Pēdējā atjaunošana :
18/03/2026
Antibiotika   Azithromycine  
Injekcija
Ziedes
Šķīduma stabilitāte Maisījuma stabilitāte Stabilitāti ietekmējoši faktori Saderība Levadīšanas veids Literatūras saraksts pdf
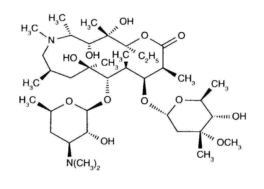
   Ķīmiskā uzbūve   

Oriģinālais nosaukums   Oriģinālais nosaukums     

Tirdzniecības nosaukumi ir apzīmējoši un palīgvielas var atšķirties dažādām valstīm un laboratorijām

Azithromycin Kanāda
Azithromycina Ekvadora
Azithromycine Dr Erbeth Vācija
Azitromax Zviedrija
Sumamed Polija, Ungārija
Zaret Kolumbija
Zedbac Īrija, Lielbritānija
Zetamac Čehija
Zithromac Japāna
Zithromax Amerikas Savienotās Valstis, Apvienotie Arābu Emirāti, Austrālija, Čīle, Ēģipte, Kanāda, Malaizija, Portugāle, Saūda Arābija, Somija
Saderība   Injekcija   Saderība : Azithromycine              
Šī tabula parāda zāļu saderību vai nesaderību, pēc iespējas arī nesaderības tipu (precipitācija, krāsas maiņa, emulsijas sadalīšanās utt). Parādītas šeit saderības ir pārsvarā tikai fizikālās, pēc iespējas tiek parādīta ķīmiskā stabilitāte katrai molekulai. Šo maisījumu analīze tikai veikta, lai izprastu iespējamību ievadīt zāles Y-savienojuma vietā sistēmā pacientam. Šie dati nevar tikt izmantoti, lai pagatavot zāļu maisījumus vēlākai lietošanai maisos vai šļircēs. Šī informācija ir pieejama sadaļā "Maisījuma stabilitāte".
Savienojums Šķīdinātājs Literatūras saraksts
Savietojams
Injekcija Azithromycine 100 mg/ml
Injekcija Amoxicillin sodium / clavulanic acid 100/10 mg/ml
3824
Savietojams
Injekcija Azithromycine 2 mg/ml
Injekcija Bivalirudin 5 mg/ml
5% glikoze 1713
Savietojams
Injekcija Azithromycine 500 mg/ml
Ringera laktāta šķīdums 4603
Tūlītēji nokrišņi Nesavienojams
Injekcija Azithromycine 2 mg/ml
Injekcija Amikacin sulfate 100 mg/ml
Nātrija hlorīds 0.9% 1800
Tūlītēji nokrišņi Nesavienojams
Injekcija Azithromycine 2 mg/ml
Injekcija Aztreonam 200 mg/ml
Nātrija hlorīds 0.9% 1800
Savietojams
Injekcija Azithromycine 100 mg/ml
Injekcija Caffeine 10 mg/ml
Nekāds 3964
Savietojams
Injekcija Azithromycine 2 mg/ml
Injekcija Caspofungin acetate 0.5 mg/ml
Nātrija hlorīds 0.9% 2233
Savietojams
Injekcija Azithromycine 2 mg/ml
Injekcija Cefiderocol sulfate tosylate 20 mg/mL
Nātrija hlorīds 0.9% 4528
Savietojams
Injekcija Azithromycine 2 mg/ml
Injekcija Cefiderocol sulfate tosylate 20 mg/mL
5% glikoze 4528
Tūlītēji nokrišņi Nesavienojams
Injekcija Azithromycine 2 mg/ml
Injekcija Cefotaxime sodium 200 mg/ml
Nātrija hlorīds 0.9% 1800
Savietojams
Injekcija Azithromycine 2 mg/ml
Injekcija Ceftaroline fosamil 2,22 mg/ml
5% glikoze 3249
Savietojams
Injekcija Azithromycine 2 mg/ml
Injekcija Ceftaroline fosamil 2,22 mg/ml
Nātrija hlorīds 0.9% 3249
Savietojams
Injekcija Azithromycine 2 mg/ml
Injekcija Ceftaroline fosamil 2,22 mg/ml
Ringera laktāta šķīdums 3249
Tūlītēji nokrišņi Nesavienojams
Injekcija Azithromycine 2 mg/ml
Injekcija Ceftazidime 80 mg/ml
Nātrija hlorīds 0.9% 1800
Savietojams
Injekcija Azithromycine 2 mg/ml
Injekcija Ceftobiprole medocaril sodium 2 mg/ml
Nātrija hlorīds 0.9% 2269
Savietojams
Injekcija Azithromycine 2 mg/ml
Injekcija Ceftobiprole medocaril sodium 2 mg/ml
Ringera laktāta šķīdums 2269
Savietojams
Injekcija Azithromycine 2 mg/ml
Injekcija Ceftobiprole medocaril sodium 2 mg/ml
5% glikoze 2269
Savietojams
Injekcija Azithromycine 2 mg/ml
Injekcija Ceftolozane / tazobactam 10/5 mg/ml
Nātrija hlorīds 0.9% 3828
Savietojams
Injekcija Azithromycine 2 mg/ml
Injekcija Ceftolozane / tazobactam 10/5 mg/ml
5% glikoze 3828
Tūlītēji nokrišņi Nesavienojams
Injekcija Azithromycine 2 mg/ml
Injekcija Ceftriaxone disodium 66.7 mg/ml
Nātrija hlorīds 0.9% 1800
Tūlītēji nokrišņi Nesavienojams
Injekcija Azithromycine 2 mg/ml
Injekcija Cefuroxime sodium 100 mg/ml
Nātrija hlorīds 0.9% 1800
Tūlītēji nokrišņi Nesavienojams
Injekcija Azithromycine 2 mg/ml
Injekcija Ciprofloxacin lactate 2 mg/ml
Nātrija hlorīds 0.9% 1800
Tūlītēji nokrišņi Nesavienojams
Injekcija Azithromycine 2 mg/ml
Injekcija Clindamycin phosphate 30 mg/ml
Nātrija hlorīds 0.9% 1800
Tūlītēji nokrišņi Nesavienojams
Injekcija Azithromycine 100 mg/ml
Injekcija Cloxacillin sodium 100 mg/ml
Ūdens injekcijām 3012
Savietojams
Injekcija Azithromycine 2 mg/ml
Injekcija Dexmedetomidine 4 µg/ml
Nātrija hlorīds 0.9% 1712
Savietojams
Injekcija Azithromycine 2 mg/ml
Injekcija Diphenhydramine hydrochloride 50 mg/ml
Nātrija hlorīds 0.9% 1800
Savietojams
Injekcija Azithromycine 2 mg/ml
Injekcija Dolasetron mesylate 20 mg/ml
Nātrija hlorīds 0.9% 1800
Savietojams
Injekcija Azithromycine 2 mg/ml
Injekcija Doripenem 5 mg/ml
5% glikoze 2262
Savietojams
Injekcija Azithromycine 2 mg/ml
Injekcija Doripenem 5 mg/ml
Nātrija hlorīds 0.9% 2262
Savietojams
Injekcija Azithromycine 2 mg/ml
Injekcija Droperidol 2.5 mg/ml
Nātrija hlorīds 0.9% 1800
Tūlītēji nokrišņi Nesavienojams
Injekcija Azithromycine 2 mg/ml
Injekcija Famotidine 2 mg/ml
Nātrija hlorīds 0.9% 1800
Savietojams
Injekcija Azithromycine 2 mg/ml
Injekcija Fenoldopam mesylate 80 µg/ml
Nātrija hlorīds 0.9% 1803
Tūlītēji nokrišņi Nesavienojams
Injekcija Azithromycine 2 mg/ml
Injekcija Fentanyl citrate 50 µg/ml
Nātrija hlorīds 0.9% 1800
Savietojams
Injekcija Azithromycine 2 mg/ml
Injekcija Fosfomycin 30 mg/ml
Nātrija hlorīds 0.9% 4055
Savietojams
Injekcija Azithromycine 2 mg/ml
Injekcija Fosfomycin 30 mg/ml
5% glikoze 4055
Tūlītēji nokrišņi Nesavienojams
Injekcija Azithromycine 2 mg/ml
Injekcija Furosemide 10 mg/ml
Nātrija hlorīds 0.9% 1800
Tūlītēji nokrišņi Nesavienojams
Injekcija Azithromycine 2 mg/ml
Injekcija Gentamicin sulfate 21 mg/ml
Nātrija hlorīds 0.9% 1800
Savietojams
Injekcija Azithromycine 2 mg/ml
Injekcija Hetastarch 60 mg/ml
īpašu šķīdinātāju 1721
Tūlītēji nokrišņi Nesavienojams
Injekcija Azithromycine 2 mg/ml
Injekcija Imipenem - cilastatin sodium 5 mg/ml
Nātrija hlorīds 0.9% 1800
Duļķainība 2 stundu laikā Nesavienojams
Injekcija Azithromycine 2 mg/ml
Injekcija Isavuconazonium sulfate 1.5 mg/ml
5% glikoze 3829
Savietojams
Injekcija Azithromycine 2 mg/ml
Injekcija Isavuconazonium sulfate 1.5 mg/ml
Nātrija hlorīds 0.9% 3829
Tūlītēji nokrišņi Nesavienojams
Injekcija Azithromycine 2 mg/ml
Injekcija Ketorolac tromethamine 15 mg/ml
Nātrija hlorīds 0.9% 1800
Tūlītēji nokrišņi Nesavienojams
Injekcija Azithromycine 2 mg/ml
Injekcija Levofloxacine 5 mg/ml
Nātrija hlorīds 0.9% 1800
Savietojams
Injekcija Azithromycine 100 mg/ml
Injekcija Meropenem 50 mg/ml
Ūdens injekcijām 4319
Tūlītēji nokrišņi Nesavienojams
Injekcija Azithromycine 2 mg/ml
Injekcija Morphine sulfate 1 mg/ml
Nātrija hlorīds 0.9% 1800
Savietojams
Injekcija Azithromycine 500 mg/ml
Injekcija N-acetylcysteine 200 mg/ml
Nekāds 3766
Savietojams
Injekcija Azithromycine 500 mg/ml
Injekcija Naloxone hydrochloride 0.4 mg/ml
Nekāds 3408
Savietojams
Injekcija Azithromycine 2 mg/ml
Injekcija Ondansetron hydrochloride 2 mg/ml
Nātrija hlorīds 0.9% 1800
Savietojams
Injekcija Azithromycine 100 mg/ml
Injekcija Paracetamol 10 mg/ml
4742
Tūlītēji nokrišņi Nesavienojams
Injekcija Azithromycine 2 mg/ml
Injekcija Piperacillin sodium / tazobactam 112.5 mg/ml
Nātrija hlorīds 0.9% 1800
Savietojams
Injekcija Azithromycine 2 mg/ml
Injekcija Plazomicin sulfate 24 mg/ml
Nātrija hlorīds 0.9% 4145
Tūlītēji nokrišņi Nesavienojams
Injekcija Azithromycine 50 mg/ml
Injekcija Salbutamol sulfate 1 mg/ml
Nekāds 3216
Savietojams
Injekcija Azithromycine 2 mg/ml
Injekcija Sulbactam/durlobactam 15/15 mg/ml
Nātrija hlorīds 0.9% 4801
Savietojams
Injekcija Azithromycine 2 mg/ml
Injekcija Tedizolid phosphate 0.8 mg/ml
Nātrija hlorīds 0.9% 3827
Savietojams
Injekcija Azithromycine 2 mg/ml
Injekcija Telavancin hydrochloride 7.5 mg/ml
5% glikoze 3254
Savietojams
Injekcija Azithromycine 2 mg/ml
Injekcija Telavancin hydrochloride 7.5 mg/ml
Nātrija hlorīds 0.9% 3254
Savietojams
Injekcija Azithromycine 2 mg/ml
Injekcija Telavancin hydrochloride 7.5 mg/ml
Ringera laktāta šķīdums 3254
Tūlītēji nokrišņi Nesavienojams
Injekcija Azithromycine 100 mg/ml
Injekcija Thiopental sodium 25 mg/ml
Nātrija hlorīds 0.9% 3767
Tūlītēji nokrišņi Nesavienojams
Injekcija Azithromycine 2 mg/ml
Injekcija Ticarcillin / clavulanic acid 103.3 mg/ml
Nātrija hlorīds 0.9% 1800
Tūlītēji nokrišņi Nesavienojams
Injekcija Azithromycine 2 mg/ml
Injekcija Tobramycin sulfate 21 mg/ml
Nātrija hlorīds 0.9% 1800

  Mentions Légales