen "Stability in mixture ».
分子 溶剂 引用文献
兼容
注射液 Alprostadil 20 µg/ml
注射液 Caffeine citrate 20 mg/ml
NaCl 0,9% 4837
兼容
注射液 Alprostadil
葡萄糖5% 4954
兼容
注射液 Alprostadil 20 µg/ml
注射液 Amiodarone hydrochloride 6 mg/ml
葡萄糖5% 4651
兼容
注射液 Alprostadil 20 µg/ml
注射液 Amiodarone hydrochloride 6 mg/ml
葡萄糖5% 4491
兼容
注射液 Alprostadil 15 µg/ml
注射液 Ampicillin sodium 100 mg/ml
3201
兼容
注射液 Alprostadil 20 µg/ml
注射液 Caffeine 10 mg/ml
NaCl 0,9% 4837
兼容
注射液 Alprostadil 20 µg/ml
注射液 Calcium gluconate 10 mg/ml
葡萄糖5% 4651
兼容
注射液 Alprostadil 20 µg/ml
注射液 Calcium gluconate 0,04 mg/ml
葡萄糖10% 4491
兼容
注射液 Alprostadil 15 µg/ml
注射液 Cefazolin sodium 100 mg/ml
3201
兼容
注射液 Alprostadil 15 µg/ml
注射液 Cefotaxime sodium 100 mg/ml
3201
兼容
注射液 Alprostadil 15 µg/ml
注射液 Chlorothiazide sodium 25 mg/ml
3201
立即沉澱 不相容
注射液 Alprostadil 20 µg/ml
注射液 Cisatracurium besylate 1,2 mg/ml
葡萄糖5% 4651
兼容
注射液 Alprostadil 20 µg/ml
肠外营养(含脂肪) 4507
立即沉澱 不相容
注射液 Alprostadil 20 µg/ml
注射液 Cisatracurium besylate 1,2 mg/ml
葡萄糖5% 4491
立即渾濁 不相容
注射液 Alprostadil 20 µg/ml
注射液 Dexmedetomidine 4 µg/ml
葡萄糖5% 4651
兼容
注射液 Alprostadil 20 µg/ml
注射液 Dexmedetomidine 4 µg/ml
葡萄糖5% 4491
兼容
注射液 Alprostadil 500 µg/ml
注射液 Dexmedetomidine 100 µg/ml
4389
兼容
注射液 Alprostadil 20 µg/ml
注射液 Dobutamine hydrochloride 10 mg/ml
葡萄糖5% 4651
兼容
注射液 Alprostadil 15 µg/ml
注射液 Dobutamine hydrochloride 3 mg/ml
3201
兼容
注射液 Alprostadil 20 µg/ml
注射液 Dobutamine hydrochloride 10 mg/ml
葡萄糖5% 4491
兼容
注射液 Alprostadil 20 µg/ml
注射液 Dopamine hydrochloride 10 mg/ml
葡萄糖5% 4651
兼容
注射液 Alprostadil 15 µg/ml
注射液 Dopamine hydrochloride 3 mg/ml
3201
兼容
注射液 Alprostadil 20 µg/ml
注射液 Dopamine hydrochloride 10 mg/ml
葡萄糖5% 4491
兼容
注射液 Alprostadil 20 µg/ml
注射液 Epinephrine hydrochloride 0,2 µg/ml
葡萄糖5% 4491
兼容
注射液 Alprostadil 20 µg/ml
注射液 Epinephrine hydrochloride 200 µg/ml
葡萄糖5% 4651
兼容
注射液 Alprostadil 20 µg/ml
注射液 Fentanyl citrate 40 µg/ml
葡萄糖5% 4651
兼容
注射液 Alprostadil 15 µg/ml
注射液 Fentanyl citrate 10 µg/ml
3201
兼容
注射液 Alprostadil 20 µg/ml
注射液 Fentanyl citrate 40 µg/ml
NaCl 0,9% 4491
兼容
注射液 Alprostadil 20 µg/ml
注射液 Flecainide acetate 2 mg/ml
葡萄糖5% 4491
兼容
注射液 Alprostadil 20 µg/ml
注射液 Flecainide acetate 2 mg/ml
葡萄糖5% 4651
兼容
注射液 Alprostadil 15 µg/ml
注射液 Furosemide 5 mg/ml
3201
兼容
注射液 Alprostadil 20 µg/ml
注射液 Furosemide 5 mg/ml
葡萄糖5% 4651
兼容
注射液 Alprostadil 20 µg/ml
注射液 Furosemide 5 mg/ml
NaCl 0,9% 4491
兼容
注射液 Alprostadil 1 µg/ml
注射液 Furosemide 10 mg/ml
NaCl 0,9% 4570
兼容
注射液 Alprostadil 15 µg/ml
注射液 Gentamicin sulfate 1 mg/ml
3201
兼容
注射液 Alprostadil 20 µg/ml
注射液 Heparin sodium 1 UI/ml
NaCl 0,9% 4491
兼容
注射液 Alprostadil 20 µg/ml
注射液 Heparin sodium 1 UI/ml
葡萄糖5% 4651
立即渾濁 不相容
注射液 Alprostadil 20 µg/ml
注射液 Insulin 1 UI/ml
葡萄糖5% 4491
立即沉澱 不相容
注射液 Alprostadil 20 µg/ml
注射液 Insulin 1 UI/ml
NaCl 0,9% 4651
兼容
注射液 Alprostadil 500 µg/ml
注射液 Ketamine hydrochloride 50 mg/ml
4389
兼容
注射液 Alprostadil 20 µg/ml
注射液 Ketamine hydrochloride 5 mg/ml
葡萄糖5% 4651
兼容
注射液 Alprostadil 20 µg/ml
注射液 Ketamine hydrochloride 5 mg/ml
葡萄糖5% 4491
立即沉澱 不相容
注射液 Alprostadil 500 µg/ml
注射液 Levofloxacine 5 mg/ml
葡萄糖5% 1072
兼容
注射液 Alprostadil 15 µg/ml
注射液 Methylprednisolone sodium succinate 40 mg/ml
3201
兼容
注射液 Alprostadil 20 µg/ml
注射液 Midazolam hydrochloride 2,5 mg/ml
葡萄糖5% 4491
兼容
注射液 Alprostadil 20 µg/ml
注射液 Midazolam hydrochloride 2,5 mg/ml
葡萄糖5% 4651
兼容
注射液 Alprostadil 20 µg/ml
注射液 Milrinone lactate 0,5 mg/ml
葡萄糖5% 4491
兼容
注射液 Alprostadil 500 µg/ml
注射液 Milrinone lactate 1 mg/ml
4389
兼容
注射液 Alprostadil 20 µg/ml
注射液 Milrinone lactate 0,5 mg/ml
葡萄糖5% 4651
兼容
注射液 Alprostadil 20 µg/ml
注射液 Morphine hydrochloride 2 mg/ml
葡萄糖5% 4651
4小時後出現沉澱 不相容
注射液 Alprostadil 20 µg/ml
注射液 Norepinephrine bitartrate 0,5 mg/ml
葡萄糖5% 4491
4小時後出現沉澱 不相容
注射液 Alprostadil 20 µg/ml
注射液 Norepinephrine bitartrate 0,5 mg/ml
葡萄糖5% 4651
兼容
注射液 Alprostadil
注射液 Pantoprazole sodium
2090
不相容
注射液 Alprostadil
注射液 Papaverine hydrochloride
2150
兼容
注射液 Alprostadil
NaCl 0,9% 4954
兼容
注射液 Alprostadil 6 µg/ml
注射液 Pentoxifyllin 5 mg/ml
NaCl 0,9% 4543
不相容
注射液 Alprostadil
注射液 Phentolamine mesylate
2150
兼容
注射液 Alprostadil 20 µg/ml
注射液 Sildenafil citrate 0,6 mg/ml
葡萄糖5% 4845
兼容
注射液 Alprostadil 15 µg/ml
注射液 Tobramycin sulfate 1 mg/ml
3201
兼容
注射液 Alprostadil 15 µg/ml
注射液 Vancomycin hydrochloride 5 mg/ml
3201
兼容
注射液 Alprostadil 15 µg/ml
注射液 Vecuronium bromide 1 mg/ml
3201

  Mentions Légales