Ultimele actualizari :
18/03/2026
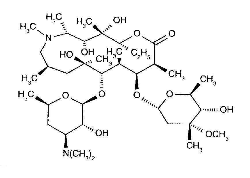
Antibiotic   Azithromycine  
Injectabil
Unguente
Stabilitatea in solutie Stabilitatea in amestec Factorii care influenteaza stabilitatea Compatibilitate Microunde Bibliografie pdf
   Formula chimica  

Denumirea comerciala   Denumirea comerciala     

Trade names are indicative and excipients composition can be different depending on the country and manufacturers

Azithromycin Canada
Azithromycina Ecuador
Azithromycine Dr Erbeth Germania
Azitromax Suedia
Sumamed Polonia, Ungaria
Zaret Columbia
Zedbac Irlanda, Marea Britanie
Zetamac Republica Cehă
Zithromac Japonia
Zithromax Arabia Saudita, Australia, Canada, Chilli, Egipt, Emiratele Arabe Unite, Finlanda, Malaezia, Portugalia, SUA
Compatibilitate   Injectabil   Compatibilitate : Azithromycine              
Acest ecran indică compatibilitățile sau incompatibilitățile cu, în acest caz, tipul de incompatibilitate (precipitații, schimbarea culorii, modificarea unei emulsii etc.). Compatibilitățile prezentate aici sunt în mare parte numai fizice, stabilitatea chimică a fiecărei molecule fiind rareori evaluată. Evaluarea acestor amestecuri a fost studiată pentru a lua în considerare posibilitatea administrării site-ului Y la pacient. Aceste date nu pot fi utilizate pentru prepararea în prealabil a amestecurilor în pungi sau seringi. Acest tip de informații este disponibil în ecranul „Stabilitate în amestec».
Molecula (substanta activa) Solvent Bibiografie
Compatibil
Injectabil Azithromycine 100 mg/ml
Injectabil Amoxicillin sodium / clavulanic acid 100/10 mg/ml
3824
Compatibil
Injectabil Azithromycine 2 mg/ml
Injectabil Bivalirudin 5 mg/ml
Glucoza 5% 1713
Compatibil
Injectabil Azithromycine 500 mg/ml
Solutie Ringer lactat 4603
Precipitații imediate Incompatibil
Injectabil Azithromycine 2 mg/ml
Injectabil Amikacin sulfate 100 mg/ml
clorura de sodiu 0,9% 1800
Precipitații imediate Incompatibil
Injectabil Azithromycine 2 mg/ml
Injectabil Aztreonam 200 mg/ml
clorura de sodiu 0,9% 1800
Compatibil
Injectabil Azithromycine 100 mg/ml
Injectabil Caffeine 10 mg/ml
fara 3964
Compatibil
Injectabil Azithromycine 2 mg/ml
Injectabil Caspofungin acetate 0.5 mg/ml
clorura de sodiu 0,9% 2233
Compatibil
Injectabil Azithromycine 2 mg/ml
Injectabil Cefiderocol sulfate tosylate 20 mg/mL
clorura de sodiu 0,9% 4528
Compatibil
Injectabil Azithromycine 2 mg/ml
Injectabil Cefiderocol sulfate tosylate 20 mg/mL
Glucoza 5% 4528
Precipitații imediate Incompatibil
Injectabil Azithromycine 2 mg/ml
Injectabil Cefotaxime sodium 200 mg/ml
clorura de sodiu 0,9% 1800
Compatibil
Injectabil Azithromycine 2 mg/ml
Injectabil Ceftaroline fosamil 2,22 mg/ml
Glucoza 5% 3249
Compatibil
Injectabil Azithromycine 2 mg/ml
Injectabil Ceftaroline fosamil 2,22 mg/ml
clorura de sodiu 0,9% 3249
Compatibil
Injectabil Azithromycine 2 mg/ml
Injectabil Ceftaroline fosamil 2,22 mg/ml
Solutie Ringer lactat 3249
Precipitații imediate Incompatibil
Injectabil Azithromycine 2 mg/ml
Injectabil Ceftazidime 80 mg/ml
clorura de sodiu 0,9% 1800
Compatibil
Injectabil Azithromycine 2 mg/ml
Injectabil Ceftobiprole medocaril sodium 2 mg/ml
clorura de sodiu 0,9% 2269
Compatibil
Injectabil Azithromycine 2 mg/ml
Injectabil Ceftobiprole medocaril sodium 2 mg/ml
Solutie Ringer lactat 2269
Compatibil
Injectabil Azithromycine 2 mg/ml
Injectabil Ceftobiprole medocaril sodium 2 mg/ml
Glucoza 5% 2269
Compatibil
Injectabil Azithromycine 2 mg/ml
Injectabil Ceftolozane / tazobactam 10/5 mg/ml
clorura de sodiu 0,9% 3828
Compatibil
Injectabil Azithromycine 2 mg/ml
Injectabil Ceftolozane / tazobactam 10/5 mg/ml
Glucoza 5% 3828
Precipitații imediate Incompatibil
Injectabil Azithromycine 2 mg/ml
Injectabil Ceftriaxone disodium 66.7 mg/ml
clorura de sodiu 0,9% 1800
Precipitații imediate Incompatibil
Injectabil Azithromycine 2 mg/ml
Injectabil Cefuroxime sodium 100 mg/ml
clorura de sodiu 0,9% 1800
Precipitații imediate Incompatibil
Injectabil Azithromycine 2 mg/ml
Injectabil Ciprofloxacin lactate 2 mg/ml
clorura de sodiu 0,9% 1800
Precipitații imediate Incompatibil
Injectabil Azithromycine 2 mg/ml
Injectabil Clindamycin phosphate 30 mg/ml
clorura de sodiu 0,9% 1800
Precipitații imediate Incompatibil
Injectabil Azithromycine 100 mg/ml
Injectabil Cloxacillin sodium 100 mg/ml
apa pentru preparate injectabile 3012
Compatibil
Injectabil Azithromycine 2 mg/ml
Injectabil Dexmedetomidine 4 µg/ml
clorura de sodiu 0,9% 1712
Compatibil
Injectabil Azithromycine 2 mg/ml
Injectabil Diphenhydramine hydrochloride 50 mg/ml
clorura de sodiu 0,9% 1800
Compatibil
Injectabil Azithromycine 2 mg/ml
Injectabil Dolasetron mesylate 20 mg/ml
clorura de sodiu 0,9% 1800
Compatibil
Injectabil Azithromycine 2 mg/ml
Injectabil Doripenem 5 mg/ml
Glucoza 5% 2262
Compatibil
Injectabil Azithromycine 2 mg/ml
Injectabil Doripenem 5 mg/ml
clorura de sodiu 0,9% 2262
Compatibil
Injectabil Azithromycine 2 mg/ml
Injectabil Droperidol 2.5 mg/ml
clorura de sodiu 0,9% 1800
Precipitații imediate Incompatibil
Injectabil Azithromycine 2 mg/ml
Injectabil Famotidine 2 mg/ml
clorura de sodiu 0,9% 1800
Compatibil
Injectabil Azithromycine 2 mg/ml
Injectabil Fenoldopam mesylate 80 µg/ml
clorura de sodiu 0,9% 1803
Precipitații imediate Incompatibil
Injectabil Azithromycine 2 mg/ml
Injectabil Fentanyl citrate 50 µg/ml
clorura de sodiu 0,9% 1800
Compatibil
Injectabil Azithromycine 2 mg/ml
Injectabil Fosfomycin 30 mg/ml
clorura de sodiu 0,9% 4055
Compatibil
Injectabil Azithromycine 2 mg/ml
Injectabil Fosfomycin 30 mg/ml
Glucoza 5% 4055
Precipitații imediate Incompatibil
Injectabil Azithromycine 2 mg/ml
Injectabil Furosemide 10 mg/ml
clorura de sodiu 0,9% 1800
Precipitații imediate Incompatibil
Injectabil Azithromycine 2 mg/ml
Injectabil Gentamicin sulfate 21 mg/ml
clorura de sodiu 0,9% 1800
Compatibil
Injectabil Azithromycine 2 mg/ml
Injectabil Hetastarch 60 mg/ml
specific de solvent 1721
Precipitații imediate Incompatibil
Injectabil Azithromycine 2 mg/ml
Injectabil Imipenem - cilastatin sodium 5 mg/ml
clorura de sodiu 0,9% 1800
Turbiditate în 2 ore Incompatibil
Injectabil Azithromycine 2 mg/ml
Injectabil Isavuconazonium sulfate 1.5 mg/ml
Glucoza 5% 3829
Compatibil
Injectabil Azithromycine 2 mg/ml
Injectabil Isavuconazonium sulfate 1.5 mg/ml
clorura de sodiu 0,9% 3829
Precipitații imediate Incompatibil
Injectabil Azithromycine 2 mg/ml
Injectabil Ketorolac tromethamine 15 mg/ml
clorura de sodiu 0,9% 1800
Precipitații imediate Incompatibil
Injectabil Azithromycine 2 mg/ml
Injectabil Levofloxacine 5 mg/ml
clorura de sodiu 0,9% 1800
Compatibil
Injectabil Azithromycine 100 mg/ml
Injectabil Meropenem 50 mg/ml
apa pentru preparate injectabile 4319
Precipitații imediate Incompatibil
Injectabil Azithromycine 2 mg/ml
Injectabil Morphine sulfate 1 mg/ml
clorura de sodiu 0,9% 1800
Compatibil
Injectabil Azithromycine 500 mg/ml
Injectabil N-acetylcysteine 200 mg/ml
fara 3766
Compatibil
Injectabil Azithromycine 500 mg/ml
Injectabil Naloxone hydrochloride 0.4 mg/ml
fara 3408
Compatibil
Injectabil Azithromycine 2 mg/ml
Injectabil Ondansetron hydrochloride 2 mg/ml
clorura de sodiu 0,9% 1800
Compatibil
Injectabil Azithromycine 100 mg/ml
Injectabil Paracetamol 10 mg/ml
4742
Precipitații imediate Incompatibil
Injectabil Azithromycine 2 mg/ml
Injectabil Piperacillin sodium / tazobactam 112.5 mg/ml
clorura de sodiu 0,9% 1800
Compatibil
Injectabil Azithromycine 2 mg/ml
Injectabil Plazomicin sulfate 24 mg/ml
clorura de sodiu 0,9% 4145
Precipitații imediate Incompatibil
Injectabil Azithromycine 50 mg/ml
Injectabil Salbutamol sulfate 1 mg/ml
fara 3216
Compatibil
Injectabil Azithromycine 2 mg/ml
Injectabil Sulbactam/durlobactam 15/15 mg/ml
clorura de sodiu 0,9% 4801
Compatibil
Injectabil Azithromycine 2 mg/ml
Injectabil Tedizolid phosphate 0.8 mg/ml
clorura de sodiu 0,9% 3827
Compatibil
Injectabil Azithromycine 2 mg/ml
Injectabil Telavancin hydrochloride 7.5 mg/ml
Glucoza 5% 3254
Compatibil
Injectabil Azithromycine 2 mg/ml
Injectabil Telavancin hydrochloride 7.5 mg/ml
clorura de sodiu 0,9% 3254
Compatibil
Injectabil Azithromycine 2 mg/ml
Injectabil Telavancin hydrochloride 7.5 mg/ml
Solutie Ringer lactat 3254
Precipitații imediate Incompatibil
Injectabil Azithromycine 100 mg/ml
Injectabil Thiopental sodium 25 mg/ml
clorura de sodiu 0,9% 3767
Precipitații imediate Incompatibil
Injectabil Azithromycine 2 mg/ml
Injectabil Ticarcillin / clavulanic acid 103.3 mg/ml
clorura de sodiu 0,9% 1800
Precipitații imediate Incompatibil
Injectabil Azithromycine 2 mg/ml
Injectabil Tobramycin sulfate 21 mg/ml
clorura de sodiu 0,9% 1800

  Mentions Légales